Найти в Дзене
Teacher45

Закон сохранения энергии (2 часть - 001)

Условие задачи: Из пружинного пистолета выстрелили вертикально вверх. Перед дулом пистолета находилась преграда. Насколько была сжата пружина перед выстрелом, если работа, затраченная на преодоление преграды, равна 0,25 Дж, а высота, на которую поднялась пуля, равна 5 м? (Жесткость пружины 400 Н/м, масса пули 5 г.) Решение задачи: Пусть пружина в пистолете была сжата на величину х. Тогда она обладала потенциальной энергией: После выстрела, пружина разжалась и свою энергию передала пуле (пуля стала обладать кинетической энергией) Часть этой энергии была потрачена на преодоление преграды: Оставшаяся часть энергии перешла в потенциальную энергию пули: Тогда Итак, сжатие пружины составляло x = 0,05 м = 5 см.

Условие задачи: Из пружинного пистолета выстрелили вертикально вверх. Перед дулом пистолета находилась преграда. Насколько была сжата пружина перед выстрелом, если работа, затраченная на преодоление преграды, равна 0,25 Дж, а высота, на которую поднялась пуля, равна 5 м? (Жесткость пружины 400 Н/м, масса пули 5 г.)

Решение задачи:

Пусть пружина в пистолете была сжата на величину х.

Тогда она обладала потенциальной энергией:

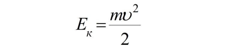
После выстрела, пружина разжалась и свою энергию передала пуле (пуля стала обладать кинетической энергией)

-2

Часть этой энергии была потрачена на преодоление преграды:

-3

Оставшаяся часть энергии перешла в потенциальную энергию пули:

-4

Тогда

-5
-6
-7
-8

Итак, сжатие пружины составляло x = 0,05 м = 5 см.