Добавить в корзинуПозвонить
Найти в Дзене
Teacher45

Законы сохранения энергии (2 часть - 001)

Условие задачи: В вакууме закреплен горизонтальный цилиндр. В цилиндре находится гелий при давлении 100 кПа и температуре 300 К, запертый поршнем. Поршень массой 90 г удерживается упорами и может скользить влево вдоль стенок цилиндра без трения. В поршень попадает пуля массой 10 г, летящая горизонтально со скоростью 300 м/с, и застревает в нем. Температура гелия в момент остановки поршня в крайнем левом положении возрастает на 90 К. Каков первоначальный объем гелия? Считать, что за время движения поршня газ не успевает обмениваться теплотой с цилиндром и поршнем. Решение задачи: Определим скорость поршня сразу после попадания в него пули (применив закон сохранения импульса) Обладая кинетической энергией поршень придет в движение и начнет сжимать газ. В момент остановки он всю свою энергию передаст газу, который увеличивает свою внутреннюю энергию и нагревается: Теперь мы сможем найти какое количество вещества газа было под поршнем: И определить первоначальный объем газа под поршнем (из

Условие задачи: В вакууме закреплен горизонтальный цилиндр. В цилиндре находится гелий при давлении 100 кПа и температуре 300 К, запертый поршнем. Поршень массой 90 г удерживается упорами и может скользить влево вдоль стенок цилиндра без трения. В поршень попадает пуля массой 10 г, летящая горизонтально со скоростью 300 м/с, и застревает в нем. Температура гелия в момент остановки поршня в крайнем левом положении возрастает на 90 К. Каков первоначальный объем гелия? Считать, что за время движения поршня газ не успевает обмениваться теплотой с цилиндром и поршнем.

Решение задачи:

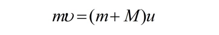
Определим скорость поршня сразу после попадания в него пули (применив закон сохранения импульса)

где v - скорость пули, u - скорость поршня вместе с пулей
где v - скорость пули, u - скорость поршня вместе с пулей
-3

Обладая кинетической энергией поршень придет в движение и начнет сжимать газ.

В момент остановки он всю свою энергию передаст газу, который увеличивает свою внутреннюю энергию и нагревается:

-4
-5

Теперь мы сможем найти какое количество вещества газа было под поршнем:

-6

И определить первоначальный объем газа под поршнем (из уравнения Менделеева - Клапейрона):

-7

Итак объем равен V = 0,001 кубического метра (в системе СИ) или 1 литр.