Найти в Дзене
Teacher45

КПД тепловой машины (1 часть - 002)

Условие задачи: КПД цикла Карно - 35%. Значение КПД необходимо увеличить в 1,8 раза. С точностью до десятых определите, во сколько раз нужно увеличить температуру нагревателя, оставляя неизменной температуру холодильника. Решение: Используя формулу КПД для идеального теплового двигателя определим отношение температур нагревателя и холодильника первоначальной тепловой машины: Во второй машине КПД должно увеличиться в 1,8 раза: Применяя рассуждения аналогичные для первой машины, учитывая, что температура нагревателя должна измениться, получаем: Сравним теперь отношение температур двух двигателей:

Условие задачи: КПД цикла Карно - 35%. Значение КПД необходимо увеличить в 1,8 раза. С точностью до десятых определите, во сколько раз нужно увеличить температуру нагревателя, оставляя неизменной температуру холодильника.

Решение:

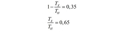
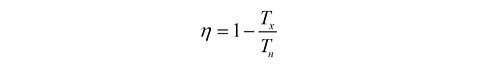
Используя формулу КПД для идеального теплового двигателя

определим отношение температур нагревателя и холодильника первоначальной тепловой машины:

-2

Во второй машине КПД должно увеличиться в 1,8 раза:

-3

Применяя рассуждения аналогичные для первой машины, учитывая, что температура нагревателя должна измениться, получаем:

-4

Сравним теперь отношение температур двух двигателей:

-5
-6