Добавить в корзинуПозвонить
Найти в Дзене
Teacher45

КПД тепловой машины (1 часть - 001)

Условие задачи: Рассмотрим две идеальные тепловые машины. Температуры нагревателя и холодильника первой машины отличаются в 4 раза. Температура холодильника первой тепловой машины равна температуре нагревателя второй тепловой машины. Температура холодильника второй тепловой машины в 5 раз меньше температуры нагревателя первой тепловой машины. Во сколько раз КПД первой машины больше КПД второй машины? Ответ округлите до сотых долей. Решение: КПД тепловых двигателей можно рассчитать по следующей формуле: В нашей задаче описаны два тепловых двигателя. Рассмотрим их характеристики. Пусть температура холодильника первой машины равна Т, тогда температура нагревателя - 4Т (по условию они отличаются в 4 раза). По условию температура холодильника второй тепловой машины в 5 раз меньше температуры нагревателя первой тепловой машины: А температура нагревателя второй тепловой машины равна температуре холодильника первой: Тогда КПД второй тепловой машины И ответ на вопрос задачи:

Условие задачи: Рассмотрим две идеальные тепловые машины. Температуры нагревателя и холодильника первой машины отличаются в 4 раза. Температура холодильника первой тепловой машины равна температуре нагревателя второй тепловой машины. Температура холодильника второй тепловой машины в 5 раз меньше температуры нагревателя первой тепловой машины. Во сколько раз КПД первой машины больше КПД второй машины? Ответ округлите до сотых долей.

Решение:

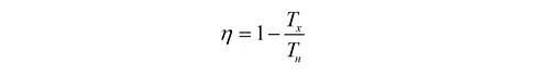
КПД тепловых двигателей можно рассчитать по следующей формуле:

Тх - температура холодильника, Тн - температура нагревателя
Тх - температура холодильника, Тн - температура нагревателя

В нашей задаче описаны два тепловых двигателя. Рассмотрим их характеристики.

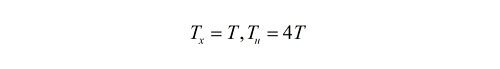
Пусть температура холодильника первой машины равна Т, тогда температура нагревателя - 4Т (по условию они отличаются в 4 раза).

-2
-3

По условию температура холодильника второй тепловой машины в 5 раз меньше температуры нагревателя первой тепловой машины:

-4

А температура нагревателя второй тепловой машины равна температуре холодильника первой:

-5

Тогда КПД второй тепловой машины

-6

И ответ на вопрос задачи:

-7