Добавить в корзинуПозвонить
Найти в Дзене
CAEshnik

Основы тестирования сетей TCP/IP для служб эксплуатации №2.1

2.1 Первая попытка установки агентов Прежде чем решить, как правильно тестировать сети TCP/IP в целях получения метрик, введём парочку определений для применения в дальнейших схемах. Определение 74 Q1 - точка создания теста (оборудование или программный процесс). Агент-инициатор Определение 75 Q2 - точка назначения теста (оборудование или программный процесс). Сопряжённый агент Сразу заметим, что последние определения намеренно введены без конкретизации аппаратной или программной платформой создаётся тест. Так как стандарты в этом вопросе до сих пор, несмотря на многие прошедшие лета от рождества Сети, скажем мягко «плавают», говоря о «необходимости дальнейших исследований». Вот, например, что пишет международный отраслевой стандарт Y.1540: The exact location of the IP service MP within the IP protocol stack is for further study. Оставим без перевода эту прекрасную фразу, которая у служб эксплуатации может вызвать разве что гомерический хохот. Поневоле вспомнишь известный анекд
Оглавление

2.1 Первая попытка установки агентов

Прежде чем решить, как правильно тестировать сети TCP/IP в целях получения метрик, введём парочку определений для применения в дальнейших схемах.

Определение 74

Q1 - точка создания теста (оборудование или программный процесс). Агент-инициатор

Определение 75

Q2 - точка назначения теста (оборудование или программный процесс). Сопряжённый агент

Сразу заметим, что последние определения намеренно введены без конкретизации аппаратной или программной платформой создаётся тест. Так как стандарты в этом вопросе до сих пор, несмотря на многие прошедшие лета от рождества Сети, скажем мягко «плавают», говоря о «необходимости дальнейших исследований». Вот, например, что пишет международный отраслевой стандарт Y.1540: The exact location of the IP service MP within the IP protocol stack is for further study. Оставим без перевода эту прекрасную фразу, которая у служб эксплуатации может вызвать разве что гомерический хохот. Поневоле вспомнишь известный анекдот про результаты вопроса в сети FIDOnet: ответ получен абсолютно верный, абсолютно бесполезный, и не содержащий ничего, чего вопрошающий не знал бы и сам.

Мы же, исходя из насущной необходимости работать здесь и сейчас, не будем теоретизировать, а попробуем решить за международное телеком-сообщество, где именно и как следует ставить собирающие статистику устройства.

И начнём с того, что просится первым на ум.

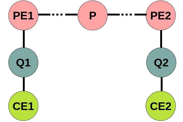
Рисунок 9

Включение агентов в разрыв каналов связи
Включение агентов в разрыв каналов связи

где

Оборудование, создающее или получающее тест
Оборудование, создающее или получающее тест

Всё вроде бы на своём месте. Логично же, да? Устанавливаем нужные дополнительные устройства прямо в разрыв канала. Видим весь трафик. Можем делать с ним всё, что захотим. Можем даже посчитать для всех пакетов все статистические величины и по ним сделать выводы о качестве услуг на самой сети. Более того, уже не раз всуе упомянутый Y.1540 тоже содержит внутри себя очень-очень похожую схему. Но! Один известный математик и философ говорил «De omnibus dubitandum». И этот девиз на наш скромный взгляд следовало бы каждому связисту взять на вооружение.

Итак, сомнения.

1. Всякое устройство в сети создаёт точку отказа. Лишнее устройство — лишняя точка отказа. Включение чего-то не слишком нужного в разрыв существующего канала связи — это «смертный грех» для любого связиста, даже если он неверующий. Можно, конечно, сделать проключение канала на случай пропадания питания. Такие технологии есть, хотя мы лично смотрим на них скептически. Но если вышел из строя процессор или память Q-агента? Питание есть, а канала нет? Не слишком ли большие жертвы для сети ради измерений?

2. Всякое устройство имеет пределы производительности. Поэтому при росте трафика и планируемой замене придётся менять и измерительные агенты на нужные по производительности. А если мы их используем не на полную мощность в реальности? Ведь тестовый трафик не обязан быть объёмным для получения метрик! Но необходимость сохранения транзитного трафика на нужной скорости продиктует нам необходимость замены.

3. Производитель всякого устройства для сети связи стремится сесть оператору на шею. Умными английскими словами это называется vendor lock. «Ничего личного, это просто бизнес», слышали эту фразу? А производители дополнительных устройств, дающих сети вкусности и пряности, разумеется, совсем не горят желанием свой труд стандартизировать между собой. Даже наоборот, стремятся патентовать, скажем, забегая вперёд. А теперь ответьте себе на простой вопрос: «Хочу ли я получить в качестве хотя и важной, но всё-таки не главной особенности на сети постоянного кандидата на роль Лисы из сказки «Битый небитого везёт?»

4. Ну и наконец. Сеть занимается в первую очередь пропуском пользовательского трафика и получением прибыли от этого. Всякое дополнительное устройство — суть расходный бюджет. Его следует минимизировать, а в этой схеме будет только рост. Ведь не на каждый порт нужно ставить такие устройства! Схема подключения должна быть разумной, позволяющей выбрать нужный компромисс. В приведённой же на рисунке 9 такого компромисса нет, схема как бы подталкивает нас поставить агенты везде, здесь мы видим пример принципа «Всё или ничего», что для практикующего Связиста — второй «смертный грех».

Так что, как бы не хотелось нам простых решений, придётся искать не простые, а правильные. Тем же производителям, которые остановились на простых схемах мы скажем на манер древнего грека: «Движение — это жизнь, а жизнь — это движение, не останавливайтесь на достигнутом».

сс: net-probe, lj, telegraph, vk, telegram: 1,2

Далее...