Добавить в корзинуПозвонить
Найти в Дзене
Математика не для всех

Круче, чем теорема Ферма: самая простая математическая гипотеза современности - "а+b=c"

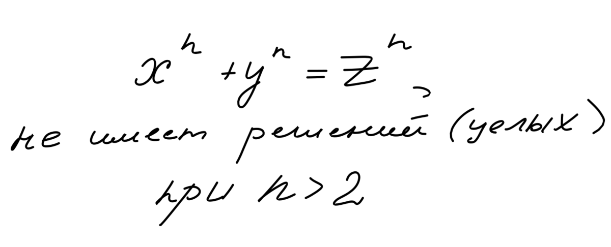
Приветствую Вас, уважаемые Читатели! Сегодня я хочу рассказать Вам про удивительную математическую гипотезу, которая является порождением 20-го века и пришла на смену великой теореме Ферма, с которой блестяще справился Эндрю Уайлс в 1994 году, доказав, что данное уравнение не имеет решений в целых числах при степенях, больших 2: Казалось бы, что тут проще (чисто из формулировки)! Однако, математики Джозеф Эстерле и Дэвид Массер пошли еще дальше: они решили сформулировать более сильную гипотезу вообще отказавшись от степеней. Таким образом, основное выражение стало выглядеть как что-то из начальной школы: Что тут доказывать, спросит Читатель?!?! И будет прав, ведь существует бесконечное множество двух чисел, которые при сложении дают третье. Естественно, математики ввели некоторые ограничения на задачу. Во-первых, указанные три числа должны быть взаимно простыми, т.е. не иметь общих делителей: Во-вторых, непосредственно abc-гипотеза формулируется через такое понятие, как радикал целого

Приветствую Вас, уважаемые Читатели! Сегодня я хочу рассказать Вам про удивительную математическую гипотезу, которая является порождением 20-го века и пришла на смену великой теореме Ферма, с которой блестяще справился Эндрю Уайлс в 1994 году, доказав, что данное уравнение не имеет решений в целых числах при степенях, больших 2:

Казалось бы, что тут проще (чисто из формулировки)! Однако, математики Джозеф Эстерле и Дэвид Массер пошли еще дальше: они решили сформулировать более сильную гипотезу вообще отказавшись от степеней. Таким образом, основное выражение стало выглядеть как что-то из начальной школы:

Что тут доказывать, спросит Читатель?!?! И будет прав, ведь существует бесконечное множество двух чисел, которые при сложении дают третье.

Естественно, математики ввели некоторые ограничения на задачу. Во-первых, указанные три числа должны быть взаимно простыми, т.е. не иметь общих делителей:

-3

Во-вторых, непосредственно abc-гипотеза формулируется через такое понятие, как радикал целого числа (не путать с квадратным корнем).

Известно, что по основной теореме арифметики каждое натуральное число имеет единственное разложение на простые множители разной кратности:

-4

Т.е. радикал - это произведение всех, входящих в разложение простых чисел. Например:

Радикал простого числа равен ему самому, т.е. rad(19)=19
Радикал простого числа равен ему самому, т.е. rad(19)=19

Теперь, обладая этим набором знаний мы можем сформулировать abc-гипотезу:

-6

Теперь не словах: тройки взаимно простых чисел делятся на два класса. Первые - это те, которые не удовлетворяют формулировке гипотезы. Самый простой пример можно придумать за секунду:

-7

Такие наборы нам не интересны: для них выполнение неравенства предполагает для радикала степень, меньшую 1, а количество их бесконечно.

Ко второму классу относятся наборы чисел, которые уже принято называть настоящими "abc-тройками". Для них неравенство выполняется при ε больше нуля и их, согласно гипотезе, для каждого такого ε лишь конечное количество.

Немного более удобную формулировку гипотезы можно получить, если ввести понятие "качества abc-тройки":

-8

Теперь нам нужно искать наиболее качественные тройки (c большим q) и надеяться, что для каждого такого q их найдется конечное количество.

Давайте приведем пример качественной abc-тройки:

В то время как известно, что существует бесконечно много троек (a, b, c) взаимно простых натуральных чисел с a + b = c, таких, что q(a, b, c) > 1, гипотеза предсказывает, что только конечное число из них имеет q > 1,01 или q > 1,001 или даже q > 1,0001 и т.д. В частности, если гипотеза верна, то должна существовать тройка (a, b, c), которая достигает максимально возможного качества q(a, b, c).
В то время как известно, что существует бесконечно много троек (a, b, c) взаимно простых натуральных чисел с a + b = c, таких, что q(a, b, c) > 1, гипотеза предсказывает, что только конечное число из них имеет q > 1,01 или q > 1,001 или даже q > 1,0001 и т.д. В частности, если гипотеза верна, то должна существовать тройка (a, b, c), которая достигает максимально возможного качества q(a, b, c).
На данный момент это одна из самых лучших abc-троек, найденных математиками.

Наглядное представление о распределении может дать следующая таблица:

-10

Например, для взаимно простых чисел, дающих в сумме меньше 100, только две тройки обладают показателем качества, большим 1.2, и одна из них встречается в самом начале пути:

-11

На сегодняшний момент прогресс остановился на следующем этапе:

-12

Троек более высокого качества еще не найдено! Однако, уже даже это значение позволяет в предположении истинности abc-гипотезы вывести из неё Великую теорему Ферма для n>5:

Используем даже менее качественно значение 1.6
Используем даже менее качественно значение 1.6

Выше мы предположили, что числа из abc-гипотезы можно записать как степени x,y,z, и теперь хотим понять, возможно ли это равенство.

Взаимная простота предполагается, т.к. к ней всегда можно было бы прийти, сократив каждую из троек-степеней на общий делитель
Переход о второй строчке очевиден, ведь x и y точно меньше z
Переход о второй строчке очевиден, ведь x и y точно меньше z

Таким образом, мы показали, что при n>5 мы не могли бы представить числа a,b и c в виде степеней, тем самым доказывая теорему Ферма. Для значений n=3 и n=4 доказательства уже более элементарны и не идут ни в какое сравнение с колоссальным трудом Эндрю Уайлса.

На доказательство теоремы Ферма ушло больше 350 лет, однако есть основания полагать, что и abc-гипотеза окажется крепким орешком. С момента её формулировки в 1988 году имеются лишь частные успехи. Например, до сих пор уже с 2012 года (!!!) не опровергнуто (но и не подтверждено) доказательство японского математика Шиничи Мотидзуки.

Между тем, abc-гипотеза - это уникальный и универсальный ключ к огромному количеству в т.ч. и нерешенных математических задач из теории чисел, самые известные из которых - это гипотезы Била и Каталана. Спасибо за внимание!

Гипотеза Била, за доказательство которой американский миллиардер пообещал 1 млн. $
Математика не для всех29 апреля 2021
  • TELEGRAM и Вконтакте- там я публикую не только интересные статьи, но и математический юмор и многое другое.