Найти в Дзене

S=VT - Текстовая Задача на ОГЭ

Дорогие Друзья, сегодня мы с вами разберем задачу из ОГЭ по математике на тему Движение. Из пункта А в пункт В одновременно выехали два автомобилиста. Первый проехал с постоянной скоростью весь путь. Второй проехал первую половину пути со скоростью, меньшей скорости первого автомобилиста на 9 км/ч, а вторую половину пути проехал со скоростью 60 км/ч, в результате чего прибыл в В одновременно с первым автомобилистом. Найдите скорость первого автомобилиста (больше 40 км/ч) Итак, начнем разбираться небольшими шагами, внимательно вчитываясь в условие задачи. Шаг 1 Из пункта А в пункт В одновременно выехали два автомобилиста. Первый проехал с постоянной скоростью (V = x км/ч) весь путь (S км). Второй проехал первую половину пути (S/2 км) со скоростью, меньшей скорости первого автомобилиста на 9 км/ч ( V_1 = (x-9) км/ч ), а вторую половину пути (S/2 км) проехал со скоростью (V_2 = 60 км/ч), в результате чего прибыл в В одновременно с первым автомобилистом (T_общ). Найдите скорость первого

Дорогие Друзья,

сегодня мы с вами разберем задачу из ОГЭ по математике на тему Движение.

Из пункта А в пункт В одновременно выехали два автомобилиста. Первый проехал с постоянной скоростью весь путь. Второй проехал первую половину пути со скоростью, меньшей скорости первого автомобилиста на 9 км/ч, а вторую половину пути проехал со скоростью 60 км/ч, в результате чего прибыл в В одновременно с первым автомобилистом. Найдите скорость первого автомобилиста (больше 40 км/ч)

Итак, начнем разбираться небольшими шагами, внимательно вчитываясь в условие задачи.

Шаг 1

Из пункта А в пункт В одновременно выехали два автомобилиста. Первый проехал с постоянной скоростью (V = x км/ч) весь путь (S км). Второй проехал первую половину пути (S/2 км) со скоростью, меньшей скорости первого автомобилиста на 9 км/ч ( V_1 = (x-9) км/ч ), а вторую половину пути (S/2 км) проехал со скоростью (V_2 = 60 км/ч), в результате чего прибыл в В одновременно с первым автомобилистом (T_общ). Найдите скорость первого автомобилиста (V - ?) (больше 40 км/ч)

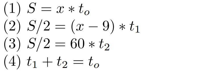
Шаг 2

Теперь исходя из имеющихся данных составим уравнения, воспользовавшись условием и формулой S = VT.

(1) путь первого автомобилиста

(2) первые полпути второго автомобилиста

(3) вторые полпути второго автомобилиста

(4) сумма времени второго автомобилиста на первой и второй половине пути - общее время

Шаг 3

Подставим в уравнение (4) (1), (2) и (3). Получим:

-2

Шаг 4

Решаем самостоятельно квадратное уравнение и получаем два корня, выбираем тот, что подходит под условие задачи (>40 км/ч).

У меня получилось 45 км/ч, а у тебя?

Ö