Добавить в корзинуПозвонить
Найти в Дзене
Работа, учёба и отдых

Бином Ньютона и полиномиальная теорема в Wolframalpha

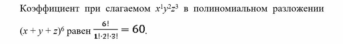
В лекции [https://dzen.ru/a/Y7eEdyMGQETzMppd?share_to=link] представлены теоретические сведения, связанные с биномом Ньютона, а также представлено расширение этого закона, выраженное в виде полиномиальной формулы. В текущем материале рассмотрим решение некоторых связанных с этой лекцией задач в вопросно-ответной системе Wolframalpha. Так, например, в конце лекции предлагается выполнить Упражнение 2, по которому предлагается определить коэффициент при слагаемом: Естественно, для примера представлено решение 30-ого варианта, для которого используется полиномиальная формула: Указанный пример с решением 30-ого варианта в вопросно-ответной системе Wolframalpha можно решить следующим образом. Для этого в командное окно вопросно-ответной системы Wolframalpha https://www.wolframalpha.com/ предлагается ввести команду: Expanded form (a + b + c)^6 В результате вопросно-ответная система Wolframalpha выдаст все коэффициенты, в том числе и коэффициент при искомом слагаемом: Естественно, можно рассм

В лекции [https://dzen.ru/a/Y7eEdyMGQETzMppd?share_to=link] представлены теоретические сведения, связанные с биномом Ньютона, а также представлено расширение этого закона, выраженное в виде полиномиальной формулы.

В текущем материале рассмотрим решение некоторых связанных с этой лекцией задач в вопросно-ответной системе Wolframalpha.

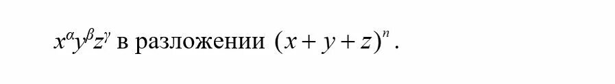
Так, например, в конце лекции предлагается выполнить Упражнение 2, по которому предлагается определить коэффициент при слагаемом:

Естественно, для примера представлено решение 30-ого варианта, для которого используется полиномиальная формула:

-2

Указанный пример с решением 30-ого варианта в вопросно-ответной системе Wolframalpha можно решить следующим образом.

Для этого в командное окно вопросно-ответной системы Wolframalpha https://www.wolframalpha.com/

предлагается ввести команду:

Expanded form (a + b + c)^6

В результате вопросно-ответная система Wolframalpha выдаст все коэффициенты, в том числе и коэффициент при искомом слагаемом:

-3
Искомое слагаемое в разложении
Искомое слагаемое в разложении

Естественно, можно рассматривать различные разложения и получить любые запрашиваемые слагаемые и коэффициенты перед ними, например, если ввести команду:

Expanded form (a + 2b + 3с)^7

Получим результат:

-5

Попробуйте самостоятельно, используя полиномиальную формулу, рассчитать все коэффициенты перед слагаемыми в разложении.

В качестве Упражнения рассчитайте самостоятельно и проверьте с использованием вопросно-ответной системы Wolframalpha коэффициенты в разложении (ax + by + cz) в степени n, где параметры взяты из следующей таблицы:

-6

Приведём пример выполнения в вопросно-ответной системе Wolframalpha для 30-ого варианта:

Вводим команду:Expanded form (2a + b + 3с)^7

Получаем результат:

-7

Предлагается, используя полиномиальную формулу, проверить все коэффициенты перед слагаемыми в разложении самостоятельно.