Найти в Дзене

Как решить тригонометрическое уравнение

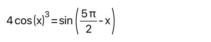
Для начала надо вспомнить формулу приведения. Синус пи/2 меняется на косинус. Чтобы определить знак, надо из угла пи/2 вычесть небольшой угол x. Тем самым мы увидим, что угол лежит в первой четверти, где косинус положительный. Переносим всё в одну сторону и выносим cos(x) за скобку. Если произведение равно 0, то как минимум один из множителей равен 0. Рассмотрим вариант, когда cos(x) = 0 Рассмотрим другой вариант.

Для начала надо вспомнить формулу приведения. Синус пи/2 меняется на косинус. Чтобы определить знак, надо из угла пи/2 вычесть небольшой угол x. Тем самым мы увидим, что угол лежит в первой четверти, где косинус положительный.

-2

Переносим всё в одну сторону и выносим cos(x) за скобку.

-3

Если произведение равно 0, то как минимум один из множителей равен 0.

Рассмотрим вариант, когда cos(x) = 0

-4

Рассмотрим другой вариант.

-5
-6
-7
-8
-9
Ответом будет:
Ответом будет: