Добавить в корзинуПозвонить
Найти в Дзене

Задания с параметром

1_Графический метод
Найдите все значения a, при каждом из которых уравнение имеет ровно два различных корня. Презентация https://disk.yandex.ru/i/kf7Qdi-NGEuQ0g
Видео https://rutube.ru/video/7d77757372193f99b46685487201602d/?r=wd 2_Графический метод
Найдите все положительные значения a, при каждом из которых система имеет единственное решение. Презентация https://disk.yandex.ru/i/BDzAmk-cHv4Mfw
Видео https://rutube.ru/video/2f2a9ed5e2d1587fd8e082942279fa25?r=wd 3_Графический метод
Найдите все положительные значения a, при каждом из которых система имеет ровно три различных решения. Презентация https://disk.yandex.ru/i/6Z7P7q9K_DpPZg
Видео https://rutube.ru/video/6cab5a499de5ed35a507938430d96f4f/?r=wd 4_Аналитический метод
Найдите все значения параметра a, при которых система уравнений имеет ровно два различных решения. Презентация https://disk.yandex.ru/i/irxtRGujpiNuZw
Видео https://rutube.ru/video/b85331476477bc8b05961191f6c08cfa/?r=wd 5_Графический метод
Найдите все значения a, пр

1_Графический метод
Найдите все значения a, при каждом из которых уравнение имеет ровно два различных корня.

-2

Презентация https://disk.yandex.ru/i/kf7Qdi-NGEuQ0g
Видео
https://rutube.ru/video/7d77757372193f99b46685487201602d/?r=wd

2_Графический метод
Найдите все положительные значения a, при каждом из которых система имеет единственное решение.

-3

Презентация https://disk.yandex.ru/i/BDzAmk-cHv4Mfw
Видео
https://rutube.ru/video/2f2a9ed5e2d1587fd8e082942279fa25?r=wd

3_Графический метод
Найдите все положительные значения a, при каждом из которых система имеет ровно три различных решения.

-4

Презентация https://disk.yandex.ru/i/6Z7P7q9K_DpPZg
Видео
https://rutube.ru/video/6cab5a499de5ed35a507938430d96f4f/?r=wd

4_Аналитический метод
Найдите все значения параметра a, при которых система уравнений имеет ровно два различных решения.

-5

Презентация https://disk.yandex.ru/i/irxtRGujpiNuZw
Видео
https://rutube.ru/video/b85331476477bc8b05961191f6c08cfa/?r=wd

5_Графический метод
Найдите все значения a, при каждом из которых система уравнений имеет ровно четыре различных решения.

-6

Презентация https://disk.yandex.ru/i/fWlykXy74ysg_w
Видео
https://rutube.ru/video/0e99a1c7fbbec37870e9082da79e8a7f/?r=wd

6_Занятие 1. Аналитический или графический метод. Найдите все значения a, при каждом из которых уравнение x⁴–8x²–9+10a–a²=0 имеет не менее трёх решений.
Презентация
https://disk.yandex.ru/i/dOmBSg4CQXQ8Vw
Видео
https://rutube.ru/video/474e8835c8ba7846cadc0b24bf20eb50/?r=wd

7_Занятие 2. Аналитический или графический метод? Найдите все значения a, при каждом из которых уравнение x⁴+4x³+4ax–16x–16+8a–a²=0 имеет не менее трёх решений.
Презентация
https://disk.yandex.ru/i/2iXRSknLz3O9Iw
Видео
https://rutube.ru/video/6e97e72154bba3a0e7f31d42815d6e18/?r=wd

8_Занятие 3. Графический метод. Найдите все значения a, при каждом из которых уравнение x⁴–2x³–4x²+10x–5–2ax+6a–a²=0 имеет не менее трёх решений.
Презентация
https://disk.yandex.ru/i/rPlkxWi8Trc8XA
Видео
https://rutube.ru/video/310ebbbfe9d8613d99ddcaa6cffeb3d2/?r=wd

9_Занятие 4. Графический метод. Найдите все значения a, при каждом из которых уравнение x⁴–2x³–12x²+20x+20–2ax+8a–a²=0 имеет не менее трёх решений.
Презентация
https://disk.yandex.ru/i/GiAcowYZueHO7w
Видео
https://rutube.ru/video/3dd5b9a130669c683165d0f305284471/?r=wd

10_Занятие 1. Найдите все значения a, при каждом из которых уравнение имеет ровно два решения.

-7

Презентация https://disk.yandex.ru/i/GfKmqelyW9bCOg
Видео
https://rutube.ru/video/dff5c07ad9c5dd399106291ded7a36e2/

11_Занятие 2. Найдите все значения a, при каждом из которых уравнение имеет ровно два решения.

-8

Презентация https://disk.yandex.ru/i/TYRI2r8Yp5eCNg
Видео
https://rutube.ru/video/4a7e53c007b97f1dee1439e7110fb32b/?r=wd

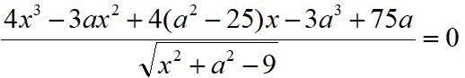
12_Занятие 3. Найдите все значения a, при каждом из которых уравнение имеет ровно два решения

-9

Видео https://rutube.ru/video/8f1059c968fa0bc64bcf8dd84f0ab7c4/
Презентация
https://disk.yandex.ru/i/kRnbu7e9p1wVkg
Замечание. К этому заданию можно вернуться, когда ученики овладеют навыком построения графиков с помощью производной.
Построить график y=√2πax-4x² можно не упоминая об эллипсе. У Вас есть решение? Можете скинуть в комментариях.