Найти в Дзене

Упрямые дети. Граница глупости?

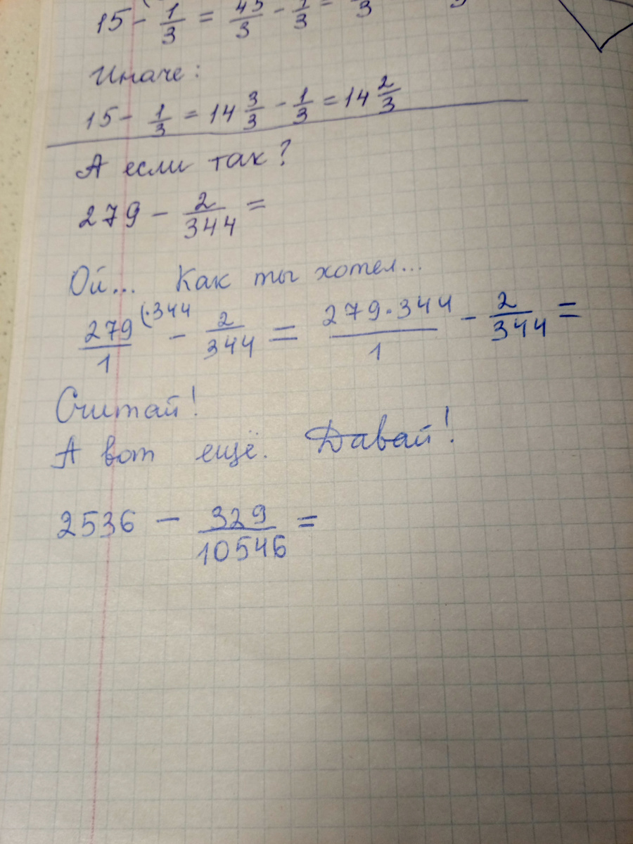
Чтобы окончательно не выгореть, буду писать разное. Полезно всем. Потому что вы в реальности увидите, как думают ваши дети, внуки, будете более готовы. Поехали... Чтобы чему-то научиться, надо быть послушными, признать авторитет учителя. Но одновременно и любопытными. Покорность даст быстрое усвоение предмета, любознательность даст простор для дополнительных вопросов и знаний. Удивитесь? Вспомните, в любом учебном заведении, начиная с греков и заканчивая тибетскими монастырями, требуют послушания от учеников. Но его мало, иногда почти нет- только умные учатся на чужом опыте, бриллианты-единицы. И начинается. Предлагаешь, как лучше, а они свое: - мне так проще!!! Не хочу вашим методом!!! - а зачем это все??? - это неудобно!!!! О чем эти вопли-протесты ниже: Два способа вычитания дробей.второй не хочет никак усваивать, вопит,что трудно. Ладно... Сегодня вы наблюдаете, как в марте преподаватели уже выгорают, терпение лопается и начинается разбор полетов... Чтобы сохранить себя в ненуж

Чтобы окончательно не выгореть, буду писать разное. Полезно всем. Потому что вы в реальности увидите, как думают ваши дети, внуки, будете более готовы.

Поехали...

Чтобы чему-то научиться, надо быть послушными, признать авторитет учителя. Но одновременно и любопытными. Покорность даст быстрое усвоение предмета, любознательность даст простор для дополнительных вопросов и знаний.

Удивитесь?

Вспомните, в любом учебном заведении, начиная с греков и заканчивая тибетскими монастырями, требуют послушания от учеников. Но его мало, иногда почти нет- только умные учатся на чужом опыте, бриллианты-единицы.

И начинается. Предлагаешь, как лучше, а они свое:

- мне так проще!!! Не хочу вашим методом!!!

- а зачем это все???

- это неудобно!!!!

О чем эти вопли-протесты ниже:

Два способа вычитания дробей.второй не хочет никак усваивать, вопит,что трудно. Ладно...

(Да кто тебя спросил? )

Сегодня вы наблюдаете, как в марте преподаватели уже выгорают, терпение лопается и начинается разбор полетов...

Чтобы сохранить себя в ненужных спорах с детьми, делаю проще. В некотором роде даже проучу за непослушание, излишнее упрямство и глупость, граничащую с тупостью. Даю примерчик, сама пью кофе.

Решай своим способом, не проблема!

-2

Классика. Дети воюют против этого способа вычитания дробей с неистовой силой! В итоге попадают в собственные же ловушки. Учатся горько, на своем опыте.

Насколько упрям человек в сопротивлении своем учителям! Насколько всем хочется быть правыми, умелыми, заткнувшими за пояс несмышленого преподавателя. Смотрю, поражаюсь человеческим существам.

Какие сильные, упрямые в желании сделать по-своему!

Всегда пожалуйста... А я кофейка выпью...