Добавить в корзинуПозвонить
Найти в Дзене
Matan Sandler

Приседания со штангой на спине VS Перед собой. Что лучше?

Приседания - один из базовых элементов силового тренинга, но среди множества их вариаций особенно часто сравнивают два типа: приседания со штангой на спине и приседания со штангой на груди. Оба варианта имеют своих сторонников, но какие из них действительно лучше для набора мышечной массы? Приседания со штангой на груди всегда считались "необычной" вариацией среди других видов приседаний. По отзывам, большинству людей они просто не нравятся так же, как классические приседания со штангой на спине. Они кажутся неудобными (или, как некоторые говорят, требуют больше времени на освоение техники). В науке обычно рекомендуют приседания со штангой на спине для набора мышечной массы. Однако… возможно, этот подход не так уж оправдан. Причины, по которым приседания со штангой на спине чаще рекомендуются, в основном связаны с механическими и биомеханическими аспектами движения, а не с фактическими исследованиями. Однако в прошлом году вышло исследование Энеса и коллег был проведен целый анализ, гд

Приседания - один из базовых элементов силового тренинга, но среди множества их вариаций особенно часто сравнивают два типа: приседания со штангой на спине и приседания со штангой на груди. Оба варианта имеют своих сторонников, но какие из них действительно лучше для набора мышечной массы?

Приседания со штангой на груди всегда считались "необычной" вариацией среди других видов приседаний. По отзывам, большинству людей они просто не нравятся так же, как классические приседания со штангой на спине. Они кажутся неудобными (или, как некоторые говорят, требуют больше времени на освоение техники). В науке обычно рекомендуют приседания со штангой на спине для набора мышечной массы. Однако… возможно, этот подход не так уж оправдан.

Причины, по которым приседания со штангой на спине чаще рекомендуются, в основном связаны с механическими и биомеханическими аспектами движения, а не с фактическими исследованиями. Однако в прошлом году вышло исследование Энеса и коллег был проведен целый анализ, где сравнивалась эффективность обоих упражнений.

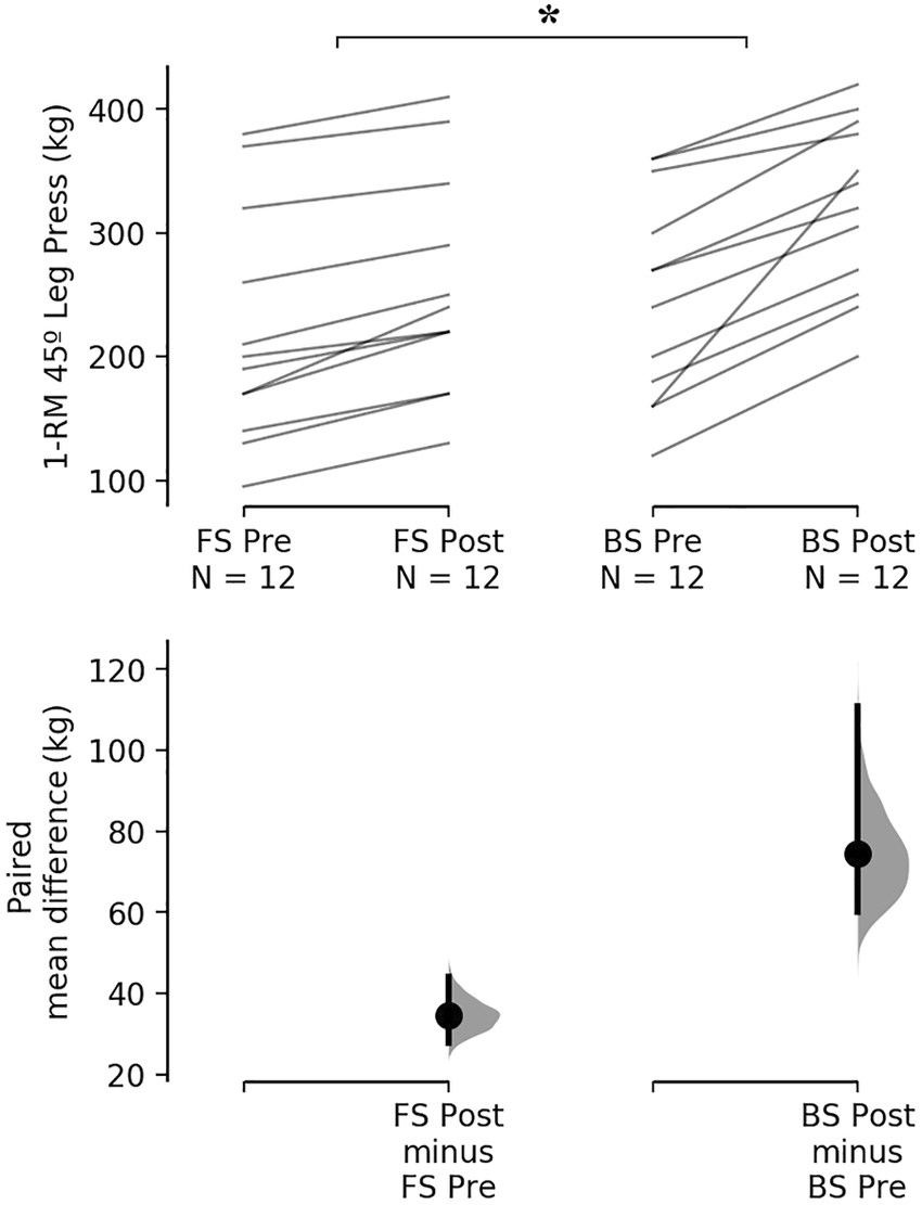
В исследовании участвовали 24 тренирующиеся женщины, которых разделили на две группы: одна группа выполняла приседания со штангой на груди, а другая - приседания со штангой на спине. Обе группы тренировались дважды в неделю на протяжении 12 недель. Измерялся 1-повторный максимум (1ПМ) в жиме ногами до и после тренировочного периода. Для оценки гипертрофии использовали ультразвуковое сканирование толщины мышц в трех зонах широкой латеральной мышцы бедра (одна из четырех головок квадрицепса): в проксимальной (верхней), средней и дистальной (нижней) частях.

Вот что они обнаружили:

Прирост силы в жиме ногами оказался значительно выше в группе приседаний со штангой на спине по сравнению с группой приседаний со штангой на груди. Однако гипертрофия широкой латеральной мышцы бедра была практически одинаковой между группами во всех трех зонах мышцы.

Результаты сравнения 1ПМ двух вариантов приседаний.
Результаты сравнения 1ПМ двух вариантов приседаний.
Сравнение в развитии латеральной головки квадрицепса в двух вариациях приседа.
Сравнение в развитии латеральной головки квадрицепса в двух вариациях приседа.

То есть, исходя из этого исследования, приседания со штангой на спине и приседания со штангой на груди могут приводить к схожему росту мышечной массы в зоне квадрицепсов, поэтому можно использовать обе вариации в своих тренировках. Однако приседания со штангой на спине могут быть более эффективными для увеличения результата в жиме ногами (тр есть, тренировка самого движения будет эффективнее) по сравнению с приседаниями со штангой на груди. Но, конечно же, не забываем про фактор индвидуальности, ведь не всем подходит одна вариация. У кого-то, допустим, могут быть травмированы запястья и поэтому приседания со штангой на спине будут более удобными и, соответственно, более эффективными. Попробуйте оба варианта и решите какой из них будет оптимальным именно для вас.