Добавить в корзинуПозвонить
Найти в Дзене

Золотое сечение: Тайна вечных пропорций - φ (фи)

В одном из уголков вселенной, где переплетаются нити математики, искусства и природы, скрывается тайна, известная как золотое сечение. Это число, обозначаемое греческой буквой φ (фи), хранит в себе ключ к гармонии и совершенству, которые пронизывают всё сущее. Его значение — 1.6180339887... — кажется бесконечным, как и сама вселенная, и оно очаровывает умы математиков, художников и философов на протяжении веков. Представьте себе древнего философа, бредущего по пыльным улицам Афин. Он останавливается перед величественным Парфеноном, и его взгляд скользит по колоннам, которые, кажется, хранят секрет вечной гармонии. "Как же это возможно?" — шепчет он, не в силах оторваться от совершенства форм. И вдруг он понимает: перед ним не просто храм, а воплощение математической тайны, которую люди будут открывать снова и снова, словно персонажи вечного спектакля. Эта тайна — золотое сечение, отношение, при котором целое так относится к большей части, как большая часть к меньшей. Математически это
Оглавление

В одном из уголков вселенной, где переплетаются нити математики, искусства и природы, скрывается тайна, известная как золотое сечение. Это число, обозначаемое греческой буквой φ (фи), хранит в себе ключ к гармонии и совершенству, которые пронизывают всё сущее. Его значение — 1.6180339887... — кажется бесконечным, как и сама вселенная, и оно очаровывает умы математиков, художников и философов на протяжении веков.

Пролог: Тайна, спрятанная в числах

Представьте себе древнего философа, бредущего по пыльным улицам Афин. Он останавливается перед величественным Парфеноном, и его взгляд скользит по колоннам, которые, кажется, хранят секрет вечной гармонии. "Как же это возможно?" — шепчет он, не в силах оторваться от совершенства форм. И вдруг он понимает: перед ним не просто храм, а воплощение математической тайны, которую люди будут открывать снова и снова, словно персонажи вечного спектакля.

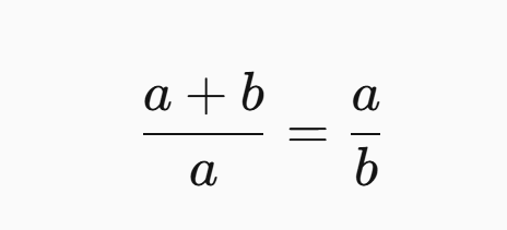
Эта тайна — золотое сечение, отношение, при котором целое так относится к большей части, как большая часть к меньшей. Математически это выражается так:

-2

​И это отношение равно φ, числу, которое словно насмехается над нами своей бесконечностью и совершенством.

Глава 1: Евклид и его "Элементы"

История золотого сечения начинается в Древней Греции, где жил великий математик Евклид. В своей знаменитой работе "Элементы" он описал деление отрезка в "экстремальном и среднем отношении". Это и было золотое сечение, хотя само название появилось гораздо позже. Евклид, словно алхимик, открыл формулу вечной гармонии, но, как и многие гении, не осознал масштабов своего открытия.

Однако золотое сечение не ограничилось математикой. Оно стало частью искусства, архитектуры и даже природы, словно невидимая нить, связывающая всё вокруг.

Глава 2: Леонардо Фибоначчи и его волшебные числа

В XIII веке в Италии жил математик Леонардо Фибоначчи. Он открыл последовательность чисел, которая, казалось бы, не имела ничего общего с золотым сечением:

-3

Каждое число в этой последовательности было суммой двух предыдущих. Но когда Фибоначчи начал делить каждое число на предыдущее, он обнаружил нечто поразительное: результат всё ближе и ближе подходил к φ. Словно природа сама подсказывала ему тайну золотого сечения.

Глава 3: Золотое сечение в искусстве

Золотое сечение стало музой для художников и архитекторов. Леонардо да Винчи использовал его в своих работах, включая "Тайную вечерю" и "Витрувианского человека". Он верил, что пропорции, основанные на золотом сечении, делают произведения искусства гармоничными и совершенными.

А Парфенон в Афинах? Его колонны, расположенные в соответствии с золотым сечением, создают ощущение легкости и величия одновременно. Словно сам храм был построен по законам, которые превосходят человеческое понимание.

-4

Глава 4: Золотое сечение в природе

Природа, кажется, знает о золотом сечении больше, чем мы. Расположение листьев на стеблях растений, спирали раковин моллюсков, структура ДНК — всё это основано на золотом сечении. Словно вселенная сама стремится к гармонии и совершенству, используя это магическое число.

А как насчет спиралей галактик? Они тоже следуют законам золотого сечения, словно космос сам является произведением искусства, созданным по вечным пропорциям.

Глава 5: Золотое сечение в современном мире

В современном мире золотое сечение продолжает играть важную роль. Оно используется в дизайне, архитектуре, фотографии и даже в финансовом анализе. Например, теория Эллиотта, основанная на последовательности Фибоначчи, помогает трейдерам предсказывать изменения на рынке.

В веб-дизайне золотое сечение помогает создавать гармоничные и привлекательные композиции. В музыке оно используется для создания гармоничных композиций, а в биологии — для изучения структуры ДНК и расположения листьев на растениях.

Глава 6: Как рассчитать золотое сечение самостоятельно?

Золотое сечение можно вычислить с помощью квадратного уравнения:

-5

Эпилог: Тайна, которая не имеет конца

Золотое сечение — это не просто число. Это символ гармонии, красоты и совершенства, который пронизывает всё сущее. Оно напоминает нам о том, что математика — это не только цифры и формулы, но и ключ к пониманию мира вокруг нас. И, возможно, тайна золотого сечения никогда не будет полностью раскрыта, но это лишь делает её ещё более загадочной и притягательной.