Добавить в корзинуПозвонить
Найти в Дзене

Урок 8.1. ОБЩИЕ СВЕДЕНИЯ О СИСТЕМАХ СЧИСЛЕНИЯ

ПРЕЗЕНТАЦИЯ по теме. Система счисления — это способ записи чисел с помощью заданного набора специальных знаков (цифр).  Системы счисления могут быть двух видов: Основание позиционной системы счисления — это количество различных знаков или символов, используемых для изображения цифр в данной системе. За основание можно принять любое натуральное число — два, три, четыре, шестнадцать и т. д..
истема счисления - это способ записи чисел с помощью заданного набора специальных знаков (цифр). Запись числа в некоторой системе счисления называется кодом числа. Отдельную позицию в изображении числа принято называть разрядом, а номер позиции - номером разряда. Число разрядов в записи числа называется разрядностью и совпадает с его длиной. Существуют системы позиционные и непозиционные. В непозиционных системах счисления вес цифры не зависит от позиции, которую она занимает в числе. Так, например, в римской системе счисления в числе XXXII (тридцать два) вес цифры X в любой позиции равен просто дес

ПРЕЗЕНТАЦИЯ по теме.

Система счисления — это способ записи чисел с помощью заданного набора специальных знаков (цифр). 

Системы счисления могут быть двух видов:

  1. Позиционные. Значение числа зависит от положения цифры в записи числа. Примеры: двоичная, десятичная, восьмеричная.
  2. Непозиционные. Значение числа не зависит от положения цифр в числе. Примеры: римская, древнеегипетская, вавилонская.

Основание позиционной системы счисления — это количество различных знаков или символов, используемых для изображения цифр в данной системе. За основание можно принять любое натуральное число — два, три, четыре, шестнадцать и т. д..

истема счисления - это способ записи чисел с помощью заданного набора специальных знаков (цифр).

Запись числа в некоторой системе счисления называется кодом числа.

Отдельную позицию в изображении числа принято называть разрядом, а номер позиции - номером разряда. Число разрядов в записи числа называется разрядностью и совпадает с его длиной.

Существуют системы позиционные и непозиционные.

В непозиционных системах счисления вес цифры не зависит от позиции, которую она занимает в числе. Так, например, в римской системе счисления в числе XXXII (тридцать два) вес цифры X в любой позиции равен просто десяти.

Пример непозиционной системы счисления - римская. В качестве цифр в римской системе используются: I(1), V(5), X(10), L(50), C(100), D(500), M(1000).
Величина числа в римской системе счисления определяется как сумма или разность цифр в числе. Если меньшая цифра стоит слева от большей, то она вычитается, если справа - прибавляется.

Пример:

CCXXXII=232
IX =9

В позиционных системах счисления вес каждой цифры изменяется в зависимости от ее позиции в последовательности цифр, изображающих число. 

Любая позиционная сиситема характеризуется своим основанием.
Основание позиционной системы счисления - это количество различных знаков или символов, используемых для изображения цифр в данной системе. 
За основание можно принять любое натуральное число - два, три, четыре, шестнадцать и т.д. Следовательно, возможно бесконечное множество позиционных систем.

Примеры позиционной системы счисления - двоичная, десятичная, восьмеричная, шестнадцатеричная системы счисления и т. д.

Десятичная система счисления.

В этой системе 10 цифр: 0, 1, 2, 3, 4, 5, 6, 7, 8, 9, но информацию несет не только цифра, но и место, на котором цифра стоит (то есть ее позиция). Самая правая цифра числа показывает число единиц, вторая справа - число десятков, следующая - число сотен и т.д.

Пример:
33310 = 3×100 + 3×10+3×1 = 300 + 30 + 3

Двоичная система счисления.

В этой системе всего две цифры - 0 и 1. Основание системы - число 2. Самая правая цифра числа показывает число единиц, следующая цифра - число двоек, следующая - число четверок и т.д. Двоичная система счисления позволяет закодировать любое натуральное число - представить его в виде последовательности нулей и единиц.

Пример:
10112 = 1×2^3 + 0×2×2+1×2^1+1×2^0 =18 + 1×2+1=1110

Восьмеричная система счисления. В этой системе счисления 8 цифр: 0, 1, 2, 3, 4, 5, 6, 7. Чтобы перевести в двоичную систему, например, число 611 (восьмеричное), надо заменить каждую цифру эквивалентной ей двоичной триадой (тройкой цифр). Легко догадаться, что для перевода многозначного двоичного числа в восьмиричную систему нужно разбить его на триады справа налево и заменить каждую триаду соответствующей восьмеричной цифрой.

Пример:

6118 =011 001 0012

1 110 011 1012=14358 (4 триады)

Шестнадцатиричная система счисления
Запись числа в восьмеричной системе счисления достаточно компактна, но еще компактнее она получается в шестнадцатеричной системе. В качестве первых 10 из 16 шестнадцатеричных цифр взяты привычные цифры 0, 1, 2, 3, 4, 5, 6, 7, 8, 9, а вот в качестве остальных 6 цифр используют первые буквы латинского алфавита: A, B, C, D, E, F.Перевод из шестнадцатеричной системы в двоичную и обратно производится аналогочно тому, как это делается для восьмеричной системы.

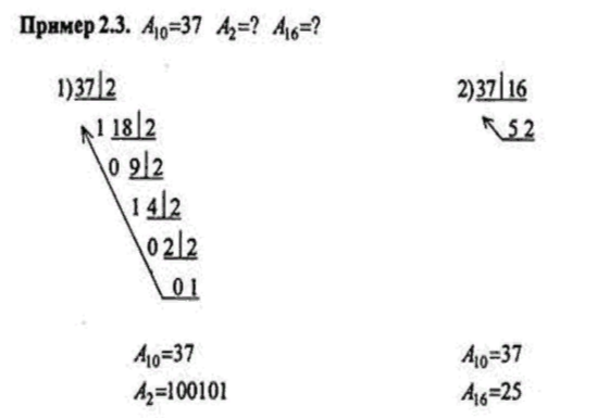
Перевод целых чисел в другие системы счисления

Целое число с основанием 10 переводится в систему счисления с основанием 2 путем последовательного деления числа , на основание 2 до получения остатка. Полученные остатки от деления и последнее частное записываются в порядке, обратном полученному при делении. Сформированное число и будет являться числом с основанием N2.

-2

Перевод чисел в десятичную систему осуществляется путем составления степенного ряда с основанием той системы, из которой число переводится. Затем подсчитывается значение суммы.

Пример.

а) Перевести 10101101 с.с.

101011012 = 1×2^7+ 0×2^6+ 1×2^5+ 0×2^4+ 1×2^3+ 1×2^2+ 0×2^1+ 12^0 = 173

б) Перевести 7038.

7038 = 7×8^2+ 0×8^1+ 3×8^0= 451

в) Перевести B2E16.

B2E16 = 11×16^2+ 2×16^1+ 14×16^0= 2862

Домашнее задание

  1. Сколько единиц в двоичной записи шестнадцатеричного числа 7C?
  2. Дано А=9D16, B=2378. Какое из чисел C, записанных в двоичной системе счисления, отвечает условию A<C<B?
    1) 100110102
    2) 100111102
    3) 100111112
    4) 110111102