Найти в Дзене

Что такое черные дыры?

Введение. Физика – это очень просто, особенно, если это фундаментальная физика (т.е. самое, самое её «Начало»). И начнём мы с момента, когда обезьяна взяла в руку палку. - Палка должна быть удобной, т.е. иметь определённые размеры. А что значит измерить? Это значит сравнить её длину с какой—то эталонной, например, с шириной нашего ногтя (это 1см). - Палка должна быть не тяжелой, не лёгкой и прочной. А это зависит от объёма палки и из какого дерева она попалась (из дуба или из липы). Тут уже по сложнее, но первобытное мышление с этим быстренько разобралось, что объём состоит из длины, ширины и толщины (потом это «умно» назвали 3-х мерностью). В данном случае это можно сравнить с фалангой нашего пальца. «Тяжесть» же её, зависящая от материала, (сейчас это называют плотностью) была сравнена с плотностью воды. Т.е. плотность – это «тяжесть», делённая на объём. - Когда появилась торговля в виде натурального обмена (палками и другими предметами) появились весы. Это обычные рычажные весы, ко
Черная дыра реальное фото
Черная дыра реальное фото

Введение. Физика – это очень просто, особенно, если это фундаментальная физика (т.е. самое, самое её «Начало»). И начнём мы с момента, когда обезьяна взяла в руку палку.

- Палка должна быть удобной, т.е. иметь определённые размеры. А что значит измерить? Это значит сравнить её длину с какой—то эталонной, например, с шириной нашего ногтя (это 1см).

- Палка должна быть не тяжелой, не лёгкой и прочной. А это зависит от объёма палки и из какого дерева она попалась (из дуба или из липы). Тут уже по сложнее, но первобытное мышление с этим быстренько разобралось, что объём состоит из длины, ширины и толщины (потом это «умно» назвали 3-х мерностью). В данном случае это можно сравнить с фалангой нашего пальца. «Тяжесть» же её, зависящая от материала, (сейчас это называют плотностью) была сравнена с плотностью воды. Т.е. плотность – это «тяжесть», делённая на объём.

- Когда появилась торговля в виде натурального обмена (палками и другими предметами) появились весы. Это обычные рычажные весы, когда на подвешенную полку с двух сторон навешивались сравниваемые грузы. Появилось понятие момента силы, как произведения силы на плечо (т.е. длину)

- Следующим этапом развития «мозгов» появилось из потребностей «соревнований» в беге (например, от погони). Появилось «научное» понятие движения (а значит и скорости). А это уже явление «высшего» порядка т.к. включает в себя кроме понятия длины ещё и время. Что такое время не знает никто, но прекрасно ощущает, как естественную очерёдность событий. Не смущайтесь! За единицу времени было выбрано (очень удачно) время нашего сердечного пульса. А скорость равна длине, делённой на время.

- Естественным «Началом» современной науки является классическая механика И. Ньютона. Он первым разделил понятие «тяжести» на две части: на силу (притяжения к Земле) и инерционную массу. В первом его законе сила равна инерционной массе, умноженной на ускорение. Почему не скорости, а ускорению (опять же) не знает никто. Не смущайтесь аналогично! «Тяжесть» же равна массе, умноженной на ускорение свободного падения к Земле. Причём та же это масса, что и в первом его законе инерции или иная (гравитационная) – до сих пор под вопросом! У меня здесь «особое» мнение, пока не принятое «большой» наукой, но меня это совсем не смущает! Вопрос лишь времени!

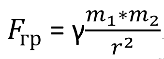
Вернёмся к понятию «размерности». Размерность физической величины –это как бы её качество. Цифра – это количество этого самого качества. Так складывать (или вычитать) можно только одинаковые размерности. При умножении или делении меняется само качество (размерность). Постепенно стали появляться более сложные размерности. Так 4-й закон Ньютона гласит, что сила притяжения к Земле прямо пропорциональна и массе Земли и массе притягиваемого тела и обратно пропорциональна квадрату расстояния между ними т.е

4 закон Ньютона
4 закон Ньютона

Здесь слева стоит сила в динах

Размерность силы в системе СГС (Сантиметр Грамм Секунда)
Размерность силы в системе СГС (Сантиметр Грамм Секунда)

а справа стоит дробь со сложной размерностью

Размерность в гравитационной формуле Ньютона
Размерность в гравитационной формуле Ньютона

которая в сумме должна соответствовать размерности силы. Чтобы это соблюсти, Ньютон ввёл коэффициент γ с размерностью

Размерность Гравитационной постоянной
Размерность Гравитационной постоянной

Численная величина его определяется опытным путём. Она была названа гравитационной постоянной.

С появлением электричества появилось много новых качеств (размерностей). Это и электрические заряды, и магнитные поля. Появилась т-наз. квантовая физика. Но, как ни странно, в этой новой области главной фундаментальной константой является чисто «механическая» величина – это постоянная Планка ħ с размерностью

Момент движения
Момент движения

а это момент количества движения, где

Количество движения
Количество движения

это количество движения, а [см] - это «плечо (длина) этого момента.

Так вот, на сегодня мы имеем 3 таких фундаментальных размерности (цифры) – это скорость света, гравитационная постоянная и постоянная Планка

Скорость света
Скорость света
Гравитационная постоянная
Гравитационная постоянная
Постоянная Планка
Постоянная Планка

Здесь указаны примерные численные их значения, но мы знаем их очень точно! В конце 20-го века в «большой» науке появились некие очень интересные комбинации из этих цифр с не очень понятным внутренним «смыслом», но названные Планковскими! Это

-11

Суть этих комбинаций была в том, чтобы получить в итоге 3 фундаментальных размерности.

Так :

Теоретическая масса Планка
Теоретическая масса Планка

Теоретическая длина Планка
Теоретическая длина Планка

Теоретическое время Планка
Теоретическое время Планка

Ввиду их численной малости их назвали (по тогдашней «моде») квантами, хотя, например, m Планка на «квант» как-то не «тянет» (великоват, если учесть что масса электрона

Масса электрона
Масса электрона

Я горд тем, что, благодаря своей теории (гипотезы, модели) конечной Вселенной, мне удалось не только «восстановить» почти утраченную «Диалектику природы» ф. Энгельса, но и найти логичное объяснение этим 3-м Планковским величинам. Так, например, если принять l Планка за размер разрыва материального (упругого) эфира—пространства (ЭП) (см. сайт https://newnewton.ru) ,круглого по форме листа, но не имеющего «толщены», т.к. внутри разрыва находится то же самое «Ничто», что и снаружи Вселенной, т.е. не обладающее абсолютно никакими свойствам, в том числе и размерами. Тогда здесь l Планка - это диаметр шара вокруг этого разрыва из уплотнённого материала самого ЭП. Можно попробовать посчитать плотность такого шара из расчёта, что масса его равна m Планка. Легко проверить, что мы получим:

Теоретическая плотность черной дыры
Теоретическая плотность черной дыры

а это по порядку величины соответствует современным расчётам плотности чёрных дыр.

Таким образом вырисовывается такая «картина». В процессе коллапса «уплотнение» масс происходит как бы «крупинчато» (т.е. в виде Планковских (m Планка) ), которые достигают скорости движения к центру коллапса близкой к (c), но не объединяются в одну (большую) чёрную дыру, а (из-за «сжатого» объёма ЭП в центре) перестают притягиваться гравитационно (т.к. «пружинки» упругого растянутого ЭП стали слишком короткими). В результате эти «крупинки» по инерции проходят центр практически без столкновений (из-за малых собственных размеров) и вылетают в противоположную начальную границу коллапса. При этом «восстанавливается» ЭП в центре до доколлапсного состояния и происходит снова (очередной) коллапс. Период этого процесса можно «легко» вычислить, зная исходную коллапсирующую массу. Этот процесс не может продолжаться бесконечно т.к. суммарная масса медленно (но «верно») возрастает. Конец известен – это «сверхновая» звезда.

Далее хотелось бы отметить, что гениальность И. Ньютона не просто в создании классической механики (1687г.) состоящей из 4-х законов. Дело в том, что 3-й его закон (действие равно противодействию) – это ведь следствие основного закона «Диалектики природы» Ф. Энгельса, который появился лишь 200 лет спустя (1882г.). Об этом почему-то «умалчивает» (или не осознаёт) современная «большая» наука! Она настолько «большая», что не замечает (как слон моську) диалектику в своих высокомерных физ-мат. «экзерцициумах» (упражнениях). Бог им судья! Я не случайно упомянул «Бога», т.к. в моей модели Вселенной существует как бы «физический Бог» - это внешняя «корка» Вселенной, которая физически управляет всегда и везде во всей Вселенной, причём (онлайн) даже каждой элементарной частицей, каждым фотоном, несмотря на кажущийся всемирный Хаос. В следующей статье я попробую Вам объяснить, как это может происходить по моей модели.