Найти в Дзене
Блокнот Воронеж

Раскрыт обновленный автопарк мэрии Воронежа с красивыми номерами

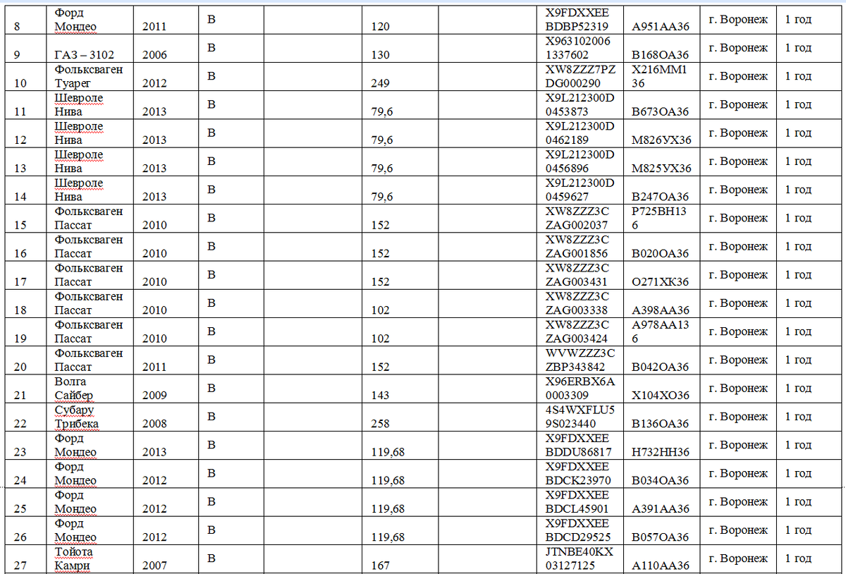
В документации публикуется список машин городской администрации, которые должны быть застрахованы. По сравнению с прошлым годом количество автомобилей уменьшилось на три единицы и стало таким же, как в 2023-м. Одновременно в городском автопарке в 2024-м году появились 8 новых машин Лада Гранта/Веста. В проекте контракта у них еще отсутствуют государственные номера регистрации. скриншот сайта госзакупок Кстати, за три года – 2020, 2022 и 2023-й - мэрия приобрела 30 автомобилей Лада Гранта/Веста, и 11 таких машин было куплено в 2017-2018 годах. Таким образом, сейчас в гараже мэрии, насчитывающем 115 транспортных средств, должно быть до 50 служебных автомобилей Лада Гранта/Веста. Что касается иномарок, то последнюю массовую закупку чиновники осуществили в 2019-м, когда было приобретено 7 автомобилей Тойота Камри и одна Хендэ Соната. Основная часть других иномарок была куплена еще при мэре Колиухе, в 2008 – 2013 годах. Обращает на себя внимание, что автомобили мэрии Воронежа имеют так назы

Автобаза администрации города Воронеж объявила о поиске компании, которая застрахует служебный автопарк мэрии. В нем сегодня насчитывается 115 транспортных средств, в основном легковых автомобилей. За оказание им услуги ОСАГО в наступившем году могут заплатить до 534 тысяч рублей. Об этом сообщается на сайте закупок, информация об этом появилась 11 февраля.

В документации публикуется список машин городской администрации, которые должны быть застрахованы. По сравнению с прошлым годом количество автомобилей уменьшилось на три единицы и стало таким же, как в 2023-м.

Одновременно в городском автопарке в 2024-м году появились 8 новых машин Лада Гранта/Веста. В проекте контракта у них еще отсутствуют государственные номера регистрации.

скриншот сайта госзакупок

Кстати, за три года – 2020, 2022 и 2023-й - мэрия приобрела 30 автомобилей Лада Гранта/Веста, и 11 таких машин было куплено в 2017-2018 годах. Таким образом, сейчас в гараже мэрии, насчитывающем 115 транспортных средств, должно быть до 50 служебных автомобилей Лада Гранта/Веста.

Что касается иномарок, то последнюю массовую закупку чиновники осуществили в 2019-м, когда было приобретено 7 автомобилей Тойота Камри и одна Хендэ Соната. Основная часть других иномарок была куплена еще при мэре Колиухе, в 2008 – 2013 годах.

Обращает на себя внимание, что автомобили мэрии Воронежа имеют так называемые «блатные госномера» - серий ААА, ВОА, ХХХ, ККК. Вероятно, они были установлены «для понтов», как у облправительства, или для того, чтобы эти машины реже останавливали сотрудники ГИБДД.

скриншот из описания объекта закупки

Стоит добавить, что за год служебный автопарк мэрии не только пополнился новыми авто, но и избавился от нескольких старых иномарок, выпущенных в 2007 или 2010 гг.

Указанные ныне 115 легковушек далеко не полный список служебных авто мэрии: еще десятки легковых автомобилей могут находиться на балансе различных муниципальных организаций, учреждений и предприятий.

Владимир Даньшин