Добавить в корзинуПозвонить
Найти в Дзене
Перов

Примеры решения рациональных уравнений. Задание №9 ОГЭ

Разберем решение нескольких рациональных уравнений, которые могут попасться на ОГЭ. Более подробный разбор алгоритма решения квадратных уравнений можете изучить тут. Пример 1. Решите уравнение Решение. Чтобы избавиться от всех знаменателей, домножим уравнение на
2 ∙ (x – 2). Запишем ОДЗ: x –2 ≠0 или x ≠ 2. Решим уравнение: Ответ: 4. Пример 2. Решите уравнение Решение. Чтобы избавиться от знаменателя, домножим уравнение на x – 6. Запишем ОДЗ: x – 6 ≠ 0 или x ≠ 0. Решим уравнение: Ответ: 8. Пример 3. Решите уравнение Решение. Чтобы избавиться от всех знаменателей, домножим уравнение на
(x – 19) ∙ (x – 3). Запишем ОДЗ: x – 19 ≠ 0 или x ≠ 19 и x – 3 ≠ 0 или x ≠ 3. Решим уравнение: Ответ: 22. Пример 4. Решите уравнение В ответ запишите больший корень. Решение. Чтобы избавиться от всех знаменателей, домножим уравнение на x. Запишем ОДЗ: x ≠ 0. Решим уравнение: Мы получили квадратное уравнение. Решим его через теорему Виета: Откуда получаем решения: –3 и 2. Большим корнем является число 2.

Разберем решение нескольких рациональных уравнений, которые могут попасться на ОГЭ. Более подробный разбор алгоритма решения квадратных уравнений можете изучить тут.

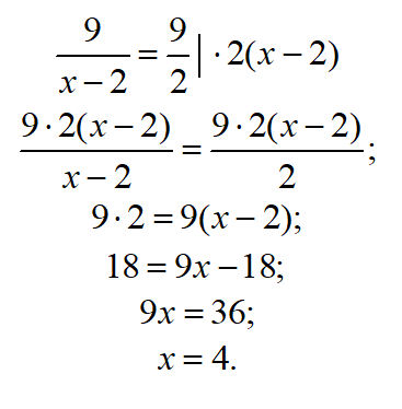
Пример 1. Решите уравнение

Решение. Чтобы избавиться от всех знаменателей, домножим уравнение на
2 ∙ (
x – 2). Запишем ОДЗ: x –2 ≠0 или x ≠ 2.

Решим уравнение:

-2

Ответ: 4.

Пример 2. Решите уравнение

-3

Решение. Чтобы избавиться от знаменателя, домножим уравнение на x – 6. Запишем ОДЗ: x – 6 ≠ 0 или x ≠ 0.

Решим уравнение:

-4

Ответ: 8.

Пример 3. Решите уравнение

-5

Решение. Чтобы избавиться от всех знаменателей, домножим уравнение на
(
x – 19) ∙ (x – 3). Запишем ОДЗ: x – 19 ≠ 0 или x ≠ 19 и x – 3 ≠ 0 или x ≠ 3.

Решим уравнение:

-6

Ответ: 22.

Пример 4. Решите уравнение

-7

В ответ запишите больший корень.

Решение. Чтобы избавиться от всех знаменателей, домножим уравнение на x. Запишем ОДЗ: x ≠ 0.

Решим уравнение:

-8

Мы получили квадратное уравнение. Решим его через теорему Виета:

-9

Откуда получаем решения: –3 и 2. Большим корнем является число 2.

Ответ: 2.

Если Вы плохо понимаете математику и хотите повысить уровень знаний, можете записаться ко мне на занятия! Со мной можно связаться через телеграмм: @rd_mach. Или через авито.
Репетитор по математике в Санкт-Петербурге | Услуги | Авито