Добавить в корзинуПозвонить
Найти в Дзене
aiBazar

Сравнение DeepSeek-R1 и OpenAI o1

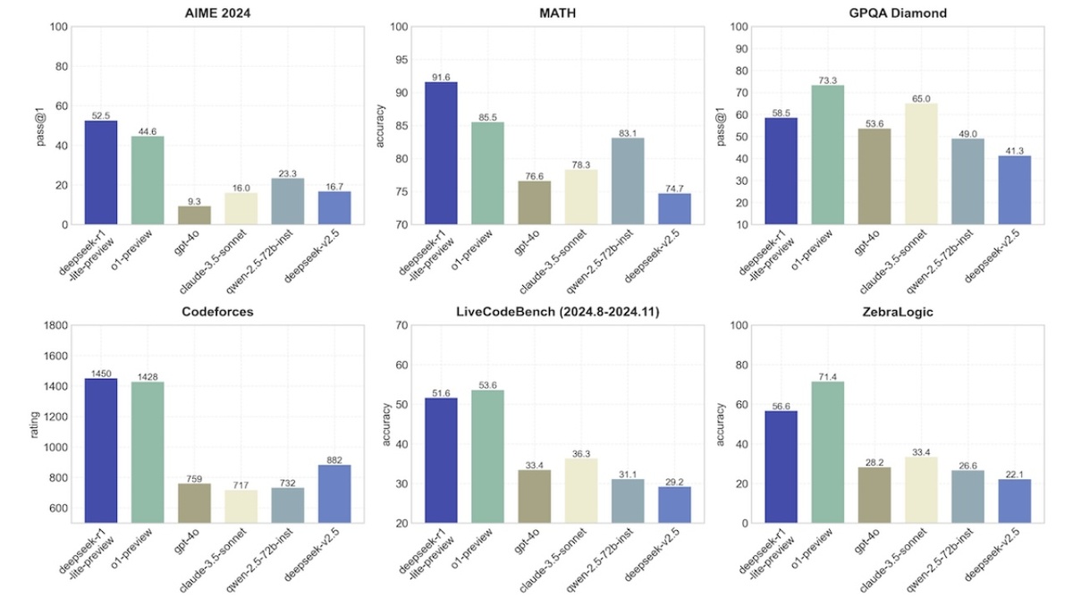
Китайские разработчики представили модель DeepSeek-R1, которая, по их заявлению, сопоставима с моделью рассуждений o1 от OpenAI. Эта нейросеть успешно справляется с задачами по математике, программированию и логике, а в некоторых тестах даже превосходит o1. Для оценки возможностей DeepSeek-R1 использовались три ключевых теста: Несмотря на небольшие отставания в некоторых тестах, DeepSeek-R1 стабильно обходит модель o1-mini по всем бенчмаркам. Одним из главных преимуществ DeepSeek-R1 перед ChatGPT является отсутствие региональных ограничений. Китайские разработчики не блокируют запросы с российских IP-адресов, а мобильное приложение можно скачать без необходимости менять регион. Кроме того, DeepSeek-R1 понимает и отвечает на запросы на русском языке без проблем. DeepSeek-R1 – это открытая нейросеть, доступная для свободного использования по лицензии MIT. Это означает, что модель можно использовать в коммерческих проектах без ограничений. Такой подход делает DeepSeek-R1 привлекательной
Оглавление

Китайские разработчики представили модель DeepSeek-R1, которая, по их заявлению, сопоставима с моделью рассуждений o1 от OpenAI. Эта нейросеть успешно справляется с задачами по математике, программированию и логике, а в некоторых тестах даже превосходит o1.

DeepSeek-R1 против OpenAI o1: сравнение в бенчмарках

Для оценки возможностей DeepSeek-R1 использовались три ключевых теста:

  1. SWE-bench Verified (проверяет умение исправлять ошибки в коде) – 49,2% у DeepSeek-R1 против 48,9% у o1.
  2. Codeforces (решение алгоритмических задач) – 96,3% у DeepSeek-R1 против 96,6% у o1.
  3. GPQA Diamond (генерация решений сложных задач) – 71,5% у DeepSeek-R1 против 75,7% у o1.

Несмотря на небольшие отставания в некоторых тестах, DeepSeek-R1 стабильно обходит модель o1-mini по всем бенчмаркам.

-2
-3

Свободный доступ для пользователей из России

Одним из главных преимуществ DeepSeek-R1 перед ChatGPT является отсутствие региональных ограничений. Китайские разработчики не блокируют запросы с российских IP-адресов, а мобильное приложение можно скачать без необходимости менять регион. Кроме того, DeepSeek-R1 понимает и отвечает на запросы на русском языке без проблем.

Открытый исходный код и лицензия MIT

DeepSeek-R1 – это открытая нейросеть, доступная для свободного использования по лицензии MIT. Это означает, что модель можно использовать в коммерческих проектах без ограничений. Такой подход делает DeepSeek-R1 привлекательной для разработчиков, стартапов и компаний, которые хотят интегрировать мощный ИИ в свои продукты.

-4

Ограничения и цензура

Несмотря на высокую производительность, у модели DeepSeek-R1 есть существенный недостаток – она подлежит контролю со стороны китайского интернет-регулятора. Это означает, что нейросеть не отвечает на чувствительные для Китая темы, например:

❌ Вопросы о событиях на площади Тяньаньмэнь.

❌ Запросы, касающиеся автономии Тайваня.

❌ Политически спорные темы, не соответствующие «основным социалистическим ценностям».

Китайские компании бросают вызов OpenAI

DeepSeek-R1 – далеко не единственная китайская модель, конкурирующая с OpenAI o1. Сейчас как минимум три ведущие лаборатории работают над созданием мощных ИИ-решений:

🔹 DeepSeek – разработчик DeepSeek-R1.

🔹 Alibaba – известный технологический гигант.

🔹 Kimi – проект компании Moonshot AI, китайского «единорога».

Эти компании уверены, что их технологии способны конкурировать с OpenAI и даже предлагают ряд преимуществ, включая открытость кода и отсутствие географических ограничений.

Заключение

DeepSeek-R1 – сильный конкурент OpenAI, который предлагает бесплатный доступ, поддержку русского языка и открытый исходный код. Однако пользователям стоит учитывать возможные ограничения в вопросах цензуры, свойственные китайским технологиям.

Тем не менее, растущая конкуренция между OpenAI и китайскими разработчиками движет индустрию ИИ вперёд, предоставляя пользователям новые возможности.