Добавить в корзинуПозвонить
Найти в Дзене

Что нового известно про яйца?

Несколько дней читала разные статьи про яйца и их влияние на здоровье за последние 5 лет. Самую последнюю обзорную статью показываю в картинках. Это интегральный мета-анализ, где были объединены и проанализированы 14 мета-анализов. Красным цветом показала значимые результаты. Какие выводы можно сделать? ✅ Яйца входят в здоровое питание в умеренных количествах. Нормальное количество яиц в рационе - от 3 до 7(8) в неделю. ✅ Хоть исследований, посвященных яйцам много, они - низкого качества. Поэтому до сих пор всё, что известно про яйца имеет низкий и очень низкий уровень доказательств. То есть, выводы из исследований могут измениться, когда количество данных увеличится. ✅ В яйцах есть и полезные, и вредные вещества. Яйца - источник белка, витамина А, биотина, холина (это хорошо). Также в яйцах много холестерина (это не очень хорошо). ✅ Благодаря своим полезным компонентам яйца в питании способствуют росту и развитию детей. ✅ Некоторые исследования показали, что яйца помогают ум

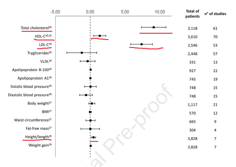
Несколько дней читала разные статьи про яйца и их влияние на здоровье за последние 5 лет.

Самую последнюю обзорную статью показываю в картинках. Это интегральный мета-анализ, где были объединены и проанализированы 14 мета-анализов.

Красным цветом показала значимые результаты. Какие выводы можно сделать?

✅ Яйца входят в здоровое питание в умеренных количествах. Нормальное количество яиц в рационе - от 3 до 7(8) в неделю.

✅ Хоть исследований, посвященных яйцам много, они - низкого качества. Поэтому до сих пор всё, что известно про яйца имеет низкий и очень низкий уровень доказательств. То есть, выводы из исследований могут измениться, когда количество данных увеличится.

✅ В яйцах есть и полезные, и вредные вещества. Яйца - источник белка, витамина А, биотина, холина (это хорошо). Также в яйцах много холестерина (это не очень хорошо).

✅ Благодаря своим полезным компонентам яйца в питании способствуют росту и развитию детей.

✅ Некоторые исследования показали, что яйца помогают уменьшить риск инсульта.

✅ Ранее много где писали, что яйца "оправданы" в плане отрицательного влияния на уровень холестерина. Несколько десятилетий назад рекомендовали ограничивать яйца, так как в них много холестерина. Но потом доказали, что на уровень холестерина в большей степени влияет не холестерин из пищи, а насыщенные жиры. И то, что в яйцах много холестерина - ничего не значит. Яйца "оправданы".

👉 Сейчас появились исследования, что сами по себе яйца на самом деле повышают уровень общего холестерина крови преимущественно за счет плохого холестерина. 🤷‍♀️

Вот такая вот печаль. Но данные пока еще низкого уровня доказательности.

✅ Все-таки много яиц есть не стоит. Скорее всего до 2х яиц в день можно съедать.

Но увеличение количества яиц в питании показывает увеличение смертности или сокращение продолжительности жизни. Если посмотреть внимательно - то мы увидим увеличение смертности за счет смертности от рака. Что важно - данные имеют низкий уровень доказательств! Поэтому пугаться и демонизировать яйца не стоит.

Хотя, пишут, что вред яиц все еще может быть объяснен их методами приготовления - жаркой, а также добавлением бекона, колбас и сосисок. Ну, через 5-10 лет узнаем точнее.

-2

✅ А также употребление большого количества яиц увеличивает риск развития хронической сердечной недостаточности.

Для более точных рекомендаций и подбора лечения необходимо обратиться к лечащему врачу. Информация в статье носит справочный характер.

➡️ Перейти в Содержание канала (Онлайн энциклопедия по диетологии)

➡️ Подписывайтесь на мой канал на Дзене

➡️ Канал в Телеграм

Помните, что в питании важно разнообразие! 🤗