Найти в Дзене
Перов

Примеры решения квадратных уравнений. Задание №9 ОГЭ

Разберем решение нескольких квадратных уравнений, которые могут попасться на ОГЭ. Более подробный разбор алгоритма решения квадратных уравнений можете изучить тут. Пример 1. Решите уравнение В ответ запишите больший из корней. Решение. Решим уравнение: Мы получили два решения: –11 и 11. Большим корнем является 11. Ответ: 11. Пример 2. Решите уравнение: В ответ запишите меньший из корней. Решение. Решим уравнение, разложив на множители: Далее получаем два линейных уравнения: 1) имеем: x = 0;
2) имеем x – 3 = 0 или x = 3. Мы получили два решения: 0 и 3. Меньшим корнем является 0. Ответ: 0. Пример 3. Решите уравнение: В ответ запишите больший из корней. Решение. Решим уравнение, разложив на множители: Далее получаем два линейных уравнения: Мы получили два решения: –0,25 и 0. Большим корнем является 0. Ответ: 0. Пример 4.Решите уравнение: В ответ запишите больший из корней. Решение. Решим уравнение, вычислив дискриминант. Имеем: Мы получили два решения: 0,5 и 1. Большим корнем является 1.

Разберем решение нескольких квадратных уравнений, которые могут попасться на ОГЭ. Более подробный разбор алгоритма решения квадратных уравнений можете изучить тут.

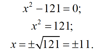
Пример 1. Решите уравнение

В ответ запишите больший из корней.

Решение. Решим уравнение:

-2

Мы получили два решения: –11 и 11. Большим корнем является 11.

Ответ: 11.

Пример 2. Решите уравнение:

-3

В ответ запишите меньший из корней.

Решение. Решим уравнение, разложив на множители:

-4

Далее получаем два линейных уравнения:

1) имеем: x = 0;
2) имеем
x – 3 = 0 или x = 3.

Мы получили два решения: 0 и 3. Меньшим корнем является 0.

Ответ: 0.

Пример 3. Решите уравнение:

-5

В ответ запишите больший из корней.

Решение. Решим уравнение, разложив на множители:

-6

Далее получаем два линейных уравнения:

-7

Мы получили два решения: –0,25 и 0. Большим корнем является 0.

Ответ: 0.

Пример 4.Решите уравнение:

-8

В ответ запишите больший из корней.

Решение. Решим уравнение, вычислив дискриминант. Имеем:

-9

Мы получили два решения: 0,5 и 1. Большим корнем является 1.

Ответ: 1.

Пример 5. Решите уравнение:

-10

В ответ запишите меньший из корней.

Решение. Воспользуемся теоремой Виета. Имеем:

-11

Рассмотрим, какие варианты произведения двух решений удовлетворяют теореме Виета:

-12

Из этих четырех вариантов, только решения x1 = –1 и x2 = 6 дадут в сумме 5. Меньшим корнем является –1.

Ответ: –1.

Пример 6. Решите уравнение:

-13

В ответ запишите больший из корней.

Решение. В данном уравнении присутствует обыкновенная дробь. Некоторых такое может ввести в ступор. На самом деле ничего тут трудного нет. Просто надо избавиться от этой дроби от этого знаменателя. Каким образом? В уравнениях мы можем умножать или делить обе части уравнения одновременно на одно и то же число. На какое число надо домножить обе части, чтобы избавиться от тройки в знаменателе. Логично, что надо домножить на 3. Давайте это сделаем:

-14

Мы получили два решения: –9 и 9. Большим корнем является 9.

Ответ: 9.