Найти в Дзене

Основные методы определения удельной поверхности

Самый распространенный в настоящее время, простой в исполнении и точный метод определения удельной поверхности – это волюметрический метод адсорбции газа на поверхности исследуемого материала. Удельная поверхность рассчитывается по объему газа, необходимого для формирования мономолекулярного слоя на поверхности адсорбента. Измерение удельной поверхности происходит следующим образом. Ячейка с образцом постоянно поддерживается при температуре, достаточной для превращения газа-адсорбата в жидкость. В ячейку дозированными порциями подается газ-адсорбат до достижения в ячейке термодинамического равновесия при заданном давлении. В процессе анализа получают частичную или полную изотерму адсорбции, т.е. зависимость объема адсорбата, сорбировавшегося на пробе, от величины давления в ячейке с пробой. Существует довольно большое число уравнений, описывающих изотерму адсорбции, наибольшую применимость получило уравнение БЭТ (Браунер, Эммет, Теллер). Уравнение БЭТ носит линейный характер и может бы

Самый распространенный в настоящее время, простой в исполнении и точный метод определения удельной поверхности – это волюметрический метод адсорбции газа на поверхности исследуемого материала.

Удельная поверхность рассчитывается по объему газа, необходимого для формирования мономолекулярного слоя на поверхности адсорбента.

Измерение удельной поверхности происходит следующим образом. Ячейка с образцом постоянно поддерживается при температуре, достаточной для превращения газа-адсорбата в жидкость. В ячейку дозированными порциями подается газ-адсорбат до достижения в ячейке термодинамического равновесия при заданном давлении. В процессе анализа получают частичную или полную изотерму адсорбции, т.е. зависимость объема адсорбата, сорбировавшегося на пробе, от величины давления в ячейке с пробой.

Существует довольно большое число уравнений, описывающих изотерму адсорбции, наибольшую применимость получило уравнение БЭТ (Браунер, Эммет, Теллер).

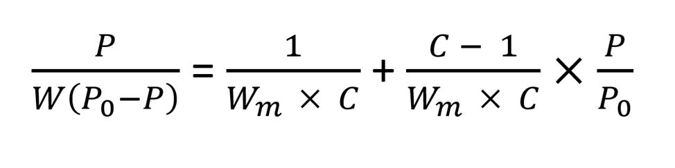
Уравнение БЭТ, где P – равновесное давление адсорбата, P0 – давление его насыщенных паров, Wm - масса газа, адсорбированного при относительном давлении Р/Р0, W – вес адсорбированного вещества, образующего монослой, С – константа ВЕТ, относящаяся к энергии адсорбции в первом монослое и, следовательно, ее значение характеризует взаимодействие адсорбент/адсорбат.
Уравнение БЭТ, где P – равновесное давление адсорбата, P0 – давление его насыщенных паров, Wm - масса газа, адсорбированного при относительном давлении Р/Р0, W – вес адсорбированного вещества, образующего монослой, С – константа ВЕТ, относящаяся к энергии адсорбции в первом монослое и, следовательно, ее значение характеризует взаимодействие адсорбент/адсорбат.

Уравнение БЭТ носит линейный характер и может быть использовано, если экспериментальная зависимость 1/W[(P0/P)-1] от P/P0 также линейна. Для большинства мезопористых материалов линейный характер зависимости наблюдается на небольшом участке изотермы адсорбции, обычно в пределах от 0.05 до 0.35 по шкале относительного давления P/P0.

График уравнения БЭТ
График уравнения БЭТ

Автоматические анализаторы удельной поверхности QUICK 200 и TOP 200 производства Altamira Instruments позволяют быстро и точно определять удельную поверхность материалов, а также общий объем и распределение пор по размерам.

Анализаторы QUICK 200 имеют четыре или восемь измерительных станций для высокопроизводительного анализа и предназначены для исследования мезо- и макропористых материалов.

Анализаторы TOP 200 оснащены датчиками давления, позволяющими работать также и с микропористыми материалами. Каждая измерительная станция анализаторов оснащена собственным дьюаром, ячейкой для измерения P0, набором датчиков давления в диапазонах 0-1, 0-10, 0-1000 торр, а также собственным форвакуумным насосом и коллектором. Работа каждой станции полностью автономна, что позволяет проводить анализ быстрее, т.к. дозирование и установление равновесия по давлению будет протекать на каждой станции в своем режиме, нет необходимости делить коллектор и датчики давления между станциями. Также, благодаря этому, возможен анализ с различными адсорбатами на каждой из станций одновременно.

В комплект поставки включен программируемый дегазатор Prep J4 на 4 порта для пробоподготовки, с возможностью задания нескольких этапов нагрева и индивидуальной температуры для каждого образца. Температура, время и количество этапов могут варьироваться для различных материалов.

Анализаторы QUICK 200 и TOP 200 решают задачу определения удельной поверхности и размеров пор для практически любых типов материалов.

Оборудование Altamira Instruments для исследования порошков и пористых структур.
Оборудование Altamira Instruments для исследования порошков и пористых структур.

Существуют и другие методы определения удельной поверхности материалов, но они в настоящее время уже малоупотребимы:

  • Метод определения удельной поверхности на основе воздухопроницаемости материала. Известно, что с уменьшением размеров частиц дробленого материала сужаются просветы между ними. Поэтому воздух просасывается тем труднее, чем мельче порошок. Козени предложил уравнение ламинарного протекания жидкости или воздуха через исследуемый пористый слой материала, в котором выразил скорость протекания как функцию удельной поверхности. Это уравнение рассматривает зернистый слой как ряд одинаковых по размерам канальцев, сумма объема которых равна объему пустот между зернами, а общая их внутренняя поверхность равна сумме поверхности зерен.
  • Метод определения удельной поверхности материала по покрытию материала масляной пленкой (П. Крамер). Поверхность дробленого материала определяется путем расчета количества масла, покрывающего исследуемый материал сплошной пленкой. Высушенный очищенный материал с определенной гранулометрией помещают в мешочек и заливают машинным маслом. Через некоторое время пробу центрифугируют, в результате чего избыток масла вытекает из мешочка. После окончания центрифугирования на дне мешочка остается материал, покрытый масляной пленкой. Затем взвешивают мешочки вместе с содержимым. По разнице весов до и после центрифугирования вычисляют количество масла, оставшегося на поверхности зерен. Такой метод пригоден только для крупнодисперсных материалов.
  • Метод Гаркинса–Юра заключается в том, что адсорбент, предварительно насыщенный парами адсорбата, погружают в жидкий адсорбат в калориметре и по теплоте ΔQ (Дж/г), выделившейся вследствие исчезновения границы жидкость-газ, рассчитывают удельную поверхность адсорбента.

Если Ваша лаборатория заинтересована в приобретении анализатора удельной поверхности и размеров пор, мы будем рады помочь с выбором необходимой комплектации, а также всегда готовы провести демонстрацию и сделать тестовый анализ Ваших образцов для того, чтобы Вы лично смогли убедиться в возможностях прибора.

info@lab-test.ru
www.lab-test.ru
+7 (495) 256-24-84