Добавить в корзинуПозвонить
Найти в Дзене

Псевдонаучные мифы вокруг специальной относительности. Масса тахиона мнима.

Данная статья опубликована также в моем препринте «Pseudoscientific myths around special relativity. Tachyon mass is imaginary» от января 2025 г., опубликованном на сайте научно-исследовательского портала ResearchGate.net (ищите статью по DOI: 10.13140/RG.2.2.24953.79205 , прямая ссылка: http://dx.doi.org/10.13140/RG.2.2.24953.79205, или https://www.researchgate.net/publication/387658773_Pseudoscientific_myths_around_special_relativity_Tachyon_mass_is_imaginary/stats . Там есть и текст на русском языке, см. файл SRT_Tachyon_mass_imaginary_ru, формат .pdf). Сразу же даю ответ. Если совсем коротко : НЕ МНИМА, она вещественна. Представление о том, что масса тахионов, частиц, перемещающихся быстрее скорости света, является мнимой, появилось и укрепилось в физике после пионерских работ Я. П. Терлецкого, Биланюка (Bilaniuk О.М.Р.), Дешпанде (Deshpande V.K.), Сударшана (Sudarshan Е.С.G), Фейнберга (Feinberg G.). Советский физик Терлецкий Я.П. в 1960 г. в работе {1} дает идею сверхсветовой час

Данная статья опубликована также в моем препринте «Pseudoscientific myths around special relativity. Tachyon mass is imaginary» от января 2025 г., опубликованном на сайте научно-исследовательского портала ResearchGate.net (ищите статью по DOI: 10.13140/RG.2.2.24953.79205 , прямая ссылка:

http://dx.doi.org/10.13140/RG.2.2.24953.79205, или https://www.researchgate.net/publication/387658773_Pseudoscientific_myths_around_special_relativity_Tachyon_mass_is_imaginary/stats . Там есть и текст на русском языке, см. файл SRT_Tachyon_mass_imaginary_ru, формат .pdf).

Сразу же даю ответ. Если совсем коротко : НЕ МНИМА, она вещественна.

Представление о том, что масса тахионов, частиц, перемещающихся быстрее скорости света, является мнимой, появилось и укрепилось в физике после пионерских работ Я. П. Терлецкого, Биланюка (Bilaniuk О.М.Р.), Дешпанде (Deshpande V.K.), Сударшана (Sudarshan Е.С.G), Фейнберга (Feinberg G.).

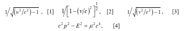
Советский физик Терлецкий Я.П. в 1960 г. в работе {1} дает идею сверхсветовой частицы с мнимой массой покоя, что позволяет, пожалуй, единственным на то время способом, легитимизировать в физике сверхсветовое движение материи как таковое. В последующих работах {2} и {3} введение в теорию сверхсветовой частицы с мнимой массой покоя автор уже обосновывает. При этом автор получает сверхсветовой лоренц-фактор вида [1], при котором, вкупе с мнимой массой покоя частицы, ее движение получается вещественным, что трактуется как реальность таких частиц.

Физики Bilaniuk О.М.Р., Deshpande V.K., Sudarshan Е.С.G. в широко известной работе {4} 1962 г. также приходят к выводу о мнимости массы сверхсветовой частицы, однако при этом они продолжают использовать в уравнениях для релятивистской полной энергии и импульса такой частицы субсветовой лоренц-фактор вида [2], что не соответствует сверхсветовому лоренц-фактору вида [1] у Терлецкого Я.П., а потому приводимые ими уравнения является физически несостоятельными для сверхсветовой частицы.

Несколько позднее Bilaniuk О.М.Р., Sudarshan Е.С.G. в работе {3} 1969 года приходят к выводу, что «теория Эйнштейна никоим образом не исключает существования сверхсветовых частиц. Напротив, именно его теория и наводит на мысль о возможности существования подобных частиц». Однако, тут же авторы приходят к ложному выводу о том, что масса сверхсветовых частиц должна быть мнимой. Почему этот их вывод является ложным, поясним позднее.

Американский физик Фейнберг (Feinberg G.) в работе {6} 1967 г., следуя Терлецкому Я.П., также вводит мнимую массу для сверхсветовых частиц, которые он впервые в физике называет тахионами, получает сверхсветовой лоренц-фактор вида [3] и правильное основное уравнение релятивистской динамики в случае сверхсветового движения в виде [4].

Таким образом, отцами мнимой массы тахиона являются вышеназванные физики, сам же термин тахион придумал и внедрил Фейнберг (Feinberg G.).

I. Терлецкий Я. П. о мнимой массе тахиона.

Зачем им всем понадобилась мнимая масса тахиона? Обратимся к первооткрывателю, Я. П. Терлецкому и его работам. Уже в начале 1960 года Терлецкий Я.П. понимал, что введение в теорию мнимой массы частицы, движущейся со сверхсветовой скоростью, позволяет легитимизировать в физике сверхсветовое движение как таковое. Поэтому представляется, что в этом вопросе приоритет безусловно за ним.

Первоначально в работе {1} Терлецкий вводит мнимую массу тахиона из тех соображений, что с точки зрения макроскопической термодинамики любые «антисигналы» запрещены вторым началом, так как это могло бы быть использовано для создания вечного двигателя второго рода. Заметим, что «антисигналом» в этой работе он называет сверхсветовой сигнал, имеющий отрицательный ход времени. В работе Терлецкий показывает, что запрета макроскопической термодинамики можно избежать, если для такой частицы - «антисигнала» ввести мнимую массу.

Терлецкий: «Итак, «сигналы», распространяющиеся со скоростью, большей скорости света, запрещаются макроскопической термодинамикой, так же как они запрещаются «принципом причинности». … Следовательно, частицы, движущиеся со скоростью, большей скорости света или, иначе, частицы с мнимой собственной массой не запрещаются категорически как якобы физически нереальные».

Вот, собственно говоря, и вся причина, по крайней мере в этой работе, введения мнимой массы тахиона. Однако в этом деле есть одна тонкость, Терлецким неучтенная. Сверхсветовые «антисигналы» с отрицательным ходом времени, вообще говоря, разрешены эйнштейновой трактовкой специальной теории относительности. Именно поэтому у А. Эйнштейна и его последователей, возникают временные парадоксы, нарушающие причинность.

Однако, ни сам А. Эйнштейн, ни его последователи не учли того непреложного факта, что в специальной теории относительности возможны сверхсветовые сигналы двух типов: с нормальным прямым ходом времени и потому не нарушающие причинную связь и с выдуманным обратным ходом времени и потому нарушающие причинную связь. А. Эйнштейн в работах {7}, {8} от 1907 и 1910 годов исследовал только сверхсветовые сигналы с обратным ходом времени и забыл исследовать (упустил?) сверхсветовые сигналы с нормальным прямым ходом времени (см. мою работу {9} и книгу {10}).

При этом, чтобы избежать в специальной теории относительности А. Эйнштейна причинных парадоксов достаточно ввести в аксиоматику этой теории постулат времени (постулат объективности, однородности, однонаправленности и необратимости времени). Это сразу же отсекает сверхсветовые движения с обратным ходом времени как физически недопустимые (и в самом деле, кто, где и когда наблюдал хотя бы один «антисигнал» с обратным ходом времени?). Тогда остаются только сверхсветовые сигналы с нормальным прямым ходом времени, не нарушающие причинную связь и потому не запрещаемые вторым началом термодинамики. Тогда эта причина введения Терлецким мнимой массы тахиона отпадает вовсе.

Но далее, уже в 1962 году Я.П. Терлецкuй находит другую причину для введения мнимой массы тахиона. Например, при преподавании специальной теории относительности в Московском госуниверситете он заявлял {2}, {3} , что

«С четырехмерной точки зрения сверхсветовые скорости описываются четырехмерным вектором, компоненты которого должны быть мнимыми величинами, поскольку при u > c

ds^2 < 0, (19.1)»,

и вместо выражения (14.14) для обычной четырехмерной скорости, меньшей скорости света

-2

для возможных скоростей физических процессов, превышающих скорость света, он записывал следующее выражение (19.2) для четырехмерных компонент сверхсветовой скорости движения

-3

где вектор u и выражение [5] - действительные величины.

Ясно, что выражение [6], указанное автором в уравнении (19.2), есть релятивистский множитель (радикал), взятый им в иной форме для движений со сверхсветовой скоростью, и понятно, что автор его получил, просто умножив и разделив на мнимую единицу [7] релятивистский радикал [8] для до световых движений, и внеся последнюю в знаменателе под знак корня.

-4

Понятно и то, что введению соотношения (19.1) соответствует пространственно-временной интервал в форме (II), а именно интервал вида (*), что автор и отразил в своей лекции в формуле (10.2), которую мы здесь не приводим. По формам (I) и (II), пространственно-временного интервала смотрите мои работы {11}, {12}.
Примечательно, что автор тут же ниже замечает:
«
Итак, даже с формально кинематической точки зрения сверхсветовые и до световые скорости качественно различны и не могут быть превращены одна в другую посредством преобразований Лоренца».
Мы же теперь исследуем формулу для релятивистского интервала формы (II) следующим образом:

-5

При u > c из формулы (*) сразу же следует, что в таком случае имеем выражение [9] и потому этот интервал есть мнимая величина [10]. Тогда формула (**) для этого случая будет записана в виде

-6

что соответствует мнимости и в правой части уравнения при v > c.

Откуда получаем уравнение [12].

Здесь, если мы берем у радикала знак минус, то сразу же приходим к нашей форме [13] релятивистского радикала, который используется в вещественных сверхсветовых минус-преобразованиях. Причем эта наша форма вполне может быть переведена алгебраическими преобразованиями в форму [14] автора, Я.П. Терлецкого. Далее, если мы берем у радикала знак плюс, то приходим к форме [15] релятивистского радикала, которая обратно также вполне может быть переведена алгебраическими преобразованиями в указанную нашу форму. Таким образом, введенная автором форма [14] релятивистского радикала вполне соответствует принятой автором же форме (II) релятивистского интервала.

-7

Подтвердим этот наш вывод простыми преобразованиями форм (взяты в рамки) релятивистского радикала друг в друга:

-8

Поскольку автор, Я.П. Терлецкuй, всеми признается одним из основоположников теории тахионов, то посмотрим, что он пишет дальше по данному вопросу:

«В силу того, что согласно (15.13) и (15.17) для любых частиц

-9

то есть, собственная масса мнимая.

Мы пришли к заключению, что физически допустимо существование частиц с мнимой собственной массой, движущихся со скоростью, большей скорости света».
Оба уравнения (23.7) автора есть известные уравнения релятивистской динамики.

-10

И именно вследствие этого в СТО собственная масса есть релятивистский инвариант.

-11

А это не так. Что мы и показали нашим расчетом в разделах 2.2 и 2.3 работ {13}, {14}.

Но автор, кажется, этого не видит или не знает, ибо, очевидно, что, с одной стороны, никаких расчетов, подтверждающих инвариантность массы, он не проводит, а с другой стороны, автор выше в лекции говорит об изменяемой релятивистской массе. Это и предопределяет его неверный вывод о мнимости массы при u > c.

На самом деле подход ко второму уравнению (23.7) с массой M может и должен быть другой. Должен быть, потому что если мы исходим из доказанной в СТО лоренц-инвариантности массы, то подход Терлецкого в силу причин, показанных нами выше, просто неверен. А какой должен быть другой подход?

Если мы видим, что при u > c квадрат массы должен быть отрицательным, то мы уравнение (23.7) записываем в виде[16], откуда сразу же следует уравнение (***)

-12

Квадрат массы перестает быть отрицательным и потому о мнимости массы больше не может быть и речи. В правой части уравнения при этом переставляются местами член ε²/c² и квадрат вектора P, но так и должно быть для случая сверхсветовых скоростей u > c. Заметим в заключение, что уравнение (***) точно соответствует пространственно-временному интервалу в форме (I), а именно интервалу вида [17].

Отличие этого интервала от интервала (*), показанного выше, видно невооруженным глазом.

Как бы то ни было, но это неверное представление (миф) о мнимости массы при сверхсветовой скорости движения с легкой руки Терлецкого укоренилось в физике, и тахионам, как сверхсветовым частицам, стали безосновательно и неверно приписывать мнимую массу.

II. Bilaniuk О.М.Р., Deshpande V.K., Sudarshan Е.С.G., Feinberg G. о мнимой массе тахиона.

II.1. О работе «”Meta” Relativity».

Исторически первой работой Биланюка (Bilaniuk О.М.Р.), Дешпанде (Deshpande V.K.), и Сударшана (Sudarshan Е.С.G.) по вопросу мнимой массы тахиона была работа {4} от 1962 года. Сразу же отметим, что данная работа {4} авторов была представлена для публикации в редакцию журнала 21 мая 1962 г. и была опубликована в октябре того же года, тогда как конспект лекций {2} спецкурса Терлецкого Я.П. «Парадоксы теории относительности» был подписан к печати в ЛФОП физического факультета МГУ 26 июня 1962 года, причем очевидно, что данный курс читался автором в стенах МГУ явно уже до указанной даты подписания его к печати. Поэтому приоритет в изучении ряда вопросов, относящихся к теории сверхсветового движения, следует отдавать Я.П. Терлецкому.

Авторы сразу же предлагают три класса частиц:
«
Класс I включает все частицы, которые перемещаются со скоростями, меньшими, чем скорость света. Класс II составлен из частиц, которые могут существовать, только перемещаясь со скоростью света. Третий класс тогда включил бы гипотетические частицы, которые родились со сверхсветовой скоростью».
И отмечают, что

«Четырех-векторы энергии-импульса, связанные с первыми двумя классами, удовлетворяют инвариантному соотношению
E² - p² c² = m₀² c⁴ (1) ».
Что, безусловно верно. Далее авторы полагают для соотношения (1), что для частиц III класса, сверхсветовых, имеет место соотношение [17].

То есть, уравнение (1) для сверхсветовых частиц записывается в виде (^)

-13

Это также правильно, такую форму записи уравнения (1) для сверхсветового движения подтверждают все исследователи этого предполагаемого явления. Но из последнего уравнения авторы, также как и Я. П. Терлецкий выше, делают неверный вывод о том, что тогда квадрат массы [18] сверхсветовой частицы отрицательный. Но такое возможно только в том случае, если сама масса m₀ будет мнимой, ибо из [18] следует [19]. Итак, и здесь авторы априорно предполагают для сверхсветовой движущейся частицы, что квадрат ее массы отрицателен. Отсюда и вырастают корни мнимой массы у тахиона.
Выше, обсуждая работы Я.П. Терлецкого, мы показали, что ошибочное предположение о существовании для сверхсветовой частицы мнимой массы противоречит инвариантности массы для любой частицы. То есть, если масса движущейся частицы инвариантна (неизменна), то она принципиально не может быть при субсветовых скоростях
v < c ,быть вещественной, а при сверхсветовых скоростях v > c, вдруг становиться мнимой. Ибо переход от вещественности к мнимости массы как раз и подразумевает ее изменение. Которого в силу лоренц-инвариантности массы, у нее быть не может.
Поэтому предположение авторов о том, что знак минус относится к квадрату массы не может быть правильным. В этом и заключается ошибка авторов, повторивших ошибку Терлецкого. Тогда остается только одна возможность, а именно, что знак минус не принадлежит к квадрату массы m₀, и тогда правильное приведенное ими уравнение (^) может быть перезаписано в другой форме, а именно в форме (^^)

-14

В этом уравнении, как мы видим, никакой речи об отрицательности квадрата массы уже быть не может. Это значит, что и мнимой массы сверхсветовой частицы здесь уже нет. Здесь мы получаем обычную вещественную массу для сверхсветовой частицы – тахиона.
Далее авторы, предполагая, что при
v > c радикал [20] становится мнимым, имеют в виду, что этот радикал теперь должен быть записан с мнимой единицей в форме [21]. И так как выше они уже приняли, что масса тахиона мнима, то есть она выражается как im₀, то тогда, например, известное уравнение для полной релятивистской энергии будет в случае v > c выглядеть как уравнение [22].
Откуда после сокращения мнимых единиц авторы получают свое уравнение (2) для энергии, и аналогично из тех же соображений и уравнение (3) для импульса.

-15

Эти уравнения точно соответствуют известным уравнениям для энергии и импульса в случае v < c, с одной привнесенной авторами оговоркой – масса тахиона мнима!

Но на самом деле эти уравнения, приводимые авторами работы {4}, при использовании в них вида релятивистского радикала [20], который получается в них при внедрении в эти уравнения мнимой массы, не могут иметь место в физической реальности. Потому что радикал [20] есть радикал, получаемый именно для субсветового движения, а не для сверхсветового! Так произошло потому, что авторами была допущена пустяшная ошибка. А именно, если вы полагаете, что при v > c радикал [20] становится мнимым, то вы обязаны были записать эту его мнимость в виде [23], а не так, как это сделали авторы данной работы. Тогда итоговые уравнения для энергии и импульса запишутся в виде

-16

а не в той форме, как у авторов.

Но уравнения (2ʹ) и (3ʹ) точно соответствуют использованию при построении СТО пространственно-временного интервала в форме (I). И относятся эти уравнения как раз для описания энергии и импульса именно при сверхсветовом движении, когда v > c. Но при этом ни о какой мнимой массы тахиона и речи не идет. Потому что при интервале в форме (I) уравнения (2ʹ) и (3ʹ) для v > c получаются при вещественной массе тахиона!

Таким образом, благая, казалось бы, цель иметь при сверхсветовом движении вещественные энергию и импульс, для чего, собственно, и вводится в эти уравнения мнимая масса, приводит к вещественным (цель достигнута!), но неправильным уравнениям.

Итак, в работе {4} авторы для случая v > c после введения мнимой массы тахиона получают уравнения (2) и (3) для релятивистских полной энергии и импульса, которые имеют такой вид релятивистского радикала, который не может иметь место в специальной теории относительности, поскольку в случае v > c он не соответствует ни пространственно-временному интервалу формы (I), ни пространственно-временному интервалу формы (II). Но оба эти пространственно-временных интервалов составляют сердцевину специальной теории относительности, а в теории авторов благодаря уравнениям (2) и (3), принятым для случая v > c, их нет. На этом обсуждение нами работы {4} авторов можно заканчивать.

II.2. О работе «On the Possibility of Faster-Than-Light Particles».

Сразу же отметим, что именно Дж. Фейнберг (Feinberg G.) ввел в обиход в науку термин тахион и именно в этой работе {6}.

Автор рассматривает обычные всем известные выражения для энергии и импульса релятивистской частицы

-17

и замечает, что

-18

Здесь мы должны сделать замечания.

Первое. Выше, в замечаниях к работам Я.П. Терлецкого, мы показали, что введение им мнимой массы для частиц, движущихся со сверхсветовой скоростью, основано на неверной предпосылке, что масса изменяется с изменением скорости движения (была вещественной, стала мнимой), в то время как в действительности масса является релятивистским инвариантом, и потому изменяться не может, в том числе и таким образом.
Второе. Ошибочное, с точки зрения инвариантности массы, введение в уравнения мнимой массы приводит к появлению в уравнениях релятивистского радикала вида [24] (см. ниже), который, вообще говоря, есть сверхсветовой вещественный релятивистский лоренц-фактор для интервала формы (I). То есть, введение мнимой массы свелось в итоге к переходу теории к интервалу этого вида. Но работа с интервалом указанного вида показывает, что изначально при нем для случая v > c как релятивистский лоренц-фактор, так и преобразования координат пространства и времени являются вещественными. И при этом никакой мнимой массы для этого не требуется по определению. Стало быть, и ее ведение автором, равно как и другими авторами, является просто избыточным, а потому и не нужным.

Третье. Для получения автором основного уравнения релятивистской динамики в виде [25] для сверхсветового движения также мнимая масса не требуется. Ибо, если изначально мы имеем в случае субсветового движения запись этого уравнения в виде [26], где масса μ, как и положено, изначально вещественна, то для сверхсветового движения это уравнение просто перезаписывается, на что указывают единогласно все авторы, в виде [25]. То есть, в виде, указанном автором, но без всяких фокусов с мнимой массой. Это мы уже дважды показали выше.

-19

Итак, Дж. Фейнберг обосновывает введение мнимой массы тахиона на тех же основаниях, которые мы уже разобрали выше. Ничего нового в этом смысле у него нет.

II.3. О работе «Particles Beyond the Light Barrier».

В последующей работе {5} от 1969 года О.М.Р. Bilaniuk и Е.С.G.Sudarshan вводят в теорию мнимую массу тахиона следующим образом:
«
В течение многих десятилетий преобладало представление о том, что ни одна частица не может двигаться со скоростью, большей скорости света в вакууме с = 3 • 108 м/сек. Принято считать, что это ограничение является прямым следствием специальной теории, относительности. Сам Альберт Эйнштейн указал на это в своей статье по теории относительности.
Некоторое время тому назад мы пересмотрели эту точку зрения и пришли к заключению, что теория Эйнштейна никоим образом не исключает существования сверхсветовых частиц. Напротив, именно его теория и наводит на мысль о возможности существования подобных частиц. Впоследствии к такому же выводу пришли и другие физики, а именно Я. П. Терлецкий и Дж. Фейнберг
».
Далее, рассматривая уравнения (1) и (2):

-20

авторы приходят к выводу, что в случае сверхсветового движения масса покоя должна быть мнимым числом:

-21

Итак, для того, чтобы полная релятивистская энергия E тахиона была бы вещественной величиной, авторы объявляют массу покоя тахиона мнимой и называют ее мета-массой. С точки зрения одной только математики это разумный подход, но с точки зрения физики никакой разумности в этом нет. Почему нет, поясняется ниже.

Авторы, далее:

«Поскольку мнимой величине нельзя приписать физического смысла, скептики могут отвергнуть понятие мни¬мой массы. Не следует быть столь поспешным. … Масса покоя сверхсветовых частиц является ненаблюдаемой величиной; это параметр, лишенный какого-либо непосредственного физического значения. Поэтому масса покоя вполне может быть мнимой величиной. … Вещественными должны остаться энергия и масса (&) частицы, поскольку они могут быть наблюдаемыми. Обе эти величины будут вещественными, если мы допустим, что масса покоя является мнимым параметром».

Примечание: масса в тексте авторов, которую мы обозначили значком (&), является у них релятивистской массой, в отличие от массы покоя.

Здесь есть несколько примечательных моментов. Первый. Мнимая величина физически бессмысленна, она не имеет физического значения (a). Второй. Масса покоя движущейся частицы не наблюдаема. Третье. Поэтому она может быть мнимой величиной. Четвертое. Только вещественные величины наблюдаемы (b). Это – мнение авторов. Но оно в части утверждений (a) и (b) ошибочно.
Отметим, что если не вводить мнимую массу тахиона, то да, авторы правы, уравнения (1) и (2) действительно будут содержать мнимые формы физических величин (массы, энергии и не упомянутого здесь импульса). Но происходит это лишь потому, что эти уравнения принадлежат СТО, построенной с применением интервала вида (II).
Постройте СТО с применением интервала вида (I), и все эти величины будут у вас вещественны при
v >c.

Об этом же говорит наше исследование двух форм релятивистских интервалов (работы {12},{15}), которое показывает, что все эти утверждения не верны в силу своей категоричности. Например, в случае применения для построения СТО интервала вида (I) все физические параметры движущегося тела нашего вполне реального и вещественного субсветового мира выражаются только мнимыми величинами, но при этом они прекрасно нами наблюдаемы. И в силу этой своей наблюдаемости все они имеют ясный физический смысл. Несмотря на то, что мнимы. И в случае этого же интервала масса уже сверхсветовой частицы вовсе не мнима, а априорно вещественна. То есть, используя интервал вида (I), мы вполне можем создать такое описание сверхсветового мира и тахиона в нем, при котором его масса изначально вещественна и потому вводить излишнюю математическую сущность, каковой является мнимая мета-масса авторов, нет никакого смысла. Изменяйте описание сверхсветового мира с интервала вида (II) на интервал вида (I), и вы получаете не только действительную (вещественную) массу тахиона, но и его вещественные релятивистские полную энергию и импульс. Итак, сверхсветовой мир, который все привыкли считать мнимым, может быть столь же вещественным и реальным, как и наш мир до световых движений. Все зависит от способа описания этого мира.

Неожиданно, не правда ли? И, тем не менее, наши выводы вполне себе адекватны физической реальности, ибо, во-первых, формы вида (I), и вида (II), для записи квадрата релятивистского пространственно-временного интервала полностью равнозначны в употреблении для описания физических процессов, и, во-вторых, обе они удовлетворяют принципам относительности и постоянства скорости света в вакууме. Поэтому вы можете строить СТО как на одном, так и на другом интервале, и обе построенные так теории будут равнозначными.
Одновременно этот наш пример с применением интервала вида (I) показывает, что ничего страшного, необъяснимого и из ряда вон выходящего не происходит, если физическая величина описывается мнимым числом. На это указывает мнимость нашего реального и вещественного субсветового мира при его описании с применением интервала вида (I).

Скептикам укажем на два мнения выдающегося известного физика, А. Эддингтона из его работы {16}:

«Связь изготовленных нами физических величин с соотношениями, существующими в мире, может быть выражена так: физические величины являются числовыми мерами этих мировых соотношений».

-22

Иными словами, скажем так: в мире объективно и независимо от нас существуют мировые соотношения. Мы их описываем придуманными нами физическими величинами, которые являются не более чем математическими числовыми мерами этих мировых соотношений.

-23

Это означает, что

-24

III. Основное уравнение релятивистской динамики против мнимой массы тахиона.

Вначале мы отметим, что в итоге весь смысл введения мнимой массы покоя авторами работы {5} сводится в конце концов к тому, чтобы, по существу, переставить местами алгебраические слагаемые под знаком релятивистского радикала. Все это равносильно тому, как если бы мы вначале приняли, что масса покоя равна im⁎, а затем в итоге записали бы ее через модуль m₀ =|im⁎| = m⁎, то есть, без мнимой единицы, и при этом просто переставили бы местами под знаком корня величины 1 и (v/c)². Иначе, просто поменяли бы местами эти слагаемые, не вводя никакой мнимости.

Попутно заметим, что в дальнейшем в этой же работе именно через модуль массы |m₀| авторы и записывают свои выражения E/|m₀|c² и pₓ/|m₀|c, служащие им для построения графиков гипербол, изображающих зависимость энергии от импульса pₓ.

А сейчас мы проиллюстрируем это наше последнее замечание некоторыми физико-математическими выкладками.

-25

То есть, выражение в правой части уравнения (#) в преобразованном основном уравнении релятивистской динамики (**) исполняет роль релятивистского множителя 1/√(1 - v²/c²) (лоренц-фактора), обычного для до световой области движений.
Второе. Рассмотрим теперь основное уравнение релятивистской динамики в форме [27], которая отличается от предыдущей только наличием знака минус в правой части у члена, содержащего массу. Перепишем это уравнение несколько в иной форме [28].
И далее проведем точно такие же выкладки [29], как и выше, откуда получаем уравнение [30].

-26

Мы видим, что в этой последней формуле члены подкоренного выражения поменяли свои знаки в сравнении с предыдущим подобным выражением для случая v < c.

-27

Из уравнения (##) мы заключаем, что выражение, стоящее в правой части этого уравнения, будет вещественным только в случае, когда (v²/c²) > 1, то есть, когда v/c > 1.
И тогда это означает, что, во-первых, в уравнении (##) указанное выражение в измененном основном уравнении релятивистской динамики исполняет роль релятивистского множителя 1/√( v²/c² -1) для сверхсветовой области движений.
Во-вторых, что полученное нами во втором случае выражение (*) для энергии вполне заменяемо на выражение [31]

-28

И, в-третьих, что измененное нами основное уравнение релятивистской динамики работает в сверхсветовой области движений.
Таким образом, в-четвертых, основное уравнение релятивистской динамики естественным образом обобщается и на сверхсветовую область движений и должно записываться теперь как уравнение [32],
где знак плюс соответствует до световой области движений со скоростью
v < c,
а знак минус соответствует сверхсветовой области движений со скоростью
v > c.
И, наконец, в-пятых:
для получения этого результата мы никоим образом не использовали понятия мнимой массы тела (частицы) для сверхсветовой области движения.
Итак,
нет никакого смысла делать массу покоя тахиона мнимой. Просто в случае описания движения со сверхсветовой скоростью либо переходите к расчетам с использованием интервала вида (I), а не интервала вида (II), либо используйте измененное основное уравнение релятивистской динамики со знаком минус в правой его части, и вам не понадобится бессмысленное введение мнимой массы.
Бессмысленное, потому что любое введение в теорию излишней сущности, в данном случае мнимой массы, не помогает осмыслению и правильному пониманию результата, а лишь осложняет это осмысление и правильное понимание. Плюс ведет к необоснованным околонаучным фантазиям, которые могут негативно влиять, например, на методику экспериментального поиска тех же самых тахионов.
Или же, используя интервал вида (II) и в сверхсветовой области движений, признайте, что мнимые величины столь же наблюдаемы, как и вещественные, и что знак мнимой единицы есть всего лишь один из математических символов нашего описания реальности, не влияющий на сами физические процессы, происходящие в этой реальности (см. в работе {16} замечание А. Эддингтона по этому поводу). Тогда смело используйте сверхсветовые преобразования в их мнимой форме.

IV. Основное уравнение релятивистской динамики исключает мнимую массу тахиона.

Покажем, что основное уравнение релятивистской динамики исключает мнимую массу тахиона ввиду неизменности (лоренц-инвариантности) массы релятивистски движущихся материальных объектов. Здесь мы используем наши результаты, полученные в работе {17} и монографии {12}.
За основу рассуждений снова берем известные релятивистские уравнения

-29

где p и ε есть релятивистские полные импульс и энергия движущегося материального объекта, с - скорость света, и уравнения

-30

где γ есть известный релятивистский множитель γ = 1/√(1 - v²/c²), с - скорость движения материального объекта.

Тогда, если мы полагаем, что скорость движения материального объекта превышает скорость света, то есть, если v > c, то уравнения [2.2] можно переписать в следующем виде:
для энергии:

-31

и для импульса:

-32

где выражение [32] есть релятивистский множитель (радикал) при v > c, i есть мнимая единица.

-33

Поясним: здесь мы просто вынесли минус единицу за знак релятивистского радикала. Таким образом, здесь мы использовали полученные нами же сверхсветовые минус-преобразования, содержащие релятивистский радикал в форме [33]. Попутно заметим, что тогда обычный релятивистский множитель для условия v < c можно было бы обозначать как γ‹.
Определим теперь, чему равна правая часть уравнения [2.1] при указанном условии:

-34

Итак, мы получили, что правая часть уравнения [2.1] при условии v > c равна m²c⁴. Этой же величине равна и левая часть этого уравнения. Тогда, учитывая, что скорость света c = const, мы немедленно получаем, что и масса m постоянна. Что и означает ее лоренц - инвариантность и при v > c.

Итак, независимо от того, с какой скоростью движется материальный объект, с досветовой скоростью v < c, или же со сверхсветовой скоростью v > c, его масса как была, так и остается равной массе покоя m. В связи с темой этой статьи особо отметим, что масса движущегося материального объекта как была вещественной при субсветовой скорости v < c, так и осталась вещественной и при сверхсветовой скорости v > c.

То есть, никакого перехода от вещественной массы к мнимой для сверхсветовых объектов (тахионов!) не наблюдается в принципе.

Попутно заметим, что мы получили бы точно такой же результат, если бы вместо сверхсветовых минус-преобразований, содержащих релятивистский радикал в мнимой форме [33], мы бы использовали наши сверхсветовые вещественные минус-преобразования, содержащие релятивистский радикал в вещественной форме ₋1/√(v²/c² ₋1).
Желающие убедиться в этом могут сделать это самостоятельно.

Заключение.

В этой статье мы показали, что в теории специальной относительности отсутствуют какие-либо объективные основания для введения мнимой массы тахионов.
Во-первых, макроскопическая термодинамика не требует введения мнимой массы тахионов для сверхсветовых сигналов, не нарушающих причинную связь.
Во-вторых, введение мнимой массы тахионов искусственно придумано только лишь для того, чтобы релятивистские полная энергия и импульс были бы вещественными. Но этот же результат совершенно спокойно достигается использованием пространственно-временного интервала вида (I) вместо (II). Без какого-то ни было выдумывания гипотез мнимой массы.
В-третьих, ввиду доказанной в СТО лоренц-инвариантности массы, что означает ее неизменность с изменением скорости, масса не может иметь при одной скорости движения вещественный вид, а при другой – мнимый.
В-четвертых, всем известное основное уравнение релятивисткой динамики математически точно подтверждает наш вывод, сделанный в предыдущем пункте.
В-пятых, как релятивистская полная энергия, так и релятивистский импульс, да и вообще любой физический параметр движущегося объекта, вполне могут описываться с использованием математического инструмента, - мнимой единицей, - без какого бы то ни было ущерба для его физической реальности.

Итак, мнимая масса тахиона, это очередной околонаучный миф, созданный в специальной теории относительности, ввиду недостаточного ее изучения и понимания на определенном этапе существования и развития этой теории.
Прощай, мнимая масса тахиона!


Литература.

{1} Терлецкий Я.П., «Принцип причинности и второе начало термодинамики», Доклады Академии Наук СССР, 1960, т. 133, № 2, стр. 329 - 332.

{2} Терлецкuй Я.П., «Парадоксы теории относительности (конспект лекций спецкурса)», МГУ им. М.В. Ломоносова, Москва, 1962 г.

{3} Терлецкuй Я.П., «Парадоксы теории относительности», издательство «Наука», Москва, 1966 г.

{4} Bilaniuk О.М.Р., Deshpande V.K., Sudarshan Е.С.G., «”Meta” Relativity», Amer.J. Phys., 1962, vol. 30, No 10, pp.718-723.

{5} Bilaniuk, О.М.Р., Sudarshan, Е.С.G., « Particles Beyond the Light Barrier», Physics Today, May 1969, vol.22, No 5, p.43-51, 9 pp; русский перевод «Частицы за световым барьером» в сборнике "Эйнштейновский сборник 1973», АН СССР, отделение ядерной физики, издательсво «Наука», Москва, 1974 г.

{6} Feinberg G., «On the Possibility of Faster-Than-Light Particles», Phys. Rev. (Physal Review), Volume 159, Issue 5, 25 July 1967, p. 1089 - 1105, 17 pp; есть русский перевод « О возможности существования частиц, движущихся быстрее света» в сборнике "Эйнштейновский сборник 1973», АН СССР, отделение ядерной физики, издательство «Наука», Москва, 1974 г.; см. также: Фейнберг Дж. «Частицы, которые движутся быстрее света», "Природа", 1971, N 1, стр. 72 - 79, перевод Л.З.Понизовского; и Фейнберг Дж. «Частицы, движущиеся быстрее света», сборник "Над чем думают физики", выпуск 9: "Элементарные частицы", Суханов А.Д. (ред.), издательство "Наука", Москва, 1973, стр. 90 - 104.

{7} Einstein, A., Über die vom Relativitätsprinzip geforderte Trägheit der Energie, Annalen Der Physik, 328(7), 371–384, (Eingegangen 14 Mai 1907), русский перевод: А. Эйнштейн, «Об инерции энергии, требуемой принципом относительности» (см. А. Эйнштейн, Собрание научных трудов, том 1 «Работы по теории относительности 1905 - 1920», Академия наук Союза ССР, серия «Классики науки», под редакцией: академик И. Г. Петровский и др., издательство «Наука», Москва, 1965 г., стр. 61 - 62).

{8} Einstein, A., Relativitätsprinzip und die aus demselben gezogenen Folgerungen, Jahrb. Radioakt. (Jahrbuch der Radioaktivität und Elektronik), 4, 411-462 (1907), (Eingegangen 3 März 1908); 5, 98-99 (Berichtigungen), русский перевод: А. Эйнштейн, «О принципе относительности и его следствиях» (см. §4 «Следствия из формул преобразования для твердых масштабов и часов», А. Эйнштейн, Собрание научных трудов, том 1 «Работы по теории относительности 1905 - 1920», Академия наук Союза ССР, серия «Классики науки», под редакцией: академик И. Г. Петровский и др., издательство «Наука», Москва, 1965 г., стр. 76).

{9} Platonov A., «The source of causal paradoxes. Incomplete research by A. Einstein into the possibility of superluminal motion», September 2023, https://www.researchgate.net/publication/374001709_The_source_of_causal_paradoxes_Incomplete_research_by_A_Einstein_into_the_possibility_of_superluminal_motion.
{10} Платонов А., «Причинные «парадоксы» в Специальной Теории Относительности (краткие история и описание, решение)», издательство «Страта», Санкт-Петербург, 2022 г.

{11} Platonov A., «Superluminal motion of material bodies II. Mass invariance», January 2024, https://www.researchgate.net/publication/377271799_Superluminal_motion_of_material_bodies_II_Mass_invariance.
{12} Платонов А., «Сверхсветовое движение материальных тел», издательство «Страта», Санкт-Петербург, 2022 г.

{13} Platonov A., «Superluminal motion of material bodies II. Mass invariance», January 2024, https://www.researchgate.net/publication/377271799_Superluminal_motion_of_material_bodies_II_Mass_invariance.
{14} Платонов А., «Сверхсветовое движение материальных тел», издательство «Страта», Санкт-Петербург, 2022 г.

{15} Platonov A., «Superluminal movement of material bodies V. Two forms of relativistic intervals, imaginability and validity sub- and superluminal worlds», February 2024, https://www.researchgate.net/publication/378123876_Superluminal_movement_of_material_bodies_V_Two_forms_of_relativistic_intervals_imaginability_and_validity_sub-_and_superluminal_worlds
{16} Эддингтон А.С., «Теория относительности», издательство НИЦ «Регулярная и хаотическая динамика», г. Ижевск, 2003 г., перевод с англ. издания Eddington A.S., “The Mathematical Theory of Relativity”, second edition, Cambridge at the University Press, 1924.

{17} Platonov A., «Superluminal motion of material bodies II. Mass invariance», January 2024,

https://www.researchgate.net/publication/377271799_Superluminal_motion_of_material_bodies_II_Mass_invariance .

Санкт-Петербург, Алексей А. Платонов.
24 – 25.01.2025 г.

Copyright © Платонов А.А. 2024 Все права защищены