Найти в Дзене

Первые новости мира танков после патча 1.32 - их невозможно было пропустить!

Привет танкисты! Представляю вашему вниманию очередную пачку новостей мира танков, которые вы не должны были пропустить. А если эти танковые новости прошли мимо вас, значит обновление 1.32 ещё не установлено на ваши аккаунты или попросту вам глубокого до одного места на всё то, что сейчас происходит в некогда интересной игре с элементами историчности. Итак в этом выпуске вы узнаете: Если я вас хоть немного заинтриговал, то присаживайтесь поудобнее ведь я начинаю своё утомительное повествование. Погнали! Один (а может и не один) очень хороший человек не поленился и провёл анализ по количеству опыту необходимого для прокачки всех веток в нашей игре. Обратите внимание в каждой нации выделен тот танк, на который меньше всего понадобится опыта. ❗Но я могу сказать лично от себя: выгоднее это не значит быстрее. К слову качать объекта 705а из-за того, что на него необходимо на 70к меньше опыта чем на того же объекта 140, я бы не стал. И не буду. Процесс прокачки должен быть комфортным и п
Оглавление

Привет танкисты! Представляю вашему вниманию очередную пачку новостей мира танков, которые вы не должны были пропустить. А если эти танковые новости прошли мимо вас, значит обновление 1.32 ещё не установлено на ваши аккаунты или попросту вам глубокого до одного места на всё то, что сейчас происходит в некогда интересной игре с элементами историчности.

Итак в этом выпуске вы узнаете:

  1. Самые выгодные ветки для сброса в проекте "Орбита" + полный список по затраченному опыту всех веток игры (кроме арты) ;
  2. Инвайд код с "жирными" плюхами для новичков, бот аккаунтов и твинков
  3. Что с онлайном после обновы;
  4. Какие танки 11 уровня показывают наибольшую эффективность.

Если я вас хоть немного заинтриговал, то присаживайтесь поудобнее ведь я начинаю своё утомительное повествование.

Погнали!

Самые выгодные ветки для сброса:

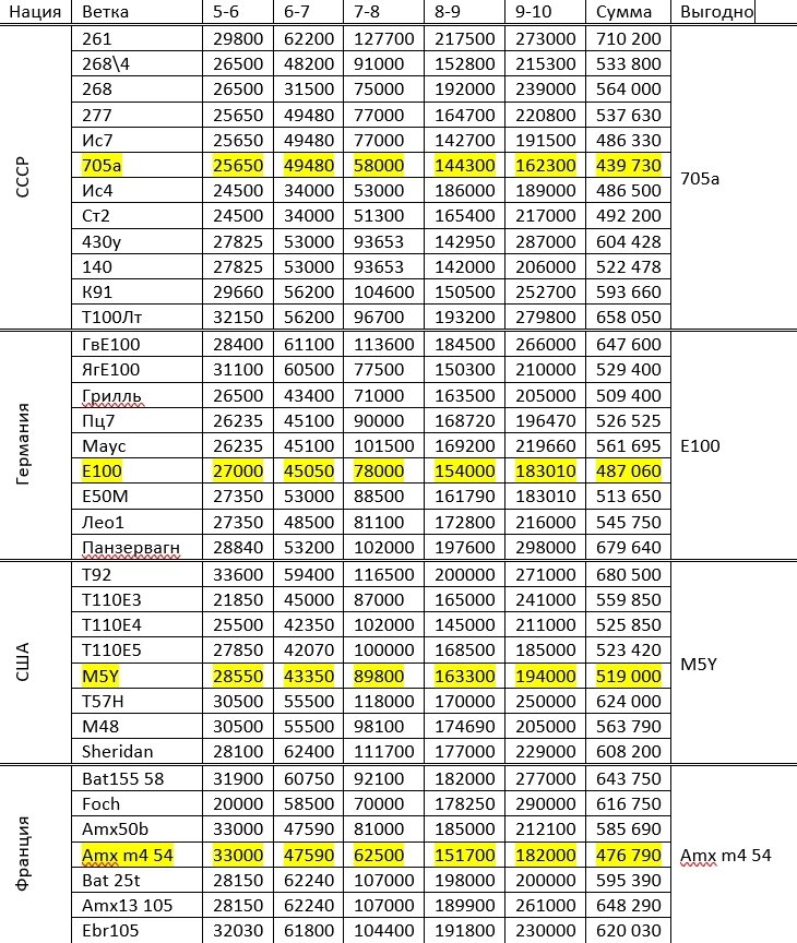
Один (а может и не один) очень хороший человек не поленился и провёл анализ по количеству опыту необходимого для прокачки всех веток в нашей игре. Обратите внимание в каждой нации выделен тот танк, на который меньше всего понадобится опыта.

❗Но я могу сказать лично от себя: выгоднее это не значит быстрее. К слову качать объекта 705а из-за того, что на него необходимо на 70к меньше опыта чем на того же объекта 140, я бы не стал. И не буду. Процесс прокачки должен быть комфортным и понятным и тогда эти 50-80к опыта будут полностью нивелированы.

-2

-3

Как известно для того, чтобы получить два танка 11 уровня и пройти проект "Орбита" необходимо сбросить 10 танковых веток. Если хотите моё мнение, то в 2025 году список из 11 самых интересных, весёлых и эффективных веток (с 8-10 уровень) выглядит так:

  1. ИС-7
  2. Объект 140
  3. СТ-2
  4. Леопард
  5. Т57 heavy
  6. AMX 13 105
  7. Concept 5
  8. Badger
  9. VZ-55
  10. WZ - 111 5a
  11. Progetto M65

🔴Обращаюсь к артаводам и любителям лёгких танков: понимаю вас, друзья мои, у вас своя история с тем, что лучше и комфортнее.

В этот список можно включить ещё парочку, но и этого будет достаточно. Ну, а вы уже сам решайте, что и как качать.

Инвайт код для новичков игры: PLAY11LVL

-4

Разрабы как-будто сами наталкивают игроков на нехорошие мысли по созданию ботов и твинков.

Цепочка боевых задач:

🟣первые подарки дают просто за вход в игру

🟣в зачёт и дут бои, где ты в топ-10

🟣не обязательно быть в топ-10 все бои подряд – цепочка не прерывается

🟣для выполнения всей цепочки необходимо сыграть как минимум 150 боёв

Содержимое:

  • Премиум танки: ИС-2, Т-34М-54, Matilda LVT;
  • 5 500 золота;
  • 100 дней ТПА;
  • 10 000 000 кредитов;
  • 500 000 свободного опыта;
  • 6 универсальных пособий;
  • Набор из трёх видов личных резервов:
  • 100 личных резервов: +50% к кредитам на 1 час
  • 100 личных резервов: +300% к свободному опыту и опыту экипажа на 1 час
  • 100 личных резервов: +100% к боевому опыту на 1 час

Ещё раз повторю этот код доступен только для новых аккаунтов после обновления 1.32!

-5

Вы меня спросите : А что положено старичкам и ветеранам игры? У меня есть несколько вариантов ответа:

  1. Куча голды и бон за верность игре
  2. Прем танк в подарок
  3. НИЧЕГО

Пишите в комментариях ваш вариант ответа, а я напишу какой правильный.

Что с онлайном мира танков после ВЕЛИКОГО обновления "Альфа"

Четверг, вечер - 300к в пике!

-6

Удивительно, но спустя несколько дней тот самый пресловутый онлайн игры не впечатляет. Другими словами: игрокам вся эта движуха не интересна. Оно то и понятно ведь ушедшие танкисты никогда не вернутся пока не починят саму внутрянку. Можно выпустить танки 11,12...45 уровня, амфибии, израильские и камбоджийские ветки с лазерным наведением и пирометром, но старых игроков этим не вернуть.

И даже масштабная реклама, запущенная лестой по всем городам и сёлам с билбордами и прочими красивыми картинками не способна сдвинуть онлайн в лучшую сторону.

-7

Некоторые из вас скажут, мол, надо смотреть не пик, а общее количество игроков посещающих игру за сутки. Безусловно этот показатель более правдивый по отношению к заинтересованности. Но чую и тут по цифрам будет большой провал.

Посмотрим что будет дальше....

Какие танки 11 лвл самые эффективные

-8

Судя по стримам все три аппарата показывают небывалые результаты. У кого-то китаец выдаёт за сессию из 50 первых боёв 8000 среднего. Кто-то впервые делает в игре более 16000 урона.

-9

А кто-то души не чает в новом MBT-B.

Простому игроку тяжело определиться с выбором. Но уже сейчас понятно, что проще всего играть на BZT-70 так как это очередное перевоплощение бабахи. Сложнее, но интереснее на американском тяжике.

А вот 279 пока оставляет двоякие чувства. С одной стороны в одном бою танк способен в лоб танчить невероятные шоты, но уже в следующем всасывает в себя всё, что только летит.

-10

Пока танков 11 уровня не так много поэтому разрабы запретили создавать взвода на этом уровне, но уже сейчас понятно 11 лвл это "похоронные похороны" многих десяток. То, что могут творить БОПСы ужасает. Особенно у китайца. Да, ПОКА редко их закидывает к танкам девятого уровня, но если они встречаются друг с другом в боях, то те самые девятки превращаются не в что иное как в корм.

Что-то мне подсказывает, что характеристики некоторые машин 11 уровня будут пересмотрены. И уже очень скоро. Леста любит начудить, а потом в скором порядке всё переделывать. С другой стороны это танки из высшей пищевой цепи и нерфить их было бы глупо. Кто тогда позарится на эту Орбиту.

В общем поглядим как будут развиваться события дальше.

Леста на всех своих социальных страницах опубликовала опрос с одним вопросом: Какой танк 11 уровня вы будете первым брать в проекте "Орбита"?

Ответы в процентном соотношении примерно одинаковы и +- такие:

-11

Яркого лидера пока нет. Игроки присматриваются и это очевидно.

Кстати в комментариях можете написать, что в первую очередь будете брать вы!? И будете ли брать 11 уровень вообще!?

Пока же игроки делятся между собой вот такими скринами:

-12

Ужасное будущее мира танков в одной картинке!

-13

Я пока ещё не принял решение идти или не идти на поводу у лесты. Да, мне хочется заполучить Vickers за первый этап прогрессии Орбиты, но сбрасывать 10 веток и качать их заново мне очень не хочется и я до сих пор не могу на это настроится и решиться.

На этом у меня все новости. С вами был обычный танкист. Ещё обязательно увидимся.

-14