Добавить в корзинуПозвонить
Найти в Дзене

Сложение и вычитание математических матриц.

Сразу надо остановиться на важном моменте: складывать и вычитать можно только матрицы одинакового размера, то есть у таких матриц должно быть одинаковое количество строк и одинаковое количество столбцов. Начнём со сложения. Для нахождения суммы двух матриц нужно последовательно сложить элементы матриц, стоящие на одинаковых местах. Рассмотрим на примере для матрицы второго порядка: Для сложения матриц характерно следующее: Перемена мест слагаемых действует и при сложении матриц: А+В=В+А. При сложении трёх и более матриц, складывать их можно в любом порядке: А+В+С=С+А+В=В+С+А и так далее. Разберём сложение матриц на числовом примере: Мы последовательно сложили элементы матриц А и В и получили матрицу С, являющуюся суммой предыдущих. При вычитании матриц одинакового размера мы соответственно вычитаем из каждого элемента первой матрицы занимающий аналогичное место элемент второй матрицы. Рассмотрим на числовом примере:

Сразу надо остановиться на важном моменте: складывать и вычитать можно только матрицы одинакового размера, то есть у таких матриц должно быть одинаковое количество строк и одинаковое количество столбцов.

Начнём со сложения.

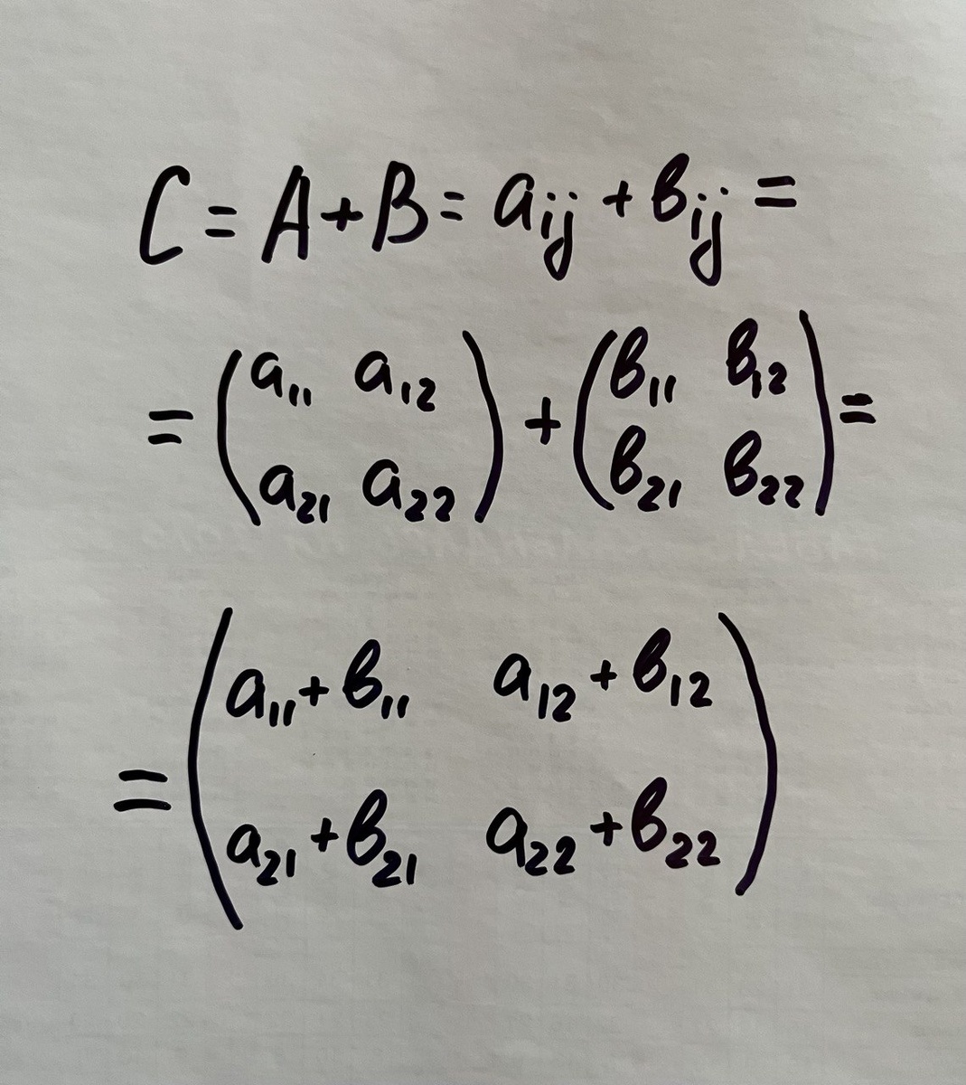
Для нахождения суммы двух матриц нужно последовательно сложить элементы матриц, стоящие на одинаковых местах.

Рассмотрим на примере для матрицы второго порядка:

Для сложения матриц характерно следующее:

Перемена мест слагаемых действует и при сложении матриц: А+В=В+А.

При сложении трёх и более матриц, складывать их можно в любом порядке: А+В+С=С+А+В=В+С+А и так далее.

Разберём сложение матриц на числовом примере:

-2

Мы последовательно сложили элементы матриц А и В и получили матрицу С, являющуюся суммой предыдущих.

При вычитании матриц одинакового размера мы соответственно вычитаем из каждого элемента первой матрицы занимающий аналогичное место элемент второй матрицы.

-3

Рассмотрим на числовом примере:

-4