Найти в Дзене
WOT Express | Новости Мир танков

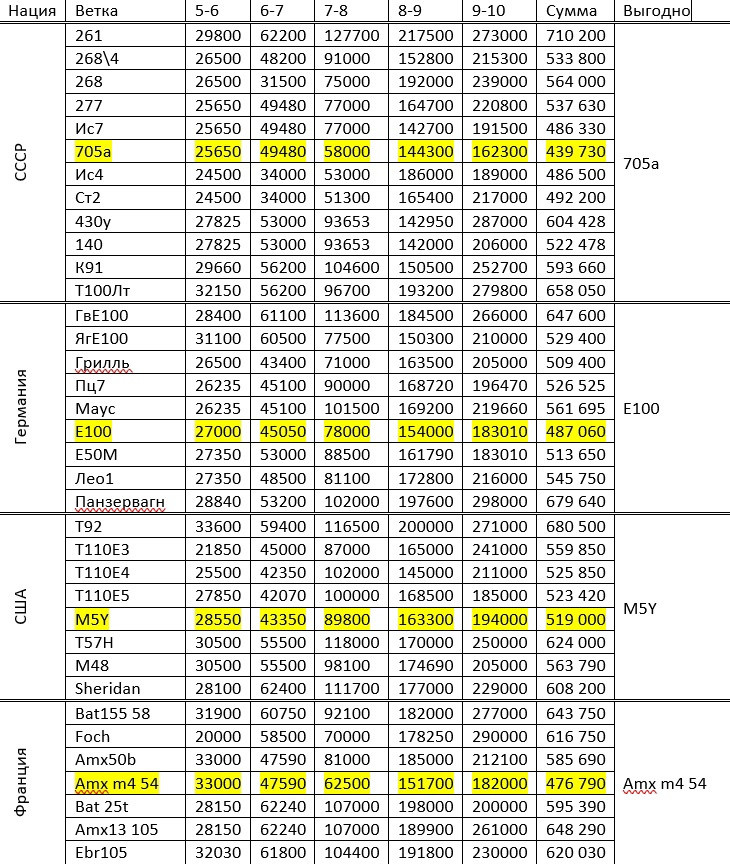
Самые выгодные ветки танков для сброса. Проект Орбита Мир танков

Мы с корешами морально готовимся скидывать кровью и потом заработанные ветки и решили сделать это по уму, затратив минимальное количество опыта. Короче прогнались и посчитали сколько опыта нужно чтобы прокачать ветки танков. Самые выгодные ветки для сброса по нациям: По опыту максимально выгодно сбросить 705А, 60TP, VZ55.

Мы с корешами морально готовимся скидывать кровью и потом заработанные ветки и решили сделать это по уму, затратив минимальное количество опыта.

Короче прогнались и посчитали сколько опыта нужно чтобы прокачать ветки танков. Самые выгодные ветки для сброса по нациям:

  • СССР - Объект 705А - 439 730 опыта
  • Германия - Е100 - 487 060 опыта
  • США - М5Y - 519 000 опыта
  • Франция - AMX M4 mle. 54 - 476 790 опыта
  • Британия - Centurion AX - 528 000 опыта
  • Чехия - VZ55 - 469 540 опыта
  • Китай - WZ113 G FT - 494 750 опыта
  • Япония - Type 71 - 532 400 опыта
  • Польша - 60TP Lewandowskiego - 445 240 опыта
  • Швеция - UDES 15/16 - 545 340 опыта
  • Италия - Minotauro - 500 200 опыта

По опыту максимально выгодно сбросить 705А, 60TP, VZ55.