Добавить в корзинуПозвонить
Найти в Дзене
#TrueМамы

Уравнение, которые, казалось бы, не решается

В учебнике матвертикали 8 класса есть такое уравнение в задании 675 (б): При раскрытии скобок получается биквадратное уравнение, которое решить невозможно, на первый взгляд. Методом подбора корней ничего не выходит, через дискордант тоже не получается. Для его решения, скорее всего, нужна теорема Кардано или приближенные методы. Значит, решение все-таки должно быть. Но ГДЗ пользоваться не хотелось. Делать нечего, пришлось писать учителю по математике, всё ли верно в этом уравнении. Сначала она сказала, что через 5 минут пришлет ответ, но не получилось. С ее слов: "Автор заморочился, здесь должен быть еще один минус..." Я предположила, что в учебнике ошибка, и педагог ответила, что возможно, потому что так уже было в другом упражнении. А потом спустя пару часов все-таки прислала ответ, сказав, что решила методом группировки. Никто уравнение в классе не решил, учитель немножко пожурил учеников, мол, ну как так-то, все-таки 8 класс матвертикали, правда, повторил, что автор усложнил зада
Оглавление

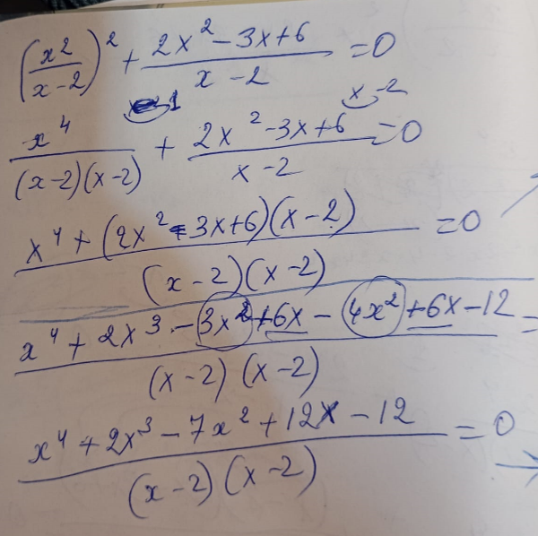
В учебнике матвертикали 8 класса есть такое уравнение в задании 675 (б):

При раскрытии скобок получается биквадратное уравнение, которое решить невозможно, на первый взгляд.

-2
Методом подбора корней ничего не выходит, через дискордант тоже не получается. Для его решения, скорее всего, нужна теорема Кардано или приближенные методы.

Но в конце учебника зияют ответы:

-3

Значит, решение все-таки должно быть. Но ГДЗ пользоваться не хотелось.

Делать нечего, пришлось писать учителю по математике, всё ли верно в этом уравнении. Сначала она сказала, что через 5 минут пришлет ответ, но не получилось. С ее слов: "Автор заморочился, здесь должен быть еще один минус..."

Я предположила, что в учебнике ошибка, и педагог ответила, что возможно, потому что так уже было в другом упражнении.

А потом спустя пару часов все-таки прислала ответ, сказав, что решила методом группировки.

-4
-5

Интересное решение, согласны?

Никто уравнение в классе не решил, учитель немножко пожурил учеников, мол, ну как так-то, все-таки 8 класс матвертикали, правда, повторил, что автор усложнил задание.

Потом я решила узнать в поиске Гугл у нейросетей, как решить подобное уравнение (интересно, есть вообще в интернете решение или нет), и он мне выдал ответ:

-6
-7
-8

А вы бы решили своими силами такое уравнение?