Добавить в корзинуПозвонить
Найти в Дзене
Перов

Примеры решения линейных уравнений. Задание №9 ОГЭ.

Разберем решение нескольких линейных уравнений, которые могут попасться на ОГЭ.
Более подробный разбор алгоритма решения линейных уравнений можете изучить тут. Пример 1. Решите уравнение 10(x – 9) = 7. Решение. Имеем: Ответ: 9,7. Пример 2. Решите уравнение 2 + 3x= –7x – 5. Решение. Имеем: Ответ: –0,7. Пример 3. Решите уравнение –3x+ 1 – 3(x + 3) = –2(1 – x) + 2. Решение. Имеем: Ответ: –2. Пример 4. Решите уравнение Решение. В данном уравнении присутствует обыкновенная дробь. Некоторых такое может ввести в ступор. На самом деле ничего тут трудного нет. Просто надо избавиться от этой дроби от этого знаменателя. Каким образом? В уравнениях мы можем умножать или делить обе части уравнения одновременно на одно и то же число. На какое число надо домножить обе части, чтобы избавиться от пятерки в знаменателе. Логично, что надо домножить на 5. Давайте это сделаем: Ответ: 5. Пример 5. Решите уравнение Решение. В данном примере уже несколько дробей. Чтобы от всех них избавиться разом, надо дом

Разберем решение нескольких линейных уравнений, которые могут попасться на ОГЭ.
Более подробный разбор алгоритма решения линейных уравнений можете изучить тут.

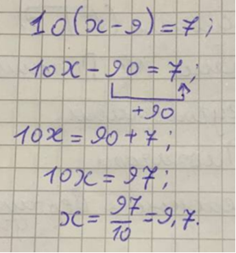
Пример 1. Решите уравнение 10(x – 9) = 7.

Решение. Имеем:

Ответ: 9,7.

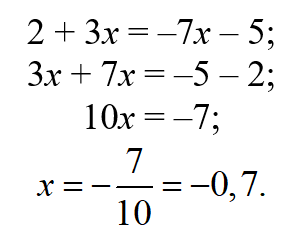
Пример 2. Решите уравнение 2 + 3x= –7x – 5.

Решение. Имеем:

-2

Ответ: –0,7.

Пример 3. Решите уравнение –3x+ 1 – 3(x + 3) = –2(1 – x) + 2.

Решение. Имеем:

-3

Ответ: –2.

Пример 4. Решите уравнение

-4

Решение. В данном уравнении присутствует обыкновенная дробь. Некоторых такое может ввести в ступор. На самом деле ничего тут трудного нет. Просто надо избавиться от этой дроби от этого знаменателя. Каким образом? В уравнениях мы можем умножать или делить обе части уравнения одновременно на одно и то же число. На какое число надо домножить обе части, чтобы избавиться от пятерки в знаменателе. Логично, что надо домножить на 5. Давайте это сделаем:

-5

Ответ: 5.

Пример 5. Решите уравнение

-6

Решение. В данном примере уже несколько дробей. Чтобы от всех них избавиться разом, надо домножить на такое число, чтобы знаменатели сократились в каждой дроби. В данном случае надо домножить на 10. Имеем:

-7

Ответ: –18.

Если Вы плохо понимаете математику и хотите повысить уровень знаний, можете записаться ко мне на занятия! Со мной можно связаться через телеграмм: @rd_mach. Или через авито.
Репетитор по математике в Санкт-Петербурге | Услуги | Авито