Добавить в корзинуПозвонить
Найти в Дзене
Перов

Линейные уравнения. Что такое уравнение?

Для начала разберемся с понятием уравнения, что это такое? Определение. Уравнение — это равенство, содержащее одну или более неизвестных переменных, которые необходимо найти. Примеры уравнений: !!! Чтобы решить уравнение, нам нужно найти такой x, при котором левая и правая часть уравнения будут равны. Разберем на примере уравнения: x– 5 = 0. Нужно найти такой x, при котором левая часть будет равна нулю. Это возможно при x= 5. Проверим: 5 – 5 = 0 — верно. Это было простое уравнение. Обычно в задачах встречаются уравнения, в которых тяжело сразу подобрать подходящий x. Чтобы решать такие уравнения, надо знать способы их решения. Начнем наше знакомство с уравнениями с линейных уравнений. Линейные уравнения имеют следующий вид: ax + b = 0, где x — неизвестная переменная, a — коэффициент при x, b — свободный член уравнения. Коэффициенты a и b могут быть любыми числами. В уравнении 3x + 2 = 0: коэффициент a равен 3, а коэффициент b равен 2. Запишем алгоритм решения таких уравнений и разберем
Оглавление

Вводная часть

Для начала разберемся с понятием уравнения, что это такое?

Определение. Уравнение — это равенство, содержащее одну или более неизвестных переменных, которые необходимо найти.

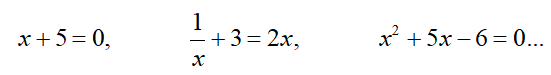
Примеры уравнений:

!!! Чтобы решить уравнение, нам нужно найти такой x, при котором левая и правая часть уравнения будут равны. Разберем на примере уравнения: x– 5 = 0. Нужно найти такой x, при котором левая часть будет равна нулю. Это возможно при x= 5. Проверим: 5 – 5 = 0 — верно.

Это было простое уравнение. Обычно в задачах встречаются уравнения, в которых тяжело сразу подобрать подходящий x. Чтобы решать такие уравнения, надо знать способы их решения. Начнем наше знакомство с уравнениями с линейных уравнений.

Линейные уравнения

Линейные уравнения имеют следующий вид: ax + b = 0, где x — неизвестная переменная, a — коэффициент при x, b — свободный член уравнения. Коэффициенты a и b могут быть любыми числами. В уравнении 3x + 2 = 0: коэффициент a равен 3, а коэффициент b равен 2.

Запишем алгоритм решения таких уравнений и разберем потом каждый пункт подробнее. Имеем:

1. Нужно упростить уравнение. Если в уравнение есть скобки — надо их раскрыть. Если есть дробные числа — избавиться от знаменателей.
2. Надо перенести числа с неизвестной переменной в левую часть равенства, а остальные числа в правую часть.
3. Привести подобные слагаемые. После этого мы получим уравнение вида
ax= b.
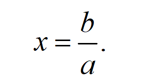
4. Избавиться от коэффициента перед
x. То есть получить значение x:

-2

После этих действий мы получим требуемое значение x. А теперь на примере разберем подробно каждое действие.

Пример 1. Решите уравнение: 5(x+ 5) – 10 = 3x + 3.

Решение. Будем решать уравнение по алгоритму.

1. В этом уравнении есть скобки. Надо их раскрыть.

Примечание. Раскрытие скобок происходит по распределительному закону арифметики. Данный закон выглядит следующим образом:

-3

Вернемся к уравнению:

-4

2. Далее нам надо перенести числа с неизвестной переменной в левую часть равенства, а остальные числа в правую часть. При переносе из одно части в другую надо поменять знак у числа. То есть:

-5

Почему при переносе меняется знак у чисел? Рассмотрим равенство 2 = 2 и перенесем двойку справа в левую часть без изменения знака. Имеем: 2 + 2 = 0 или 4 = 0. Получилось неверное равенство. Если мы поменяем знак, получим: 2 – 2 = 0 или 0 = 0 — верно.

3. Что значит привести подобные слагаемые? Это значит, что нужно сложить отдельно числа с неизвестной переменной и отдельно оставшиеся числа. То есть:

-6

Примечание. Почему мы так сложили числа с x. Тут сработал распределительный закон, только уже в обратную сторону, то есть 5x – 3x= x(5 – 3) = 2x.

4. Осталось найти x, получаем:

-7

Задания для самостоятельного решения.

Задание. Решите следующие уравнения:

а) 5x= 25;

б) 3(2 + x) = 21;

в) 4(5 – 2x) + 5x = x + 2.

Если Вы плохо понимаете математику и хотите повысить уровень знаний, можете записаться ко мне на занятия! Со мной можно связаться через телеграмм: @rd_mach. Или через авито.
Репетитор по математике в Санкт-Петербурге | Услуги | Авито