Добавить в корзину
Позвонить
Найти в Дзене
Войти
СпецКурс
466 подписчиков
Подписаться
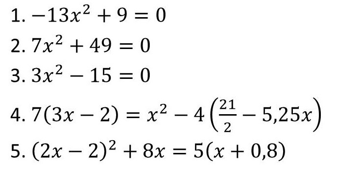
А8 ДЗ Решение неполных квадратных уравнений - 1
19 января 2025
19 янв 2025
6
~1 мин
Решите уравнения: Как это решать?
Решите уравнения: Как это решать?
...
Читать далее
Решите уравнения:
Как это решать?
8
996666873.991.1775968354668.40303