Добавить в корзинуПозвонить
Найти в Дзене
BIOHACKER.BZ

Noopept (Ноопепт)

Этиловый эфир N-фенилацетил-L-пролилглицина, GVS-111, также называемый Ноопепт, является ноотропным дипептидным соединением, полученным из непептидных прототипов пирацетама и вазопрессина. Было показано, что Ноопепт способствует нейропротекции и вызывает несколько положительных эффектов, связанных с регуляцией уровня глюкозы в крови, изменением веса тела и антидиабетической активностью. Механизм действия ноотропа связан с его способностью блокировать потенциалзависимые кальциевые и кальцийзависимые калиевые каналы, а также повышать уровни фактора роста нейронов (NGF) и нейротрофического фактора роста мозга (BDNF). Кроме того, было обнаружено, что ноопепт регулирует антиоксидантную ферментативную активность и активность липидной пероксидазы. Текущие исследования сосредоточены на дальнейшем определении преимуществ, получаемых от соединения, и выяснении эффектов ноотропа на половое созревание и целостность репродуктивных органов [1]. 1) Установлено, что Ноопепт нормализует нарушенное пов
Оглавление

Что такое Ноопепт?

Этиловый эфир N-фенилацетил-L-пролилглицина, GVS-111, также называемый Ноопепт, является ноотропным дипептидным соединением, полученным из непептидных прототипов пирацетама и вазопрессина. Было показано, что Ноопепт способствует нейропротекции и вызывает несколько положительных эффектов, связанных с регуляцией уровня глюкозы в крови, изменением веса тела и антидиабетической активностью. Механизм действия ноотропа связан с его способностью блокировать потенциалзависимые кальциевые и кальцийзависимые калиевые каналы, а также повышать уровни фактора роста нейронов (NGF) и нейротрофического фактора роста мозга (BDNF). Кроме того, было обнаружено, что ноопепт регулирует антиоксидантную ферментативную активность и активность липидной пероксидазы. Текущие исследования сосредоточены на дальнейшем определении преимуществ, получаемых от соединения, и выяснении эффектов ноотропа на половое созревание и целостность репродуктивных органов [1].

Основные результаты исследования

1) Установлено, что Ноопепт нормализует нарушенное поведение, связанное с церебральной ишемией, одновременно предотвращая накопление побочных продуктов липидной пероксидазы и угнетая антиоксидантные системы в мозге крыс с разной степенью чувствительности к гипоксии.

2) Ноопепт может оказывать положительное влияние на случаи пубертатного диабета, поскольку было обнаружено, что лечение ноотропом нормализует задержку полового созревания, одновременно снижая уровень глюкозы в крови и резистентность к инсулину.

Избранные данные

1) Исследовательская группа Зарубиной и соавторов изучала влияние Ноопепта на функциональные и метаболические нарушения мозга у животных как с высокой, так и с низкой чувствительностью к гипоксии в условиях хронической ишемии. Для целей данного исследования были использованы 112 самцов крыс породы Вистар весом 160-180 граммов. Животных разделили на группы лечения в зависимости от их чувствительности к острой гипоксии, поместив их в барокамеру, поднятую на высоту 12 000 метров со скоростью 50 метров в секунду. Крысы находились на этой высоте до появления агонального дыхания. Крысы, выдерживавшие гипоксические условия в течение 5-10 минут, были помещены в группу с низкой чувствительностью, а крысы, выдерживавшие гипоксические условия более 10 минут, были помещены в группу с высокой чувствительностью [2].

Затем индуцировали церебральную ишемию путем окклюзии общих сонных артерий, а затем оценивали неврологический статус с помощью индекса инсульта Макгроу. В дополнение к индексу инсульта мышечный тонус животных оценивали с помощью теста на подтягивание с использованием горизонтальной балки на высоте 30 см над устойчивой поверхностью. Сразу после окклюзии церебральных артерий 0,5 мг/кг Ноопепта растворяли в физиологическом растворе и внутрибрюшинно вводили крысам. Экспериментальное лечение ноотропом проводилось ежедневно в течение 7 дней.

Для изучения физиологических реакций крыс использовали тест «открытое поле» и тест «приподнятый крестообразный лабиринт», а ориентационный, исследовательский, эмоциональный, стереотипный и двигательный компоненты оценивали с помощью атласа поведения грызунов. Через 7 дней после индукции церебральной ишемии когнитивные функции оценивали с помощью условного рефлекса пассивного избегания (УРПИ) как индикатора депрессивного поведения. Антидепрессантные эффекты Ноопепта дополнительно исследовали через 1 день после оценки УРПИ в поведенческом тесте отчаяния. Уровни ненасыщенных жирных кислот, конъюгированных диенов и кетотриенов и малонового диальдегида оценивали как индикаторы интенсивности свободнорадикальных процессов в мозге. Активность супероксиддисмутазы, содержание восстановленного глутатиона, белковых SH-групп и уровень жирорастворимых антиоксидантов также оценивали как индикаторы функциональности антиоксидантной системы мозга [2].

2) Для оценки различных преимуществ, полученных от Ноопепта в модели препубертального диабета 1 типа, исследовательская группа Гюрбюза и соавторов использовала 60 препубертальных 28-дневных самцов крыс Sprauge Dawley. Животных размещали по 5 крыс в клетке и содержали в стандартных лабораторных условиях с неограниченным доступом к пище и водопроводной воде. Крысы были случайным образом разделены на 6 экспериментальных групп лечения, включая: 1) контрольную группу, 2) контроль диабета, 3) контроль Ноопепта, 4) диабет и лечение Ноопептом, 5) диабет и лечение инсулином и 6) диабет с лечением Ноопептом и инсулином [1].

Сахарный диабет 1 типа был вызван в экспериментальных группах посредством внутрибрюшинной инъекции 50 мг/кг СТЗ, растворенного в буфере цитрата натрия, вводимого после 12 часов голодания. Крысы считались диабетиками, если уровень глюкозы в их крови натощак составлял > 200 мг/дл через 3 дня. После того, как были определены экспериментальные группы с диабетом, Ноопепт в дозе 0,5 мг/кг или инсулин детемир в дозе длительного действия 1U растворяли в физиологической сыворотке и вводили внутрибрюшинно ежедневно в течение 14 дней. Контрольным группам крыс внутрибрюшинно вводили физиологический раствор. Через 30-60 минут после введения всех видов лечения испытуемым животным проводили тест с водным лабиринтом Морриса для изучения изменений в их когнитивных функциях [1].

Тесты водного лабиринта Морриса включали аппарат диаметром 150 см, высотой 60 см, заполненный водой на 40 см. В воду добавляли нетоксичный черный краситель, чтобы сделать ее непрозрачной, чтобы крысы не могли видеть дно резервуара, в то время как поверхность воды была разделена на 4 равных квадранта. Северо-западный квадрант был определен как целевое место назначения, где платформа была размещена на расстоянии 30 см от края северо-западного квадранта и скрыта на 2 см ниже поверхности воды. На платформу была наложена волокнистая черная ткань, чтобы крысы могли цепляться когтями и чувствовать себя в безопасности. В течение 4-дневного периода обучения платформа оставалась в одном и том же положении, и животные обучались находить ее, в то время как исследовательская группа измеряла количество времени, которое требовалось для этого [1].

Каждое испытание длилось более 20 минут, и крыс помещали в разные квадранты лабиринта и позволяли им плавать в течение 90 секунд, чтобы найти платформу. Если крысы не могли найти платформу, их осторожно помещали на нее и оставляли там на 30 секунд. На 5-й день эксперимента был проведен зондовый тест, и платформа была удалена из аппарата. Каждый испытуемый был помещен в противоположный угол аппарата от того, где ранее находилась платформа. Компьютеризированная видеокамера использовалась для контроля и записи расстояния, пройденного животным, а также количества времени, которое каждое животное провело в квадранте, где ранее находилась платформа [1].

В дополнение к тесту с водным лабиринтом Морриса, измерения уровня глюкозы в крови и веса тела проводились на 0-й день до инъекции СТЗ, на 3-й, 10-й и 17-й день эксперимента. Кроме того, на 11-й день эксперимента (39-й день после рождения) исследовалось разделение крайней плоти и головки полового члена с целью определения процесса пубертата, в то время как резистентность к инсулину рассчитывалась с помощью оценки резистентности к инсулину с помощью модели гомеостаза. На 18-й день эксперимента (46-й день после рождения) животных подвергали эвтаназии с использованием анестезии кетамина 70 мг/кг и ксилазина 8 мг/кг после сбора образцов крови из сердечной ткани. Ткани гиппокампа, гипоталамуса и яичек были иссечены у крыс и законсервированы с помощью 10% формальдегида и залиты в парафин для дальнейшего гистологического анализа [1].

Срезы тканей были нарезаны и помещены на предметные стекла, после чего окрашены гематоксилином-эозином. Для окрашенных срезов гиппокампа исследователи случайным образом выбрали для подсчета общее количество нейронов из 3 областей пирамидального слоя региона CA1. Нейроны с круглыми и светлыми ядрами были определены как нормальные, в то время как сморщенные нейроны с пикнотическими ядрами были определены как дегенерированные. Ткани, собранные из тестикулярных областей, были оценены на предмет стабильности клеток, застоя, вакуолизации или отека в интерстициальной ткани, разлитых клеток в канальцах, инфильтрации клеток, среднего диаметра семенных канальцев и толщины зародышевых эпителиальных клеток. Важно отметить, что диаметр 20 отдельных семенных канальцев был выбран случайным образом для измерения [1].

Обсуждение

1) Результаты исследования, проведенного Островской и соавторами, показали, что крысы с различной чувствительностью к гипоксии демонстрировали существенно разные поведенческие реакции на основе данных, полученных в тесте «открытое поле» и тесте «приподнятый крестообразный лабиринт». Животные с низкой чувствительностью к гипоксии демонстрировали устойчивое поведение, в то время как животные с высокой чувствительностью к гипоксии демонстрировали выраженную исследовательскую и локомоторную активность, а также повышенную тревожность. В постишемический период было обнаружено снижение спонтанной двигательной активности у крыс, включенных как в высокочувствительную, так и в низкочувствительную экспериментальные группы. Высокочувствительные крысы теряли способность к исследовательской активности, что указывает на распад некоторых интегральных поведенческих реакций, в то время как низкочувствительные крысы сохраняли некоторые поведенческие элементы, такие как обнюхивание, экскурсия в центральное поле и движения на месте [2].

Крысы, которые были высокочувствительны к гипоксии, испытывали сниженные автономные проявления эмоций, на что указывало снижение количества и продолжительности актов груминга и снижение болюсов и актов дефекации. С другой стороны, у крыс с низкой чувствительностью к гипоксии наблюдалось повышение эмоционального статуса. Однако крысы в обеих группах испытывали высокий уровень тревожности, представленный более коротким временем, проведенным в открытых рукавах лабиринта, выглядыванием из-за закрытых полок, короткими рискованными заходами в центр аппарата и вглядыванием вниз с краев лабиринта. Важно отметить, что эти формы поведения были более распространены у крыс с высокой чувствительностью к гипоксии [2].

Кроме того, как высокочувствительные, так и низкочувствительные животные демонстрировали более длительные периоды длительности во время теста Порсолта, а также сниженное активное плавание. Эти результаты согласуются с формированием депрессии. Торможение ориентации, исследовательской активности и сниженная подвижность действовали как репрезентации стрессовых ситуаций и были связаны с повышенной эмоциональной реактивностью и тревожностью. CPAR был воспроизведен через 24 часа после обучения и показал, что 80% как низкочувствительных, так и высокочувствительных крыс были знакомы с ударом электрического тока и не заходили в темную клетку в течение всего периода наблюдения. Остальные 20% крыс в конечном итоге зашли в темную клетку после длительного латентного периода. После окклюзии сонных артерий наблюдалось значительное сокращение латентного периода CPAR в обеих группах крыс. Было отмечено, что нарушения когнитивных функций были более выражены в группе животных с высокой чувствительностью к гипоксии [2].

-2

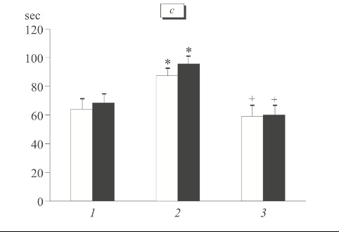
Рисунок 1: Изменения A) активного плавания; B) пассивного плавания; и C) неподвижности у крыс после индукции церебральной ишемии. 1) ответ на ложную операцию в группах с низкой и высокой чувствительностью; 2) ответ на вызванную ишемию в группах с низкой и высокой чувствительностью; и 3) ответ на лечение Ноопептом в группах с низкой и высокой чувствительностью с вызванной ишемией.

Через 7 дней после окклюзии сонных артерий неврологические нарушения различной степени тяжести оценивались по шкале от 0,5 до 12. 0,5–2,5 балла классифицировались как легкие неврологические симптомы, 2,5–5,5 баллов классифицировались как средние неврологические симптомы, а 5,5–12 баллов классифицировались как тяжелые неврологические симптомы. У 95% контрольной группы крыс после окклюзии сонных артерий наблюдалась тяжелая или среднетяжелая церебральная ишемия. Неврологические нарушения, характеризующиеся движениями манежа, парезами и параличами, наблюдались у 45% крыс с низкой чувствительностью и 60% крыс с высокой чувствительностью, у 30% крыс с низкой чувствительностью и 40% крыс с высокой чувствительностью, у 10% крыс с низкой чувствительностью и у 20% крыс с высокой чувствительностью соответственно.

На 3-й день после окклюзии сонных артерий выжило 45% крыс с низкой чувствительностью и 30% крыс с высокой чувствительностью. Однако после лечения животных Ноопептом выживаемость как крыс с низкой, так и с высокой чувствительностью увеличилась до 84% и 76% соответственно. Было обнаружено, что введение Ноопепта снижает проявления неврологического дефицита. Количество движений манежа, демонстрируемых крысами, значительно снизилось, при этом у животных также не развивались парезы конечностей или параличи. У крыс с низкой и высокой чувствительностью к гипоксии также усилились локомоция, ориентировка и исследовательское поведение, что свидетельствует о восстановлении интегральных поведенческих реакций животных [2].

-3

Рисунок 2: Изменения A) инертных движений, B) слабости конечностей и C) движений манежа у крыс через 3 дня после индукции церебральной ишемии. 1) реакция на ишемию в группах с низкой и высокой чувствительностью и 2) реакция на введение Ноопепта в группах с низкой и высокой чувствительностью

Также было обнаружено, что Ноопепт корректирует эмоциональное состояние животных, а также снижает уровень тревожности у животных. Введение лечения также восстанавливает когнитивные функции за счет улучшения способности к обучению и сохранения памяти, которая была утрачена в результате индукции церебральной ишемии. Семь дней лечения Ноопептом позволили животным точно запомнить доставку болевого стимула при входе в темную клетку, что привело к увеличению латентных периодов. Также было обнаружено, что продолжительность плавания и иммобилизации значительно улучшилась как у низкочувствительных, так и у высокочувствительных крыс, что позволяет предположить, что соединение вызывает выраженные антидепрессивные эффекты [2].

Окклюзия сонных артерий была связана со снижением активности антиоксидантных систем, а также с накоплением побочных продуктов липидной пероксидазы в тканях мозга. После оценки изменений уровней побочных продуктов липидной перекисной реакции и различных уровней эндогенных антиоксидантов, уровень побочных продуктов, выявленных в мозге крыс с высокой чувствительностью, был больше, чем количество побочных продуктов, обнаруженных в мозге крыс с низкой чувствительностью. Эти изменения достигли пика на 3-й день после окклюзии сонных артерий и сохранялись до 7-го дня. Подобно предыдущим результатам исследования, эти результаты были более выражены в группе крыс с высокой чувствительностью к гипоксии [2].

Было обнаружено, что лечение Ноопептом значительно снижает уровни конъюгированных диенов, кетотриенов, малонового диальдегида и увеличивает активность супероксиддисмутазы. Исследователи отметили, что этот результат может быть потенциально обусловлен активацией антиоксидантной системы, приводящей к снижению образования липидных перекисей. После лечения накопление побочных продуктов липидной пероксидазы и подавление активности антиоксидантных систем были предотвращены в зависимости от группы как в группах с высокой, так и в группах с низкой чувствительностью.

Исследователи пришли к выводу, что лечение крыс с высоким или низким уровнем чувствительности к гипоксическим условиям Ноопептом в течение 7 дней после окклюзии общих сонных артерий и возникновения неврологических нарушений имело возможность продлить выживаемость, повысить локомоторную, ориентировочную и исследовательскую активность, а также восстановить эмоциональный статус животных. Помимо предотвращения подавления активации антиоксидантной системы и накопления побочных продуктов липидпероксидазы, лечение Ноопептом снижало уровень депрессии и тревожности у животных и улучшало их способность к обучению [2].

2) Как уже упоминалось ранее, во всех группах измеряли уровень глюкозы в крови и изменения веса тела на 0, 3, 10 и 17 дни эксперимента. Было обнаружено, что контрольная группа крыс испытала значительно большее увеличение веса по сравнению с контрольной группой диабета, контрольной группой Ноопепта, группой диабета и Ноопепта и группой диабета, Ноопепта и инсулина. Кроме того, не было никаких существенных изменений в увеличении веса тела при сравнении контрольной группы и группы диабета и инсулина. Что касается изменений уровня глюкозы в крови, было обнаружено, что уровни увеличились во всех экспериментальных группах диабета к 3 дню. Не было никаких существенных изменений уровней глюкозы в крови, измеренных на 3, 10 и 17 дни между контрольной группой диабета и группой диабета и инсулина. Однако было обнаружено, что уровни глюкозы в крови как в группе диабета и Ноопепта, так и в группе диабета, Ноопепта и инсулина были значительно снижены к 17 дню по сравнению с уровнями, измеренными на 3 день [1].

При рассмотрении изменений в уровнях инсулина и инсулинорезистентности, инсулин в контрольной группе крыс с диабетом был значительно выше, чем в группе крыс с диабетом, Ноопептом и инсулином к концу эксперимента. Аналогичные результаты были получены в отношении инсулинорезистентности. Инсулинорезистентность в контрольной группе крыс с диабетом была выше, чем в других экспериментальных группах лечения, в частности, в группе крыс с диабетом Ноотроп и инсулином. Инсулинорезистентность в группе с диабетом, Ноотропом и инсулином также была заметно ниже, чем в группе лечения диабетом и инсулином [1].

Тест с водным лабиринтом Морриса был проведен в качестве оценки когнитивных функций и памяти у крыс. Результаты показали, что не было никаких существенных различий во времени нахождения платформы, измеренном в каждой экспериментальной группе. Однако важно отметить, что, хотя результаты, сравниваемые между каждой группой, не считались существенными, диабетические группы, получавшие Ноопепт и/или инсулин, в целом имели более низкое время нахождения, чем контрольная группа диабетических крыс. Кроме того, при сравнении области, проплывшей до нахождения платформы, области, проплывшей в квадранте платформы, и расстояния до платформы в конце испытания, не было статистически значимых различий в значениях между экспериментальными группами лечения [1].

Гистологические данные, связанные с образцами, собранными из яичек, показали, что ткань яичек здоровых контрольных групп имела нормальный вид. Однако в ткани яичек, собранной у контрольной группы крыс с диабетом, наблюдались стабильность клеток в митотической фазе, застой, вакуолизация или отек в интерстициальной ткани, разлитые клетки в канальцах и инфильтрация клеток. Было обнаружено, что эти изменения, выявленные в ткани яичек, были значительно снижены в группах с диабетом, получавших Ноопепт и инсулин. Гистологические данные, связанные с образцами, собранными из гиппокампа, показали, что у контрольной группы крыс с диабетом наблюдались дегенеративные изменения нейронов и снижение плотности нейронов по сравнению с контрольной группой. Было обнаружено, что дегенерация нейронов в группах с диабетом значительно снизилась в группе с диабетом и Ноопептом, группе с диабетом и инсулином и группе с диабетом, Ноопептом и инсулином. Было обнаружено статистически значимое различие между группой с диабетом и Ноопептом по сравнению с контрольной группой животных с диабетом [1].

В целом, исследовательская группа Гюрбюза и соавторов пришла к выводу, что Ноопепт обеспечивает ряд преимуществ при лечении пубертатного сахарного диабета 1 типа. Однако необходимо провести дополнительные исследования относительно модуляции лечения с целью предотвращения хронических осложнений. Также необходимо завершить исследование механизма действия клеточных эффектов Ноопепта, чтобы сравнить ноотроп с другими препаратами для лечения диабета. Также необходимо исследовать экспрессию белков NGF и BDNF с целью улучшения молекулярных механизмов на уровне рецепторов и мРНК для повышения эффективности Ноопепта при лечении когнитивных нарушений и нейродегенерации [1].

Список источников

[1] Gürbüz P, Düzova H, Yildiz A, Çakan P, Kaya GB, Bağ HGG, Durhan M, Gül CC, Taşlidere AÇ. Effects of noopept on cognitive functions and pubertal process in rats with diabetes. Life Sci. 2019 Sep 15;233:116698. doi: 10.1016/j.lfs.2019.116698. Epub 2019 Jul 26. PMID: 31356906.

[2] Ostrovskaya RU, Gudasheva TA, Zaplina AP, Vahitova JV, Salimgareeva MH, Jamidanov RS, Seredenin SB. Noopept stimulates the expression of NGF and BDNF in rat hippocampus. Bull Exp Biol Med. 2008 Sep;146(3):334-7. doi: 10.1007/s10517-008-0297-x. PMID: 19240853.