Добавить в корзину
Позвонить
Найти в Дзене
Войти
СпецКурс
468 подписчиков
Подписаться
А8 ДЗ Вторая формула корней квадратного уравнения - 1
9 января 2025
9 янв 2025
5
~1 мин
Решите уравнения: Как это решать?
Решите уравнения: Как это решать?
...
Читать далее
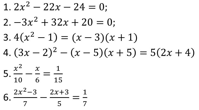
Решите уравнения:
Как это решать?
4
2
3287074240.919.1776239705857.59817