Найти в Дзене
К новой физике

К новой физике

Кравченко Станислав Иванович (+79062303872, st_krav@mail.ru) Аннотация: предлагается философия и математический аппарат описания любого возможного множества физических действий с любой, наперед заданной степенью точности. Ключевые слова: наука, физика, философия, действительность, действие, гипотеза, парадигма, теория, квант, модель, множество, структура Введение Любая правильно развивающаяся научная дисциплина периодически приходит к необходимости пересмотра своих основ. В физике такое происходило неоднократно. Вопрос, однако, в том, что изначально никакой грандиозной задачи создания чего-то уровня фундаментальной теории не ставилось. Тем более, пересмотра основ. Было знакомство с работами весьма уважаемых, но ранее не знакомых ученых. Было удивление крайней наивностью философской базы. И было искреннее восхищение предложенным математическим аппаратом. Не то, чтобы он был чрезмерно заумным. Ровно наоборот — понравилось его аскетическое изящество с достаточно фундаментальными решениями

Кравченко Станислав Иванович

(+79062303872, st_krav@mail.ru)

Аннотация: предлагается философия и математический аппарат описания любого возможного множества физических действий с любой, наперед заданной степенью точности.

Ключевые слова: наука, физика, философия, действительность, действие, гипотеза, парадигма, теория, квант, модель, множество, структура

Введение

Любая правильно развивающаяся научная дисциплина периодически приходит к необходимости пересмотра своих основ. В физике такое происходило неоднократно. Вопрос, однако, в том, что изначально никакой грандиозной задачи создания чего-то уровня фундаментальной теории не ставилось. Тем более, пересмотра основ. Было знакомство с работами весьма уважаемых, но ранее не знакомых ученых. Было удивление крайней наивностью философской базы. И было искреннее восхищение предложенным математическим аппаратом. Не то, чтобы он был чрезмерно заумным. Ровно наоборот — понравилось его аскетическое изящество с достаточно фундаментальными решениями. А когда инструмент нравится всегда появляется неустранимое желание найти ему достойное применение. Решение было очевидным — разработать под инструмент новое, ему достойное, философское мировоззрение.

Конкретно речь идет о весьма объемной работе лично мною искренне уважаемого Юрия Ивановича Кулакова «Теория физических структур» [1]. И ряде работ его учеников, прежде всего Геннадия Григорьевича Михайличенко. К примеру, его работа «Двумерные геометрии» [2]. На конкретно эти работы и будем ссылаться.

Это — одна сторона медали.

Другая сторона — общепринятые физические теории.

Конкретно это прежде всего классика ньютоновского универсума, эйнштейновский релятивизм, струнные теории и конечно квантовая механика. Все эти теории являются научными и каждая из них, в меру своей специализации и развитости, модельно описывают предмет познания науки — действительность. Из единства предмета описания неотвратимо следует необходимость их объединения в единую универсальную модельную базу. Как сейчас модно говорить — «теорию всего». Собственно, любая заявка на такого рода теорию, это и есть озвучивание посыла к необходимости пересмотра именно основ. Вопрос поставлен давно, но до сих пор не решен. Данная работа на его решение ни в коем случае не претендует. Это всего лишь парадигма. В какой-то мере упорядоченная схема или модель, возможный набор концепций и шаблонов мышления, включая гипотезы, методы исследования, постулаты и стандарты, в соответствии с которыми могут осуществляться последующие построения, обобщения и эксперименты в области основ физики. Предлагаемый философский подход и математический аппарат, может быть когда-нибудь кого-то и натолкнет на масштабное решение в рамках создания уже полноценной физической теории.

Классические модели

Правильнее было бы не просто перечислить модели общепринятых физических теорий, а изменение представлений в исторической перспективе. Но вопросы истории – это не только проблема неполноты исторических фактов, но проблема неограниченности истории в прошлое. Ограниченность объема статьи исключает роскошь детального исторического обзора. Ограничимся короткими, но важными штрихами. Начнем с текущего:

- лично меня привело в совершенный восторг начало современного учебника физики за 5 класс [3]. Весьма показательна и примечательна первая тема учебника:

- Мир, в котором мы живем.

Сразу, с детства ребенку внедряется в подсознание аксиома, что он «живет внутри» мира. Что «мир нас окружает». Я и сам долго в это верил. И пришлось набить очень много шишек, прежде чем появились сомнения.

А появилось это представление очень давно.

Первым значимым мировоззренческим обобщением в интересуемой области философии были работы Аристотеля [4], [5]. Объективно они и сегодня предопределяют философскую базу современной официальной науки. Это следствие как традиций, так и обучения. То есть, цивилизационный параметр. Изменения, за прошедшие более чем две тысячи лет, носят скорее косметический характер. Поэтому на воззрениях Аристотеля следует остановиться более детально.

О пространстве, как и о времени, Аристотель пишет в четвертой книге

«Физики» [5]. «Физическое» в трактовке Аристотеля связано с уяснением начал бытия в самом широком смысле этого слова. Природа для Аристотеля – это начало движения и изменения [5, с. 103], его понимание которого возможно только из прояснения вопроса о месте, пустоте и времени. Определяя место, Аристотель отрицает её тождество с формой, материей или протяжением [5 с. 131]. Аристотель отдает предпочтение следующей формулировке:

«…необходимо, чтобы место было…границей объемлющего тела… . Я разумею под объемлемым тело, способное двигаться путем перемещения» [5 с. 132]. У Аристотеля нет категории пространства, есть категория места. Это означает, по мнению философа, что пространства без тел не бывает, следовательно, в природе нет пустоты. Аристотель отрицает пустоту на том основании, что ее признание влечет за собой массу трудностей для понимания космоса. Многие философы, отмечает Аристотель, считают необходимым допустить существование пустоты, раз есть движение (атомисты), с другой стороны, отрицание пустоты приводит к отрицанию движения. Те и другие не правы: движение есть, но пустоты нет. Согласно Аристотелю, пространство состоит из мест, занимаемых телами. В понятии границы тела Аристотель различает границу самого тела и границу объемлющего тела. Последняя и будет местом. Поэтому место связано с движущимся телом, но оно с ним не перемещается. Итак, "место есть первое, объемлющее каждое тело" (5, с. 59). Если объемлющего тела нет, то вопрос о месте бессмыслен. Остается лишь граница тела, вовсе не предполагающая выход за свои пределы. Применительно к мирозданию это означает, что оно, будучи конечным, может нигде не находиться, не иметь своего места. Мысля мироздание в его границах, по Аристотелю вовсе не обязаны мыслить "заграницу". Мироздание нигде не находится. Предмет не тождествен своему месту, потому что место - это не граница предмета, а граница объемлющего этот предмет тела. Это тело также может иметь свое место. И так далее. Но не до бесконечности. Применяя наши образы, можно сказать, что ряд матрешек конечен, самую большую матрешку уже ничто не объемлет, а потому у нее нет места.

Эта мысль Аристотеля по-своему очень примечательная. Более того - фундаментальная. В том плане, что, к примеру, у Вселенной нет объема, поскольку Вселенную ничто не объемлет. Точно также, условно говоря, все множество всех физических структур является доструктурной сущностью на том же аристотелевском логическом основании, что нет её объемливающей структуры. К чему мы еще вернемся.

С категорией времени Аристотель связывает множество загадок. В каком смысле существует время? Да и существует ли оно. Ведь одна часть его в прошлом, другая - в будущем, всякое настоящее можно бесконечно сужать, так что от него непрерывно отходят прошлое и будущее, и если время существует, как же оно может состоять из несуществующих частей? (5, с. 76).

Парадоксально также аристотелевское взаимоотношение времени и движения. Время не существует без движения, но оно не есть движение. Время не есть движение, потому что время равномерно, движения же неравномерные, а если и равномерные, то одна равномерность более медленная, другая - более быстрая. Поэтому "время - мера движения" (5, с. 82). Но парадокс в том, что само время измеряется движением, которое есть мера времени. Итак, время - мера движения, а движение - мера времени. Попытка выхода из этого парадокса в том, что мерой времени является не всякое движение, а движение небесной сферы. Это равномерное круговое движение есть "круг времени" (5, с. 87). И вся проблема в том, что, есть ли «круг времени»? В том буквальном смысле - есть ли хоть один факт хоть одного возврата в исходную точку круга времени. В современной трактовке — есть ли хоть один достоверный факт хотя бы двух тождественных событий.

Если время - мера движения, то это предполагает число, ибо там, где есть мера, есть и число, число же должно кем-то считаться, поэтому время без души существовать не может, а если и может, то лишь потенциально, поскольку в объективных движениях есть "прежде" и "после". Считается, что данное место из Аристотеля - пережиток платонизма, якобы до конца не изжитый великим аналитиком. Вместе с тем Аристотель замечает, что время - причина возникновения и гибели лишь по совпадению, само время ничего не производит и не губит, но все возникает и погибает во времени. Платонизм платонизмом, однако привязка, как сейчас бы изложили, пространственно-временных представлений к душе, по-современному — сознанию наблюдателя, является фундаментально важной частью философии Аристотеля и находит самое живейшее отражение в многочисленных эссе современных ученых на тему наблюдателя и его роли в научном мировоззрении.

Аристотель дает свои философски значимые ответы о времени, как таковому, по кантовки «вещи в себе». К примеру:

"Теперь" - не часть времени, ибо частью измеряется целое, слагающееся из частей, "теперь" же не измеряет времени и время не слагается из "теперь". "Теперь" - это "крайний предел прошедшего, за которым нет еще будущего, и предел будущего, за которым нет уже прошлого" (5, с. 10). "Теперь" - это граница, которая как связывает, так и разделяет прошлое и будущее (правда, разделяет оно потенциально, лишь в том случае, когда в этом "теперь" процесс прекращается, актуально). Поэтому время и непрерывно, и прерывно. Поскольку "теперь" связывает, оно всегда само себе тождественно, а поскольку разделяет, оно не одинаковое, а разное. "Теперь" неделимое. Если бы оно было делимо, то при подвижности границы будущее заходило бы в прошлое, прошлое в будущее. В "теперь" нет ни движения, ни покоя, ибо в нем нет частей. Ведь мы говорим о покое, когда тело оказывается в одном и том же состоянии два момента, по одному моменту мы судить не можем, движется тело или нет. "Теперь" же одномоментно.

К размышлению - у Аристотеля "теперь" не часть времени, а лишь граница между будущим и прошлым, то у него должно было бы получиться, что время само по себе не существует в той мере, в какой уже не существует прошлое и еще не существует будущее, без объектной привязки и связанного с такой привязкой наблюдателя. В его философии важно уяснить, что понятие время является прямым выводимым следствием из понятия объекта. А понятие объекта не существует без понятия его движения, как сейчас пишут — динамики объекта.

Основную свою философскую догму Аристотель формулирует так: "Все движущееся должно необходимо приводиться в движение чем-нибудь" (5, с. 124). Неподвижный перводвигатель - это та основа, тот господин в его философии, само существование которого заставляет рабов следствий трудиться. Аристотель исходит из этой догмы как фундаментально важной аксиомы. Поэтому он аргументирует изложение не к перводвигателю, а от перводвигателя, который оказывается единственным критерием истины в вопросах движения.

Причинно-следственный механизм – это фундамент философии Аристотеля. Он был и остается фундаментом и современной науки.

Таким образом, Аристотель заложил очень мощный философский фундамент, в том числе и под современную науку. Но в его время не было достаточно развитого математического аппарата. И соединения философии и математики с рождением количественных модельных представлений не произошло.

Первое очень значимое модельное представление в науке связывается с именем Исаака Ньютона. Для этого он, вопреки собственным утверждениям, измыслил ряд гипотез. Одними из самых важных гипотез были представления об абсолютном пространстве и времени.

Абсолютное пространство — в классической механике — трёхмерное евклидово пространство, в котором выполняется принцип относительности при преобразованиях Галилея.

Термин введён Ньютоном вместе с концепцией абсолютного времени в «Математических началах натуральной философии» [6]. Пространство и время у него выступают в качестве универсального вместилища, обладающего отношениями порядка и существующие независимо как друг от друга, так и материальных тел:

…время и пространство составляют как бы вместилища самих себя и всего существующего. Во времени всё располагается в смысле порядка последовательности, в пространстве — в смысле порядка положения. По самой своей сущности они суть места, приписывать же первичным местам движения нелепо. Вот эти-то места и суть места абсолютные, и только перемещения из этих мест составляют абсолютные движения[6].

Вместе с тем Ньютон отмечал нечёткость обыденной терминологии:

Время, пространство, место и движение составляют понятия общеизвестные. …эти понятия обыкновенно относятся к тому, что постигается нашими чувствами. Отсюда происходят некоторые неправильные суждения, для устранения которых необходимо вышеприведённые понятия разделить на абсолютные и относительные, истинные и кажущиеся, математические и обыденные [6].

В качестве такого математического индикатора Ньютон ввёл особую, выделенную инерциальную систему отсчёта, относительно которой и происходит абсолютное движение. При этом он не считая её физической реалией, но писал о возможности привязки к каким-либо «неизменным» объектам — например, к неподвижным звёздам. Здесь и сейчас точно такая же привязка увязывается с реликтовым излучением, где в качестве выделенной абсолютной системы отсчета выступают его источники.

В отличие от объектного места и времени Аристотеля, пространство-время Ньютона трактуется как канонически отождествлённое с евклидовым пространством и евклидовым временем. Особенно с учетом существующей абсолютной системы отсчета.

Итак, первыми математическими моделями, внесенными в физику Ньютоном, были:
- одномерная евклидова модель времени,

- модель трехмерного евклидово пространства.

Исаак Ньютон был не только великим ученым, но и очень увлеченным теологом. Его изыскания в плане математического моделирования были поиском Бога в хаосе бытия. И очень удачными поисками. Модели Ньютона оказались настолько успешными, что до сих пор весьма активно применяются в решении очень многих прикладных задач.

Следующим великим прорывом в плане математического моделирования был эйнштейновский релятивизм. Важнейшим открытием был революционный переход от евклидовых отношений между элементами пространства и времени к псевдоевклидовым. В качестве базового в специальной теории относительности было предложено пространство Минковского ― четырёхмерное псевдоевклидово пространство сигнатуры (1, 3), как геометрической интерпретации пространства-времени специальной теории относительности. Интервал в пространстве Минковского играет роль, аналогичную роли расстояния в геометрии евклидовых пространств. Он инвариантен при замене одной инерциальной системы отсчёта на другую так же, как расстояние инвариантно при поворотах, отражениях и сдвигах начала координат в евклидовом пространстве. Роль, аналогичную роли вращений координат в случае евклидова пространства, играют для пространства Минковского преобразования Лоренца. Это были фундаментально новые структурные отношения, вошедшие в физику. В общей теории относительности постулируется еще и деформация пространства-времени. Эта деформация связана, в частности, с присутствием массы-энергии. Но о возникновении при этом новых структурных отношений умалчивается.

И подлинным математическим шедевром настоящего времени является теория струн. Это направление теоретической физики, изучающее динамику взаимодействия объектов не как точечных частиц, а как одномерных протяжённых объектов, так называемых квантовых струн. Теория струн сочетает в себе некоторые идеи квантовой механики и теории относительности. Теория струн основана на гипотезе о том, что все элементарные частицы и их фундаментальные взаимодействия возникают в результате колебаний и взаимодействий ультрамикроскопических квантовых струн на масштабах порядка планковской длины.

Одна из основных проблем при попытке описать процедуру редукции струнных теорий из размерности 26 или 10 в низкоэнергетическую физику размерности 4 заключается в большом количестве вариантов компактификаций дополнительных измерений. Бозонными считаются модель Венециано и модель Шапиро — Вирасоро (S-V) в размерности 26, модель Рамо́на — Невьё — Шварца (R-N-S) в размерности 10. Появились и различные суперструнные теории, которые представляют собой различные предельные случаи не разработанной пока 11-мерной М-теории. Теория не закончена, её развитие еще продолжается, хотя и не так активно, как при первоначальной эйфории. Пожелаем им удачи и успешного завершения столь трудной и важной работы.

Совершенно отдельно, особняком, в этом ряду стоит квантовая механика. Это фундаментальная физическая теория, которая описывает природу в масштабе, когда квантовые явления начинают экспериментально проявляться. В математически строгой формулировке квантовой механики состояние квантовомеханической системы представляет собой вектор, заданный в комплексном (сепарабельном) гильбертовом пространстве. При этом гильбертово пространство - это обобщение евклидова пространства, имеющего уже бесконечную размерность и полное по метрике, порождённой скалярным произведением.

Таким образом, начав с богоискательства, физика тут же перешла в фазу богоборчества, измышляя излишние сущности без необходимости и наделяя их совершенно разными свойствами в угоду своим математическим фантазиям. С одной стороны, в этом нет не только ничего нового и ничего страшного – мало ли каких еще фантомов наплодил сон разума. Не регистрируемого не существует и дальше сознания власть фантомов не распространяется. С другой стороны, через разум фантомы начинают править нами. И это уже серьезно.

Де факто, по состоянию на здесь и сейчас в моделях пространственно-временных отношений было использовано всего две основные структуры:

- модель евклидовых линейных отношений,

- модель псевдоевклидовых отношений.

Число структур можно увеличить с учетом их мерности. Для евклидовых отношений с единицы до бесконечности. Для псевдоевклидовых отношений – от двух (плоскость Минковского) до 26.

Конечно, несуществующее может наделять самыми разными свойствами, зачастую прямо противоположными, и ничего за это не будет. Но когда некая сущность объявляется действительной, хотелки приходится притормаживать. Именно поэтому теории струн приходится преодолевать очень много сложностей, в том числе связанных и с личностными факторами. Но это касается не только теории струн.

К примеру, когда объявляется пространство, как вместилище всего сущего и оно наделяется свойством одинаковости во всех своих локальностях, то, нравится это кому или нет, но придется объяснять его абсолютную твердость – из чего состоит и чем достигается.

Точно также, когда пространство событий объявляется искривляющимся от чего-то там – массы, заряда, энергии…, то, опять же, это объявление также должно сопровождаться объяснением почтенной публике секрета фокуса. Из чего состоит это пространство событий, каков механизм искривления. Мало приведения аналогий с батутом, надо раскрыть работу машины «батутоподобия» - чем и как натягивается, наделение какими атрибутами позволяют пространству прогибаться-растягиваться-сжиматься. А это наделение много будет хуже введения/исключения пресловутого эфира.

То же самое и с фокусом струн. Механизм их образования и «звона» должен быть детально расписан. Классического «представьте себе» маловато будет. Пока положение даже хуже, что со знаменитым законом всемирного тяготения Ньютона. Исааку хватило здравомыслия не искривлять пространство, не придумывать невидимые нити связи, не вводить обменные частицы, а лишь констатировать простейшую расчетную модель. Как минимум он знал, чего не знает. Его последователи не знали даже этого.

И совершенно удручает избирательность мышления. Напомним:

Кривизна пространства-времени — физический эффект, проявляющийся в девиации геодезических линий, то есть в расхождении или сближении траекторий свободно падающих тел, запущенных из близких точек пространства-времени.

Итак, согласно определению, имеем пару тел, близко расположенных в некий момент времени, внутри которых условные наблюдатели фиксируют условную невесомость. И со временем эти тела расходятся. Или сближаются. Это классика образа лифтов в гравитации. Или антигравитации. Собственно, гравитация именно таким образом и трактуется в ОТО. И вопрос лишь в том, что каким волшебным образом тела (лифты), имеющие ненулевые пространственные размеры, помещенные в это пространство, от него изолированы? Сами не искривляются, не растягиваются, не сжимаются. Почему их место, обозначая в терминологии Аристотеля, не относится к этому пространству, как более общей сущности? Почему собственное пространство эталон метра изолировано от этого искривляющегося пространства-времени и не искривляется вместе с ним?

Для философа ответ очевиден — такое исключения из правил принадлежности принято исключительно и только для заявления о фиксации факта искривления. Если бы место эталона метра изменялось бы как все остальное, никакого изменения зафиксировать было бы невозможно в принципе. Как пример — кривое зеркало. В отражении явное искривление. Но и отражение эталонного метра искривлено также. И сколько ни прикладывай искривленное отражение эталонного метра к искривленному изображению, никаких отклонений вы не измерите. Беда математиков в отсутствии критического мышления.

Никаким преобразованием координат и единичных реперов никакое физическое действие (в том числе в образе поля) не создается и не уничтожается.

Положение спасает только эмпирический факт, что никакие пространство само по себе, как таковое, никакими физическими приборами не регистрируется и не измеряется. А наделение фантома любым количеством любых свойств имеет значение исключительно и только для наделяющего такими свойствами.

В такой постановке исключительное значение приобретает вопрос — а что и как мы измеряем.

Измерения

Измерение — совокупность действий для определения отношения одной (измеряемой) величины к другой однородной величине, принятой всеми участниками за единицу, хранящуюся в техническом средстве (средстве измерений).

Другими словами, согласно данному определению, измерение есть установления количественного отношения, чего-то измеряемого к однородному эталону. То есть, измеряемое и эталон считаются относящимися к одной и той же сущности. Что крайне важно в модельном плане, который составляет основу всей рассудочной деятельности. Вот эта важность и требует внимательного и детального исследования, что и как измеряется.

Рассмотрим, как основные эталоны, так и связанные с ними измерения.

Секунда.

Последнее изменение определений основных единиц СИ 2018—2019 годов не затронуло секунду с содержательной точки зрения, однако из стилистических соображений было принято формально новое определение:

- Секунда, обозначение с, является единицей времени в СИ; её величина устанавливается фиксацией численного значения частоты сверхтонкого расщепления основного состояния атома цезия-133 равным в точности 9 192 631 770, когда она выражена единицей СИ Гц, что эквивалентно с−1.

При этом обязательно следует также учитывать принятое в 1997 году, на совещании Международного комитета мер и весов дополнение:

- это определение относится к атому цезия, не возмущённому внешними полями при температуре 0 К.

К 2030-му году планируется дать секунде другое определение, поскольку точность текущего перестала удовлетворять, к примеру, ГЛОНАС или GPS.

9,2 Ггц – это микроволновый диапазон, соответствующий в текущих волновых представлениях разностной частоте расщепления спектральных линий цезия, трактуемых как результат взаимодействия электронной оболочки атомов со спином ядра. Отклонение в цезиевых часах от заявленного идеала 9 192 631 770 герц обычно лежит в пределах 10−14 - 10−15, а в специальных достигает 10−17, что на данный момент является лучшей среди всех существующих типов часов такой конструкции.

Не важно, будет ли следующий эталон основан на гамма излучении тория-229 с очень низкой энергией возбуждения, или еще каком, но в любом случае процедура измерения времени шла, идет и будет идти через количественное сравнение двух физическими приборами регистрируемых множеств квантов действия – эталонного и измеряемого.

Итак, измерение времени – это всегда процедура физической регистрации квантованного действия. И ничего более.

Связанная с процедурой аксиоматика исторически менялась и будет меняться вместе с изменением господствующего мировоззрения, но технологическая схема, основанная на регистрации множеств квантов действия, изменению не подлежит, независимо от конкретной физики конкретных приборов.

Метр

Метр — длина пути, проходимого светом в вакууме за интервал времени 1⁄299 792 458 секунды.

Дело за малым – надо лишь заставить свет пройти этот метр. Пока ни у кого не получилось. В том сугубо физическом плане, что никто никогда никаким образом не регистрировал фотон (света) в пути. В том числе и на фундаментальном мировоззренческом основании привязки эталона метра к скорости света 2018—2019 годов принято изменение, не затронувшее определение метр с содержательной точки зрения. Однако из как бы стилистических соображений было принято формально новое определение, полностью эквивалентное предыдущему:

- Метр, обозначение м, является единицей длины в СИ; его величина устанавливается фиксацией численного значения скорости света в вакууме

равным в точности 299 792 458, когда она выражена единицей СИ м·с−1, где секунда определена через частоту перехода в цезии.

Поэтому новому определению уже нет необходимости ловить фотон в движении. Вполне достаточно эйнштейновского постулата о постоянстве скорости света.

С эмпирической точки зрения важна детализация процесса. Любое измерение любой длины есть все тоже сравнение эталона с измеряемым опять же через приборную регистрацию действий. Берется некая физическая пространственная структура, принимаемая за эталонную, традиционно называемая линейкой, и так или иначе накладывается на измеряемую структуру. Процедурно наложение заключается в физической регистрации совпадение начала (0) линейки с началом измеряемого объекта. Это первое регистрируемое в данном процессе измерения множество квантованного действия. Затем регистрируется количественное отношение эталона и измеряемого при совпадении с концом измеряемой структуры. Это второе обязательное физически регистрируемое в процессе измерения длины множество квантованного действия.

В антропной практике обычным регистрирующим техническим средством является глаз инструменталиста. Либо аналогичную функцию выполняет физический прибор. В результате создаются пространственные количественные модельные представления в духе ньютоновского «вместилища». При этом традиционно никого совершенно не смущает, что между регистрируемыми событиями «совмещения 0» и «отсчета показания линейки» проходит заведомо ненулевой промежуток времени. Более того, несложно показать, что отношение между этой парой физических событий времениподобное, поскольку взаимное перемещение эталонного и измеряемого объектов много меньше скорости света. То есть, между этими двумя событиями чисто пространственные соотношения невозможны даже в принципе. Утверждение – мы видим пространство, истинно только в рамках ньютоновского универсума. Согласно релятивистскому учению пространство увидеть невозможно. В лучшем случае видим лишь изотропное сечение (конус) пространства событий.

Однако с позиции детальной эмпирики значением имеет лишь то, что процесс «измерения пространства» по факту сводится ко все той же банальной регистрации пары множеств квантов действия. Один из них выше обозначен как событие «совпадение «0» линейки с началом измеряемой структуры». А второй как событие «считывания деления эталона при совпадении с концом измеряемой структуры». Как и в случае с «измерением времени», где время, как физическая измеряемая величина, «появляется» исключительно и только как способ обработки множеств из квантов действия, так и в случае с «измерением пространства», пространство, как физически измеряемая величина, точно также «появляется» исключительно и только как способ обработки тем или иным образом регистрируемых множеств из квантов действия. Но, естественно, по несколько отличному алгоритму.

Килограмм

Килограмм, обозначение кг, является единицей массы в СИ; его величина устанавливается фиксацией численного значения постоянной Планка h равной в точности 6,62607015⋅10-34.

Определение эталона килограмма через физическую константу постоянной Планка ничем не хуже определения метра через физическую константу скорости света.

Пока нет жесткого алгоритма, но в большинстве стран в качестве измерительного стенда склоняются к токовым весам Киббла. Это не принципиально важно, поскольку при любой методике на любых физических приборах любое взвешивание в конечном счете сводится к регистрации и сравнению двух множеств действий:

- действие эталонной структуры,

- действие измеряемой структуры.

Все снова сведено к регистрации множеств квантованных действий. Здесь процедура сводится к присущим только данному измерению особенностям численной обработки регистрируемых множеств.

Перечень эталонов и способов, связанных с ними измерений, можно продолжить. Но общий алгоритм уже обозначен. Всегда, во всех измерениях и всех связанных с ними процедурах идет физическая регистрация и модельное сравнение нескольких множеств квантованных действий. Как правило, не менее двух.

И ничего, кроме того.

Обобщая тему, следует заметить, что, как в наших органах чувств, так и во всех регистрирующих физических приборах без всякого исключения, регистрируется и в последующем обрабатывается исключительно и только множество квантованных действий.

Этот эмпирический факт позволяет сделать фундаментально важный вывод, что математическое моделирование в духе философии Аристотеля следует сосредоточить на квантованном действии. И более ни на чем. На том важнейшем основании, что ничего непосредственно не регистрируемого не существует. Конечно, если заняты именно наукой, предметом познания которой является действительность. В этом плане замечательно еще одно высказывание Аристотеля [4]:

КНИГА ДЕВЯТАЯ ГЛАВА ПЕРВАЯ

Итак, сказано о сущем в первичном смысле, т. е. о том, к чему относятся все другие роды сущего, именно о сущности. Ибо все другое обозначают как сущее, связывая его с мыслью о сущности: количество, и качество, и все остальное, о чем говорится как о сущем; в [мысли о] каждом из них должна содержаться мысль о сущности, как мы указали в наших предыдущих рассуждениях.

А так как о сущем говорится, с одной стороны, как о сути вещи, качестве или количестве, с другой - в смысле возможности и действительности, или осуществлении, то исследуем также более подробно различие между возможностью и действительностью; и прежде всего между нею и возможностью в самом собственном смысле слова, который, однако, не имеет значения для нашей настоящей цели. Ибо «возможность» и «действительность» простираются не только на находящееся в движении. Но, после того как мы скажем о возможности в этом смысле, мы при определении действительности, или деятельности, разъясним и другие значения возможности.

В другом месте мы уже разбирали, что "возможность", или "способность", и "мочь» имеет различные значения. Оставим без внимания все то, что есть способность только по имени. Ведь в некоторых случаях о ней говорится лишь по некоторому сходству, как, например, в геометрии мы говорим о чем-то как о способном и неспособном, поскольку оно некоторым образом есть или не есть [такое-то]. А все способности, относящиеся к одному и тому же виду, суть некоторые начала и называются способностями по их отношению к одной первой способности, которая есть начало изменения вещи, находящееся в другом или в ней самой, поскольку она другое. А именно: это, во-первых, способность претерпевать как заложенное в самой претерпевающей вещи начало испытываемого ею изменения, вызываемого другим или ею самой, поскольку она другое; это, во-вторых, обладание невосприимчивостью к худшему и к тому, чтобы быть уничтоженным чем-то другим или самой вещью, поскольку она другое, через начало, вызывающее изменение. Во всех этих определениях содержится мысль о первой способности. Далее, эти способности означают способности либо вообще делать или претерпевать, либо делать или претерпевать надлежащим образом, так что в мысли о них так или иначе содержатся мысли о способностях, указанных раньше.

Итак, ясно, что в некотором смысле способность действовать и претерпевать - одна (ибо нечто способно и потому, что оно само имеет способность претерпевать, и потому, что другое способно претерпевать от него), а в некотором она разная: ведь одна из них находится в претерпевающем (ибо претерпевающее претерпевает - причем одно от другого - потому, что в нем есть некоторое начало, а также потому, что и материя есть некоторое начало: жирное воспламеняемо, и определенным образом податливое ломко, и точно так же в остальных случаях, а другая - в действующем, например теплое и строительное искусство: первое - в могущем нагревать, второе - в способном строить. Поэтому, если в вещи то и другое от природы сращено, она сама не претерпевает от самой себя, ибо она одна, а не разное. Равным образом и неспособность и неспособное - это лишенность, противоположная такого рода способности, так что способность всегда бывает к тому же и в том же отношении, что и неспособность. А о лишенности говорится в различных значениях. А именно: она означает, во-первых, что нечто чего-то не имеет; во-вторых, что хотя чему-то свойственно иметь что-то от природы, однако оно не имеет его - или вообще, или тогда, когда ему свойственно иметь его, при этом либо определенным образом, например полностью, либо каким-нибудь [другим] образом. В некоторых же случаях мы говорим о лишении тогда, когда то, что от природы свойственно иметь, отнимается насильно.

Следует отдать должное гению мысли Аристотеля, схвачено главное:

- в некотором смысле способность действовать …

- сама не претерпевает от самой себя …

Итак, объект моделирования эмпирикой обозначен – квантованное действие.

Математический формализм

Определившись с объектом моделирования, следует определиться и с математикой. По состоянию на сейчас оптимальным представляется математический аппарат, разработанный Юрием Ивановичем Кулаковым со своими учениками, раскрытый в его книге «Теория физических структур» [1]. Воспроизвести его полностью не позволяет объем статьи. Отметим лишь важнейшие моменты.

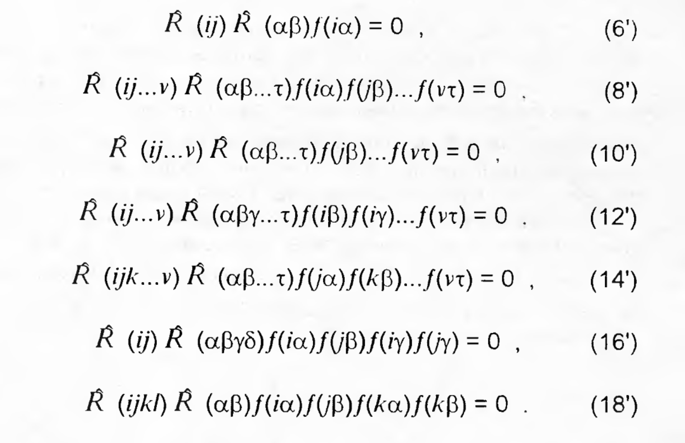
ТФС начинается с констатации, что предметом её исследования являются множества физических объектов, в общем случае имеющих самую различную природу. Отношения между двумя физическими объектами ею характеризуются числовой функцией двух нечисловых переменных, которая называется репрезентатором. Под термином «корт» в ТФС понимается конечная последовательность или конечный упорядоченный набор элементов, взятых из какого-либо множества. Целые натуральные числа, равные числу элементов в соответствующем корте, называются рангами кортов. В отличие от традиционной теоретической физики, где рассматриваются лишь отношения между отдельными физическими объектами, в Теории физических структур рассматриваются отношения между кортами. Такое отношение между двумя кортами характеризуется числовой функцией, называемой верификатором. В ТФС утверждается (Михайличенко [2], [7], что, если потребовать, чтобы непрерывная, достаточно гладкая функция отношений оставалась бы тождественно равной нулю при любом выборе нечисловых переменных, то при некоторых значениях из "хаоса" произвольных функций возникают упорядоченные линейные или дробно-линейные структуры.

В работах Г.Г. Михайличенко [7] стр.23 приведена полная классификация физических структур произвольного ранга:

Полученный результат сформулирован в локальном смысле, что и требуется. При этом получено четыре семейства регулярных физических структур и одна спорадическая структура Михайличенко. С подробностями доказательств и деталями выводов можно ознакомиться в оригинальных авторских работах [1], [2], [7].

Лирика

Попытаемся разобраться, подходит ли выбранный математический аппарат верификации для выбранной задачи моделирования квантованного действия. Одного классического утверждения, что математика опосредована от предмета исчисления маловато будет.

Ранее в рамках философских воззрений Аристотеля было введено понятие доструктурной сущности:

- все множество всех физических структур является доструктурной сущностью.

Детализируем, что сделать его математическим понятием. Прежде всего следует обратить внимание на то, что доструктурная сущность единственная. Если предположить обратное, что есть еще одна, другая доструктурная сущность, то в любом случае появляется необходимость их различения и установления некой границы - это одна доструктурная сущность, а это – другая. Но это уже есть установление структурного отношения между ними. А любое структурное отношение по определению (все множество всех физических структур является доструктурной сущностью) является внутренним отношением доструктурной сущности. В том числе и отношение доструктурной сущности к себе самой.

Далее, поскольку доструктурная сущность является закрытым множеством, не имеет внешних отношений к чему бы то ни было, то оно по определению не состоит из частей и не имеет границ. Следовательно, отношение дроструктурной сущности к себе самой является дифференцируемым и должно описываться достаточно гладкой функцией. Таким образом, к отношению доструктурной функции к себе самой возможно применение математического аппарата верификации в рамках бинарного отношения для одного множества и выводы ТФС применимы к доструктурной сущности.

Поскольку отношение множества к самому себе обязательно включает в себя в том числе и отношение тождества, то при матричном представлении таких отношений, что имеет место быть в ТФС, определитель, построенный на этих отношениях, должен быть равен нулю. Заурядное, совершенно не сакральное свойство, характерное для матричных исчислений закрытых множеств.

Физика

Вот теперь, когда имеем философскую базу и результативный математический аппарат, можно попытаться начать строить физику.

Строго говоря, в этой физике будет единственное множество собственно физических объектов – множество квантованных действий. Отношения между объектами внутри этого множества будет потенциально исчислимым через верификацию структур.

Элемент такого множества – квант действия, по предложенному алгоритму представляется в образе отношения доструктурной сущности к себе самой, имеющий неограниченное, но математически упорядоченное, структурированное множество отношений к другим таким же объектам.

Что каждый элемент множества, квант действия, уникален, отличен от других, можно пояснить на достаточно простой аналогии:

- представьте себя стоящим.

Ваше отношение с самому себе стоящему будет естественно тождественным. Но ваше отношение себя стоящему к себе же лежащему уже не будет тождественным. В то же время, ваше отношение себя лежащего к себе лежащему снова будет тождественным. Но это будет тождество, отличное от тождества отношения себя стоящего к себе стоящему.

И так далее.

Вместе с этим все это множества отношений вас к себе в любом случае будут характеризоваться неким общим параметром, поскольку это всегда будете вы и только вы.

Так и множество отношений доструктивной сущности к себе самой должны характеризоваться одним общим параметром принадлежности всех элементов к одному множеству. Такой параметр в физике носит название Постоянной Планка.

Наличие всего одного множества физических объектов не означает структурное единство или хотя бы конечную сложность. Ровно наоборот, из неограниченности исчисляемого ряда структур непосредственно следует бесконечная сложность множества квантов действия. Следовательно, принципиальная невозможность его полного познания. Но механизм исчисления любого конечного множества структур за конечное время дает возможность познания действительности с любой, наперед заданной степенью структурной сложности.

Мировоззрение

Парадигма структурной механики опускает человека разумного с высот богоравности на твердую почву конечности любого знания. Отныне человек не только знает, чего не знает, но сам будет решать, где и каким образом заканчиваются его знания.

С другой стороны структурная механика избавляет сознание человека от очень многих иллюзий. Прежде всего, от иллюзий глобализма.

Не существует, к примеру, глобальных структур. Это прямое следствие из понятия доструктурной сущности как «множества всех возможных физических структур». Все множество всех возможных структур проявляет себя как доструктурная сущность. В силу этого любая структура, в том числе и регулярная, в множестве квантов действия, проявляет себя исключительно и только локальным образом, причем так, чтобы это проявление в сочетании с проявлением любых остальных вело к бесструктурности. Следствием второго порядка из этого следствия является возможность математического исчисления верификации любой конечной структуры через равный нулю определитель как условно закрытое множество.

Другим вариантом следствия будет утверждение, что действие всего множества квантов действия равно нулю. А следствием второго порядка из этого следствия будет утверждение, что действие любого кванта действия нивелируется действием всех остальных квантов действия.

То есть:

- глобальное действие по любому действию, в том числе по действию каждого отдельного кванта, равно нулю.

Нравится кому или нет, но это почти дословное воспроизведение утверждения Аристотеля, что для любого движения обязательно есть среда и любое движение обязательно прекратится.

И его можно обобщить опять же до глобального — глобально движения не существует. Как и не существует глобальных событий.

Третьей стороной избавления от иллюзий глобализма становится утверждение о потенциальной возможности мировоззрения на любом уровне конечной структурной сложности.

В нашем сознании эта возможность эволюционно выработана и закреплена на уровне представлений о трехмерном мире пространства и одномерном времени, то и другое евклидового типа структурной сложности. Модель математически очень простая, быстро считается и позволяет делать короткие прогнозы, вполне достаточные для выживания вида. Для науки она оказалась слишком простой.

Модель практична и ничто не мешает её дальнейшему использованию. Все остальные множества квантованных действий в этой модели ассоциированы в виде различного рода объектов, начиная от частиц до волн и полей, насыщенных разного рода динамикой. И здесь снова возвращаемся к избавлению от иллюзий. Никакую модель конечной структурной сложности не надо абсолютизировать. Их применимость всегда локальна. Но, применяя их, не следует забывать как о недопустимости глобализации, так и факте существования множества иных моделей.

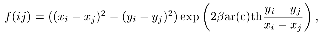
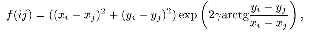
К примеру, Михайличенко Г.Г. [2]):

С точностью до масштабного преобразования ψ(f) →f и в надлежаще выбранной системе локальных координат (x, y) невырожденная метрическая функция (2.4), задающая на двумерном многообразии феноменологически симметричную геометрию (структурированное множество) ранга четыре со связью (2.5), может быть представлена одним из следующих одиннадцати канонических выражений:

-2

Уравнению 2.7 соответствует плоскость Евклида и, соответственно, физике ньютоновского универсума.

-3

Уравнение 2.8 - это двумерная сфера в трехмерном евклидовом пространстве.

-4

Уравнение 2.9 - это плоскость Лобачевского как двумерного двухполостного гиперболоида в трехмерном псевдоевклидовом пространстве.

-5

Уравнение 2.10 – плоскость Минковского, которой соответствует электродинамика движущихся тел А. Эйнштейна.

-6

Уравнение 2.11 – поверхность двумерного однополостного гиперболоида в трехмерном псевдоевклидовом пространстве.

-7

Уравнение 2.12 - симплектическая плоскость.

-8

Уравнение 2.13 - симплициальная плоскость.

-9

Уравнение 2.14 - псевдогельмгольцевая плоскость.

-10

Уравнение 2.15 - дуальногельмгольцевая плоскость.

-11

Уравнение 2.16 - плоскость Гельмгольца.

-12

Уравнение 2.17 - двумерная феноменологически симметричная геометрия на несвязном двумерном многообразии.

где β>0 и β≠1; ϒ>0; ɛi= 0, ±1; ɛj = 0, ±1, причем не обязательно ɛi= ɛj.

Михайличенко конечно отдает дань традициям, пишет о плоскостях, а не о локальных множествах. При этом, из одиннадцати двумерных структур в физических теориях явным образом использованы лишь две. Все остальные аккуратно скажем - подразумеваются в статистике случайных отклонений. И это всего лишь двумерные модели. Теоретическая физика не только не «закончена», но по серьезному лишь начинается.
С высоты структурной механики становятся очевидными и не замечаемые ранее ляпы физических теорий. К примеру, присмотреться «К электродинамике движущихся тел» А. Эйнштейна, то на той же постулированной базе и той же логике суждений можно столь же математически обоснованно сформировать утверждения:

- удлинении расстояний от скорости

- убыстрения времени от скорости.

При этом отношения на плоскости Минковского, как структурной модели, остаются теми же псевдоевклидовыми. В этом плане все без исключения общепризнанные физические теории — и ньютоновский универсум, и эйнштейновский релятивизм, и квантовая механика, и теория струн являются частными случаями структурной механики. Конечно, не в постулативной части, а как теории, основанные на конкретных структурных отношениях.

О детерминизме:

Конечность любого реального исчисления физически структур делает любое пролонгирование любого приборами опять же конечного регистрируемого квантового множества вероятностным. С другой стороны, каждый квант множества детерминирован. Нельзя ни отменить, ни изменить отношения любого из квантов действия ко всем остальным. Поэтому следует избавиться от иллюзии самообмана, что можно «придумать машину времени», «нырнуть в пространственно-временную червоточину», «изменить настоящее и будущее, воздействуя на прошлое». И мы сами, и любые наши машины есть локальное множество отношений между квантами, которые вне несуществующих пространства и времени.
Но в этом есть и фундаментальное преимущество — наш мир и мы в нем бессмертны. Умерев, мы родимся, проживем с точностью до каждого из квантов свою жизнь, совершим те же глупости и ошибки. И ничто этого не изменит и не отменит.

С чем вас поздравляем.

Что касается конкретно физики, то прогноз, естественно, вероятностный:

- можно еще неопределенно долго барахтаться в пространственно-временных игрушках, обрекая науку на стагнацию.

- смена поколений ученых и самоутверждение новых авторитетов с неизбежностью требуют и смены парадигм.

Рано или поздно такой парадигмой станет структурная механика.

П,С.
Конечно, и за десятую часть подобных высказываний студента выгнали бы из учебного заведения. Но, как есть.

Список литературы

1. Кулаков Ю. И. Теория физических структур. Москва, 2004. С.1-847

2. Михайличенко Г. Г. Двумерные геометрии. Барнаул. Горноалтайск, 2004. c.1-130

3. Степанова Г.Н. Физика. 5 класс. Санкт-Петербург. СТП Школа, 2013, С. 4-5.

4. Аристотель. Метафизика // Аристотель. Сочинения: в 4 т. / Т. 1. – М.: Мысль, 1976. С. 63-369.

5. Аристотель. Физика / перевод с древнегреческого Н.В. Брагинской // Аристотель.

Сочинения: в 4 т. / Т. 3. – М.: Мысль, 1981. С. 59-263.

6. Ньютон, И. Математические начала натуральной философии = Philosophiæ Naturalis Principia Mathematica : [пер. с лат.] / Исаак Ньютон ; ред. и предисл. Л. С. Полака ; пер. и комм. А. Н. Крылова. М. : Наука, 1989. С. 30-32.

7. Михайличенко Г. Г. Математический аппарат теории физических структур. Горно-Алтайск, 1997. С.1-145.