Найти в Дзене

ОГЭ-2025 по физике. Задача 21 (3). Столкновение брусков

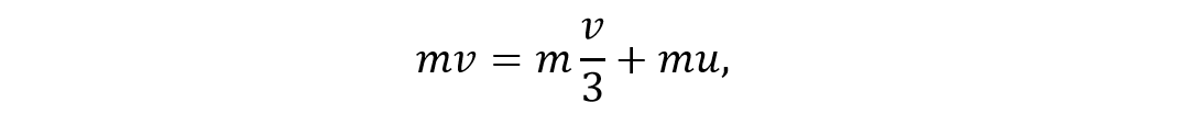
Полное условие задачи: Брусок массой 900 г, движущийся по гладкой горизонтальной поверхности со скоростью ʋ = 10 м/с, ударяется о такой же, но неподвижный брусок и теряет 2/3 своей скорости. Найдите количество теплоты, выделившейся при соударении брусков. Движение брусков считать поступательным. Краткое условие задачи: Решение задачи: Согласно закону сохранения импульса откуда скорость второго бруска после соударения Согласно закону сохранения энергии откуда количество теплоты, выделившееся при ударе, равно Ответ: 20 Дж.

Полное условие задачи:

Брусок массой 900 г, движущийся по гладкой горизонтальной поверхности со скоростью ʋ = 10 м/с, ударяется о такой же, но неподвижный брусок и теряет 2/3 своей скорости. Найдите количество теплоты, выделившейся при соударении брусков. Движение брусков считать поступательным.

Краткое условие задачи:

Решение задачи:

Согласно закону сохранения импульса

-2

откуда скорость второго бруска после соударения

-3

Согласно закону сохранения энергии

-4

откуда количество теплоты, выделившееся при ударе, равно

-5

Ответ: 20 Дж.