Добавить в корзинуПозвонить
Найти в Дзене
Спортс“

Суперкомпьютер просимулировал оставшиеся матчи ЛЧ. Два клуба уже обеспечили место в плей-офф, а у «ПСЖ» большие проблемы

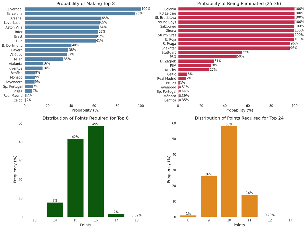
До окончания нового группового этапа Лиги чемпионов осталось провести всего два тура. В лиговой фазе уже сформировались лидеры и аутсайдеры, и если математически еще никто не квалифицировался в плей-офф, то три команды уже вылетели из турнира − «Лейпциг», «Слован» и «Янг Бойз». Футбольный болельщик сделал миллион симуляций оставшихся двух туров и сформировал два пула команд по вероятности того, что с ними произойдет. Первый − по шансам попасть в плей-офф напрямую через восьмерку лучших, второй − по вероятности вылететь из топ-24. Получилось, что «Ливерпулю» и «Барселоне» уже вообще не стоит переживать. Команда Слота набрала 18 очков, выиграв все матчи, а у парней Флика − 15 баллов. Стоит выделить «Мадрид», чьи шансы обойтись без дополнительных двух матчей оценили в 2%. Список команд, которые претендуют на скорый вылет, не удивляет − «Болонья», «Зальцбург», «Жирона», «Штурм», «Црвена Звезда», «Славия», «Шахтер Донецк». Шансы «ПСЖ» не попасть в топ-24 оцениваются в 50%, а «Ман Сити» − 27

До окончания нового группового этапа Лиги чемпионов осталось провести всего два тура. В лиговой фазе уже сформировались лидеры и аутсайдеры, и если математически еще никто не квалифицировался в плей-офф, то три команды уже вылетели из турнира − «Лейпциг», «Слован» и «Янг Бойз».

Футбольный болельщик сделал миллион симуляций оставшихся двух туров и сформировал два пула команд по вероятности того, что с ними произойдет. Первый − по шансам попасть в плей-офф напрямую через восьмерку лучших, второй − по вероятности вылететь из топ-24.

Получилось, что «Ливерпулю» и «Барселоне» уже вообще не стоит переживать. Команда Слота набрала 18 очков, выиграв все матчи, а у парней Флика − 15 баллов. Стоит выделить «Мадрид», чьи шансы обойтись без дополнительных двух матчей оценили в 2%.

Список команд, которые претендуют на скорый вылет, не удивляет − «Болонья», «Зальцбург», «Жирона», «Штурм», «Црвена Звезда», «Славия», «Шахтер Донецк». Шансы «ПСЖ» не попасть в топ-24 оцениваются в 50%, а «Ман Сити» − 27%.

Суперкомпьютер считает, что для попадания в топ-8 может хватить шестнадцати или даже пятнадцати баллов, а для топ-24 нужно набрать минимум 10 очков.