Добавить в корзину
Позвонить
Найти в Дзене
Войти
1С программирование - конспекты
98 подписчиков
Подписаться
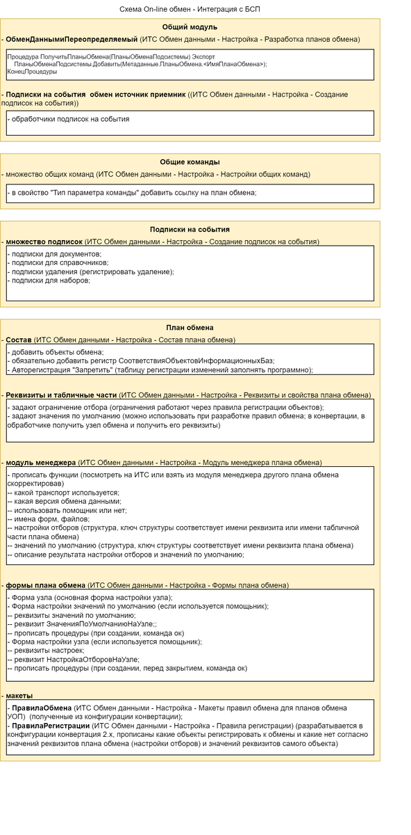
On-line обмен - Интеграция с БСП
13 декабря 2024
13 дек 2024
13
~1 мин
...
Читать далее
описание на ИТС;
обмен данными часть 3 (neti)
(настройки при интеграции БСП);
обмен данными часть 4 (neti)
(при разработке правил обмена, регистрации);
On-line обмен - Интеграция с БСП
On-line обмен - Интеграция с БСП
Содержание
Конвертация данных 2.х
2502164914.920.1779584935620.73343