Добавить в корзинуПозвонить
Найти в Дзене

Концепция и принципы работы Виртуального Оракула

Международный Институт Ноосферы, Российский Фонд Трансперсональной Психологии Представлена новая технология объективизации нелокальных информационных полей. Разработан качественно новый класс человеко-машинных регистрирующих систем — компьютерных виртуальных сканеров, или оракулов. Их работа базируется на том же принципе синхроничности, что и в традиционных гадательных системах, однако воплощенного с помощью современных технологий компьютерного численного моделирования и виртуальной реальности с использованием новейших идей квантовой механики, теории динамического хаоса и фрактальных множеств. Виртуальный сканер может использоваться для визуализации энергий в жилище и на местности (геомантического анализа), работы с глубинными психическими проблемами человека, а также в гадательных (мантических) целях. Представлена новая технология усиления концентрации оператора для повышения эффективности работы с виртуальным сканером. Рассмотрены возможные опасности, связанные с использованием Ораку
Оглавление

Е.А. Файдыш, А.В. Иванов

Международный Институт Ноосферы, Российский Фонд Трансперсональной Психологии

Представлена новая технология объективизации нелокальных информационных полей. Разработан качественно новый класс человеко-машинных регистрирующих систем — компьютерных виртуальных сканеров, или оракулов. Их работа базируется на том же принципе синхроничности, что и в традиционных гадательных системах, однако воплощенного с помощью современных технологий компьютерного численного моделирования и виртуальной реальности с использованием новейших идей квантовой механики, теории динамического хаоса и фрактальных множеств. Виртуальный сканер может использоваться для визуализации энергий в жилище и на местности (геомантического анализа), работы с глубинными психическими проблемами человека, а также в гадательных (мантических) целях. Представлена новая технология усиления концентрации оператора для повышения эффективности работы с виртуальным сканером. Рассмотрены возможные опасности, связанные с использованием Оракула.

1. Физические принципы гадательного процесса

1.1. Холистическая парадигма информационного взаимодействия

Подавляющее большинство современных устройств для изучения и объективизации биологических полей построены по традиционной технологии последовательной обработки сигнала. В этом случае сначала специальный чувствительный элемент (датчик) воспринимает сигнал, затем он анализируется, обрабатывается и распознается. Иными словами, используется атомистская парадигма «сначала расчленить, а затем собрать заново». Такой подход неплохо работает в привычной нам технике, однако плохо применим к сложным неравновесным системам, живым существам. Представьте себе, что вы получите, если сначала разрежете живое существо на мелкие кусочки, а потом попытаетесь их «собрать заново».

Особенностью всего живого является принципиальная «нерасчленимость». В этом случае невозможно выделить отдельные функциональные элементы (датчики, анализаторы и т.д.). Они как бы «размазаны» по всей системе в целом, не находятся в каком-то конкретном месте, также как на голограмме невозможно указать, где находится какой-то конкретный элемент изображения [1].

Такой «голографический», или, говоря более строго, фрактальный принцип организации характерен именно для живых объектов, сложных экологических и социальных систем. Лишь в последние десятилетия он начал проникать в современную технику, базируясь на качественно новой научной парадигме.

Соответственно, предлагаемая методика объективизации информационных полей построена на холистических принципах и современных концепциях квантовой механики, синергетики и теории фрактальных множеств.

1.2. Синхроничность

Другой, очень важный принцип нового поколения технологий объективизации информационных полей связан с акаузальным, или синхроничным взаимодействием. Именно он лежит в основе большинства гадательных систем и оракулов древности.

Важно подчеркнуть, что тут идет речь о качественно иных взаимодействиях, не укладывающихся в привычные рамки причинно-следственных связей. Какие, например, причинно-следственные связи могут существовать между подтеками кофейной гущи и ещё не наступившими событиями будущего? Или между рисунком трещин на панцире черепахи, брошенным в огонь, и событиями, происходящими за тысячи километров? Хотя синхроничность известна уже многие тысячелетия и активно используется в практической жизни многими поколениями людей, в научный обиход она была введена сравнительно недавно, в первую очередь благодаря работам К.Юнга [2].

Именно таким образом работают традиционные гадательные системы. В них, как правило, в качестве детектора используется хаотический процесс. Это может быть рисунок трещин, возникающих на кости, брошенной в огонь (гадание на бараньей лопатке, панцире черепахи). Сложные формы, образуемые внутренностями жертвенного животного, содержимое разбитого куриного яйца, вылитого в подсоленную воду, вихри воды в мельничном омуте, подтеки кофейной гущи и многое другое. Во всех подобных случаях возникает своеобразный проекционный экран, а в возникающих на нём формах можно увидеть требуемую информацию. Правда, её еще требуется истолковать. А это тоже непростая задача. В древности такой проекционный экран часто называли магическим зеркалом, отражающим события прошлого и будущего.

В другом классе гадательных систем интерпретация ответа немного проще. Там случайный процесс используется для выбора одного из множества заранее фиксированных вариантов прорицания или комбинации из фиксированных элементов предсказания (базовых архетипов). К подобным системам относится знаменитая китайская книга перемен «И Цзин» с её 64 гексограммами, рунический оракул, карты таро и многое другое. Детектором может служить выбрасывание монеток или костей, раскладка карт или рун, сложный комбинаторный перебор палочек тысячелистника и т.д.

И при использовании магического зеркала, и при выборе ответа из фиксированного набора вариантов очень большая роль отводится концентрации на задаваемом вопросе. Именно она «притягивает» нужную информацию и определяет успех гадательного процесса.

1.3. Квантовые модели физических объектов

Более глубокому пониманию природы синхроничности может помочь использование представлений квантовой механики. Исходя из квантовомеханических моделей физической реальности, все объекты нашего мира рассматриваются как волновые пакеты, «размазанные» по всему 4-мерному пространственно-временному континууму. В такой картине мира наша вселенная больше похожа на поверхность океана, покрытую бесчисленными волнами, проникающими друг в друга. Если каждый из нас — волна или, точнее сказать, волновой пакет, то и границы нашего тела достаточно условны.

Иными словами, только часть физического объекта заключена внутри того, что мы называем его поверхностью. Другая, хотя и значительно меньшая часть, определяется «хвостами» волновых функций. Она как бы «размазана» по всему нашему пространству. Как это не невероятно, какая-то часть нашего тела присутствует в любой точке нашего города, в любой точке нашей планеты, галактики, вселенной. Более того, в теле любого другого живого существа, населяющего нашу планету, есть частица нас. Понятно, что, с этой точки зрения, жесткая локализация неживых объектов и живых существ внутри границ их поверхности — во многом иллюзия нашего восприятия.

Такие же волновые функции описывают наше положение не только в пространстве, но и во времени. С этой точки зрения, какая-то частица нас находится и прошлом, и в будущем. Отсюда непосредственно следует, что в каждой точке настоящего присутствуют «хвосты» волновых функций, как удаленных объектов, так и объектов из далекого будущего и прошлого.

В этой квантовой картине реальности очень тесно могут быть связаны физические объекты и процессы, внешне вроде бы никак не взаимодействующие и разнесенные как в пространстве, так и во времени [3, 4]. Такие связи и были известны с глубокой древности как феномен синхроничности.

Подобного рода взаимодействия были экспериментально подтверждены и в современных исследованиях. Так, в книге Р.Шелдрейка [5] приводится пример с синтезом кристаллов безводного этилендиаминтартрата, который осуществлялся на нескольких заводах, расположенных в разных странах в удаленных друг от друга уголках нашей планеты. Когда на одном из заводов возник новый гидрат, испортивший поверхность кристалла, это явление тут же распространилось и на другие заводы.

Аналогичным является так называемый «эффект сотой обезьяны». Если в животной популяции, например, среде обезьян данного региона, тот или иной навык усваивает определенное критическое число животных, он мгновенно распространяется по всем другим стадам, не имеющим непосредственного физического контакта (например, находящимся на другом острове). Это может быть мытье картофеля, открывание бутылок с молоком и т.д.

Во всех подобных случаях мы сталкиваемся как раз с взаимодействием через 4-мерные квантовые волновые функции физических объектов, или с так называемым нелокальным взаимодействием.

Таким образом, оракул или гадательный процесс позволяют проявить нелокальное взаимодействие волновых функций из будущего или прошлого с настоящим. Или же между объектами, находящимися на большом расстоянии друг от друга.

1.4. Примеры синхронизмов

В качестве примера синхронизма можно привести ситуацию, произошедшую с нами в августе 2004 года в Шотландии. После участия в международной конференции по трансперсональной психологии, проходившей в Лондоне, мы с коллегами из России решили проехать по наиболее интересным каменным кругам Англии и Шотландии и, взяв машину напрокат, отправились в путешествие. В тот день, 24 августа, мы к вечеру подъехали к одному из самых любимых кругов, «Восточному цирку» (Easter Aquorthies) [6]. Так как он расположен в довольно глухой сельской местности, мы нашли его не сразу, а сначала попали на длинную пешеходную тропу. Парковка и вход на неё были точь-в-точь как у мегалитического комплекса. Поняв свою ошибку, мы поехали дальше и буквально через 300 метров нашли наш каменный круг.

Когда возвращались из него к парковке, начинало смеркаться, и было около 20 часов по местному времени (23 часа по московскому времени). Тут мы увидели двух полицейских, поднимающихся нам навстречу. Оказалось, они искали нас. Как выяснилось позже, кто-то позвонил в полицейский участок и сообщил, что видел в этом районе группу подозрительных людей. Их лидер нес дипломат, прикованный к руке наручником. Лидером «террористов» оказался один из авторов, в дипломате которого лежал компьютер, а вот где бдительные граждане углядели наручники, неизвестно.

Недоразумение быстро выяснилось, полицейские извинились и даже помогли нам найти недорогой отель в ближайшем городке. А вот утром, слушая новости во время завтрака, мы узнали другой, более глубокий смысл этого недоразумения. Оказывается, именно в то время, когда мы встретились с полицейскими у круга «Восточный цирк», в России произошел взрыв двух самолетов, захваченных чеченскими террористками. Как мы уже говорили, это было в 8 часов вечера по местному времени, или в 23 часа по московскому времени (между Шотландией и Москвой разница во времени 3 часа).

Если посчитать вероятность случайного совпадения этих двух событий, то она практически равна нулю. Особенно, если учесть, что за все время поездок по Западной Европе и Америке инцидент с полицией произошел первый раз. Так что тут мы имеем классический случай синхронизма.

Теперь попробуем разобрать его глубинное значение. Для этого сначала вернемся к лондонской конференции. Там у нас было два семинара, непосредственно связанных с проблемой глобализации, управляемым терроризмом и проблемами ченнелинга в виртуальной реальности. Также мы обсуждали тему апокалиптики в разных религиозных традициях, архетип антихриста и биометрическую идентификацию личности, число сатаны 666, многократно возвращаясь к технологиям управляемого терроризма — одного из основных инструментов нынешнего этапа глобализации.

Отсюда ясно, что с проблемой терроризма мы резонировали достаточно сильно, причем как откровенные противники тех теневых сил, которые им управляют. При этом понятно, что «мировая закулиса» вряд ли стала бы охотиться за нами с помощью полицейских, да еще в момент взрыва в небе России. Тут кажется более вероятной гипотеза, что за управляемым терроризмом стоят некие инфернальные силы, прорывающиеся в наш мир из тонкоматериальной реальности.

Естественно, основной прорыв происходит там, где разворачивается трагедия, гибнут люди. Но в этот же момент наносятся удары и по всем остальным важным точкам планеты, правда, уже не такие сильные. Понятно, что к ним принадлежат планетарные места силы, особенно те, где сохранились древние мегалитические сооружения. Внутри круга защищенное пространство, там нас достать не могли, попытка атаки началась за его пределами. При этом запустился классический сценарий подмены: обвинить борцов в том, с чем они борются. Вспомним поджог рейхстага, совершенный нацистами, но послуживший поводом для начала массового террора против коммунистов, социалистов и т.д.

Понятно, что «бдительные граждане» и полицейские никак не осознавали, в какой игре они участвуют. Они служили просто инструментами, управляемыми синхронизмами. А воздействие инфернального мира сдвигало равновесие в нужную сторону. Так, одним из поводов к звонку в полицию послужила иллюзия, что дипломат прикован к руке наручником. Теперь представим, что один из полицейских оказался психопатической личностью. Подогретый страхом терроризма, да ещё в сумерках, он вполне мог «увидеть», что кто-то из нас достает оружие, и открыть огонь на поражение. Так что нам еще очень повезло, что полицейские, посланные по наши души, оказались молодыми дружелюбными ребятами с вполне устойчивой психикой. Да и светлые энергии одного из самых сильных кругов Шотландии помогли развеять морок демонических сил.

Однако для нас этот случай совершенно однозначно показал, что за мировым терроризмом и чеченским в частности стоят демонические потусторонние силы, возможно, готовящие приход антихриста.

Вот еще несколько нумерологических «совпадений» из той же серии, что были при взрыве в Нью-Йорке — снова число 11: два самолета, взорванных одновременно — 11; две террористки — 11; почти полная аналогия с двумя башнями близнецов, вместе имевших форму 11. Места террористок были: №28 = 1 (Ту-134, Волгоград) и №19F = 1 (Ту-154, Сочи). Опять две 1, что снова дает 11 [8].

Другая разновидность синхронизмов, наблюдаемых в каменных кругах, проявляется как своеобразные проверки, испытания или инициации. Очень часто перед попаданием в круг возникают какие-то препятствия. Если вы их успешно преодолеваете, наградой является встреча с кругом. Если сходите с дистанции, значит, еще не готовы к этой встрече. Похожие ситуации описываются в сказках и мифах. Только пройдя огонь, воду и медные трубы, герой достигает заветной цели. Причем очень часто подобные препятствия появляются еще задолго до поездки в страну, где находятся мегалитические сооружения.

В качестве примера можно привести наше посещение другого очень сильного шотландского каменного круга «Лоунхед Девиот» (Loanhead of Daviot) [7]. Когда мы уже подъезжали к кругу, вдруг поднялся сильнейший ветер. Он был такой сильный, что мы еле вышли из машины. Стало пасмурно, казалось, приближается ураган. И хотя до круга надо было пройти каких-то 150 метров, возникло сильнейшее искушение плюнуть на все, сесть в машину и поехать обратно. Когда мы, наклонившись вперед и цепляясь за деревья, чтобы не сдувало, прошли метров 50, ветер стал стихать. А когда мы вошли в круг, прекратился вовсе, тучи рассеялись, и вышло солнце. Все время, пока мы находились в круге, стояла тихая солнечная погода.

2. Виртуальный Оракул — компьютерная реализация мантической системы

Изучение и анализ различных методов прорицания, фундаментальные работы К.Юнга и В.Паули [2] о синхроничности позволили нам подойти к пониманию механизмов получения нелокальной информации. Это дало толчок к разработке качественно нового класса компьютерных систем — виртуальных сканеров, или оракулов. Их работа базируется на том же принципе синхроничности, что и в традиционных гадательных системах, однако воплощенного на современной технологической базе с использованием новейших идей квантовой механики, теории динамического хаоса и фрактальных множеств.

Хотя создание виртуального сканера потребовало решения целого ряда сложных технических задач, принципы его работы достаточно просты. По сути, он представляет собой все то же «магическое зеркало», на котором формируется динамический образ, отображающий требуемую информацию. Это происходит примерно таким же образом, как расплавленный воск, вылитый в горячую воду, застывая, показывает ответ на поставленный вопрос. Разница только в том, что в традиционных гадательных системах используются неравновесные физико-химические процессы, а в виртуальном сканере неравновесная система моделируется с помощью системы дифференциальных уравнений. Ну и визуальные возможности виртуального «магического зеркала» несравненно шире, чем у любой из традиционных гадательных систем.

2.1. Представление об Оракуле как о человеко-машинной системе

В Виртуальном Оракуле сканируемое изображение (скан) является результатом взаимодействия человека-оператора и компьютера. При этом оператор выполняет две основные функции. С одной стороны, концентрируясь на вопросе, он работает как своеобразный фильтр, выделяя из гигантского спектра квантовых полей (волновых функций) информацию, связанную с интересующим процессом или объектом. С другой стороны, нажимая и отпуская кнопку компьютера, оператор запускает хаотический процесс ветвящихся бифуркаций и считывает его результаты, по которым формируется картинка (см. рис.1). Именно этот процесс и является детектором топологического резонанса, обеспечивающим информационное архетипическое подобие объекта и его скана.

В свою очередь, в компьютере алгоритмически воссоздается сам хаотический процесс — модель тех хаотических физико-химических систем, которые используются в традиционных гадательных системах (расплавленный воск, кофейная гуща и т.д.). Ну и, конечно, компьютером воссоздается сама виртуальная среда, формирующая сложное динамическое изображение скана.

Важно подчеркнуть, что, запуская и останавливая хаос (хаотический процесс), именно оператор порождает акаузальное, синхроничное взаимодействие. Его следствием является топологический резонанс, формирующий сканируемый образ. Отсюда ясно, что человек — важнейший элемент процесса сканирования. Иными словами, виртуальный сканер представляет собой не обычный регистрирующий прибор типа томографа или эхолота, а квантовую человеко-машинную систему.

Рис. 1. Механизм формирования изображения в виртуальном сканере.
Рис. 1. Механизм формирования изображения в виртуальном сканере.

Ранее исследования взаимодействия психики живых существ и алгоритмических процессов в компьютере проводились Р.Джаном [9] и, недавно, П.Фенвиком [10].

2.2. Хаотический процесс

Использование хаотического процесса делает систему более чувствительной, в отличие от других вариантов детектирования синхронизмов, использующих генератор случайных чисел (ГСЧ) или высокочастотный генератор числовых последовательностей (ВГЧП). В двух последних случаях детектирование происходит за счет выборки из равномерного случайного процесса. При этом используется только нейронно-мышечный уровень реакции оператора.

А в случае хаотического процесса за счет фиксации момента его остановки (отпускания кнопки), кроме мышечного, задействуется информационное взаимодействие между психикой оператора и алгоритмическим процессом. При этом скорость процесса на много порядков превышает скорость человеческой реакции, достигая 250 кГц (период порядка 4 мкс).

Весьма интересным и многообещающим представляется использование в Оракуле в качестве хаотического процесса физической системы, работающей в хаотическом режиме. Исследования в этом направлении ведутся в настоящее время.

Ниже представлены компьютерные модели траекторий в 3-мерном фазовом пространстве двух систем (без участия оператора): странного аттрактора и ГСЧ, см. рис.2 и 3 соответственно. Визуально более явно проявляется различие природы обоих процессов: в случае странного аттрактора — красивая топологически сложная картинка, в случае ГСЧ — случайное равномерное заполнение пространства.

Рис. 2. Траектория системы с хаотическим
процессом.
Рис. 2. Траектория системы с хаотическим процессом.
Рис. 3. Траектория системы с генератором
случайных чисел (ГСЧ).
Рис. 3. Траектория системы с генератором случайных чисел (ГСЧ).

Хаотический процесс в Оракуле алгоритмически реализован в виде двумерного отображения второго порядка:

Отображение (1).
Отображение (1).

Коэффициенты отображения (1) подобраны таким образом, чтобы отображение работало в хаотическом режиме и формировало странный аттрактор (см. рис.4) [11].

Рис. 4. Странный аттрактор, формируемый хаотическим отображением.
Рис. 4. Странный аттрактор, формируемый хаотическим отображением.

В качестве начального значения отображения берется случайное число из области значений отображения. Оно может определяться стандартной процедурой Random, возвращающей псевдослучайное число, или специальным алгоритмом, использующим, например, время запуска программы.

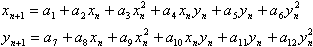
Хаотический процесс запускается при нажатии оператором на кнопку. При этом отображение начинает работать с частотой порядка сотен килогерц. Значения отображения в момент отпускания кнопки оператором, т.е. остановки хаотического процесса, используются для определения координат вектора сцены ai.

Исследование хаотических отображений более высоких размерностей является интересным с точки зрения возможных необычных эффектов топологического резонанса, связанных с их многомерностью. Кроме того, многомерные отображения позволяют полностью определить элементы сцены. Например, используя трехмерное отображение (2), значениям x, y, z можно ставить в соответствие координаты фигур в виртуальном пространстве скана. Трехмерное отображение второго порядка:

Отображение (2).
Отображение (2).

При алгоритмической реализации хаотического процесса возникает вопрос выбора отображения, проявляющего хаотические свойства, по его характеристикам: размерности n, порядку, показателю Ляпунова и фрактальной размерности F. В самом деле, любой странный аттрактор, достаточно сложный, при работе с сознанием является одним из компонентов взаимно настраиваемой системы. Пока эмпирически не найдено математических критериев выбора странных аттракторов, используются визуальные и психоэнергетические критерии.

2.3. Результат сканирования

Результатом сканирования является вектор сцены, Sn — пространство сцен размерности n, где n — число признаков, или конструктивных элементов сцены. Координаты вектора сцены определяются значениями хаотического отображения в момент его остановки оператором, нормированными к размеру библиотеки (тезауруса) i-го признака сцены. Таким образом, вектор a однозначно определяет сканируемый образ в пространстве сцен.

Мантическая система — Оракул — представляет собой недетерминированное отображение Х m-мерного пространства сканируемых объектов на n-мерное пространство сцен Sn. Отображение помимо хаотического процесса, включает функцию концентрации оператора. Введя метрику в пространстве сцен Sn и расстояние между сценами, можно проводить их кластеризацию по основным архетипам и последующий анализ.

Сцена представляет собой трехмерное динамическое изображение, получаемое с помощью современных компьютерных технологий моделирования виртуальных пространств. Такая объемная сцена состоит из фонового фрактального изображения и нескольких трехмерных фигур, которые выбираются из специальных библиотек в соответствии с координатами вектора сцены ai. Таким же образом выбираются другие элементы сцены: размер фигур, цвет и текстура их поверхности, закономерности вращения и траектории движения по экрану, сценарии изменения заданных траекторий во времени.

Также предусмотрена возможность пошагового построения сцены. В этом случае оператор, последовательно запуская и останавливая хаотический процесс, каждый раз определяет только один элемент сцены, пока сцена не будет определена полностью. Результат каждого шага отображается на экране, создавая в человеко-машинной системе визуальную обратную связь.

Учитывая большой размер используемых библиотек, каждая из которых содержит сотни и тысячи элементов, в итоге получается уникальный образ, визуально представляющий информацию об архетипе сканируемого объекта или вопроса. Кроме того, отдельные элементы сцены содержат множество нюансов, интерпретируемых в контексте основного архетипа.

Целесообразной является разработка специализированных тезаурусов для разных проблемных областей. Например, один тезаурус может использоваться для сканирования информационных полей Земли, другой — для работы с личностными проблемами, третий — для режима Оракула (сканирование прошлого и будущего) и т.д.

Базовая версия Оракула позволяет получать наиболее сложный визуальный образ динамического скана, дающий максимальную информацию о структуре информационных полей (© Е.Файдыш, 1994) [12-14]. Однако интерпретация такого скана достаточно сложна и требует глубокого знания архетипической символики (см. рис.5). Поэтому базовая версия Оракула используется нами при профессиональной работе и при исследовании информационных полей планетарных мест силы.

Для упрощения работы было создано несколько специализированных программ, в которых для представления основного архетипа используются древние системы знаков — скандинавские руны и знаки Кунта йоги (см. рис.6). Каждая руна или знак, проявляющие определенный архетип, имеют вербальное описание, что существенно облегчает интерпретацию результата сканирования. Однако, получаемая таким образом информация несколько беднее, чем в случае базовой версии.

Рис. 5. Изображение, отсканированное с помощью
базовой версии Виртуального Оракула.
Рис. 5. Изображение, отсканированное с помощью базовой версии Виртуального Оракула.
Рис. 6. Изображение, отсканированное с помощью
рунической версии Виртуального Оракула.
Рис. 6. Изображение, отсканированное с помощью рунической версии Виртуального Оракула.

2.4. Концентрация при сканировании

Огромная роль в процессе сканирования принадлежит психике человека. Именно концентрация на определенных аспектах окружения, ситуации, личностной проблемы позволяет выделить из бесконечного множества «хвостов» волновых функций те, которые имеют значение для сканируемого образа. Низкая концентрация, вызванная усталостью, плохим тонусом зачастую приводит к «случайным» результатам. И, наоборот, собранность и сосредоточенность, хорошая концентрация с большой вероятностью дают «хороший» результат. При этом, как уже говорилось раньше, происходит нелокальное взаимодействие психики человека, компьютера и волновых функций сканируемых объектов.

По этой причине была разработана специальная технология, предназначенная для подготовительного этапа — расслабления, избавления от отвлекающих факторов и усиления концентрации оператора. В ней используются традиционные Индийские и Тибетские мандалы, скомбинированные с визуальным логическим тестом (см. рис.7, 8).

Эта технология реализована в виде специального блока концентрации, работа с которым обычно предваряет использование непосредственно Оракула. В различных участках мандалы появляются цифры, последовательность и место появления которых либо случайные, либо специально рассчитываются в зависимости от мандалы. Цвет цифр соответствует китайской нумерологической традиции. Скорость изменения (время экспозиции) цифр и их размер подбираются индивидуально. От оператора требуется выполнять несложные действия, например, определять четность цифр, и нажимать соответствующие кнопки на клавиатуре. Определяя время реакции между началом экспозиции цифры и нажатием соответствующей кнопки, а также процент неправильных нажатий, система корректирует сценарий работы с оператором.

Подобная методика эффективно усиливает концентрацию, помогая лучше сосредоточиться на мандале и задаваемом вопросе.

Рис. 7. Шри-янтра.
Рис. 7. Шри-янтра.
Рис. 8. Ловушка для демонов.
Рис. 8. Ловушка для демонов.

3. Практическое применение Виртуального Оракула

Виртуальный Оракул, как в базовой версии, так и в последующих модификациях, используется на практике в повседневной жизни и в многочисленных экспедициях с 1997 года. За это время Оракул показал свою эффективность и более высокую информативность по сравнению с традиционными мантическими системами. Кроме того, исключительно важно, что представители различных древних духовных традиций — христианства, индуизма, буддизма, шаманизма — неизменно высоко оценивали результаты его работы.

Различные версии Виртуального Оракула были инсталлированы на портативный компьютер, что позволило сканировать информационные поля в различных точках земной поверхности (планетарных местах силы, древних культовых сооружениях), а также индивидуальные архетипические образы, связанные с личностными проблемами человека.

3.1. Геомантический и Кармический Оракулы

Для упрощения процесса интерпретации полученных при сканировании результатов нами были созданы две версии Виртуального Оракула, использующих архетипическую символику из традиционных гадательных систем. В первой из них применяются скандинавские руны («Виртуальный Оракул», © Е.Файдыш, А.Иванов, 1998; «Геомантический Оракул», © Е.Файдыш, А.Иванов, 2003). Эта версия может использоваться как для прогнозирования ситуаций, так и для сканирования энергий дома, офиса или на местности. Динамический скан, включающий руну, сопровождается ее вербальным описанием, помогающим разобраться в символике ответа. На следующем этапе сканирования возникает руническая мандала, помогающая скорректировать исходную ситуацию.

Пример такого сканирования показан на рис.9. Вопрос касался партнерских отношений. Как видно, при сканировании появилась руна Гебо. Это говорило о благоприятном прогнозе, что и было затем подтверждено дальнейшим развитием ситуации.

Рис. 9. Пример сканирования с помощью Виртуального Оракула.
Руна Гебо символизирует партнерство.
Рис. 9. Пример сканирования с помощью Виртуального Оракула. Руна Гебо символизирует партнерство.

В другой версии, Кармическом Оракуле, используются традиционные индуистские архетипы ямы-ниямы и соответствующие им знаки из Кунта йоги («Кармический Оракул», © Е.Файдыш, А.Иванов, 2001). С их помощью можно глубже разобраться в наиболее важных личностных проблемах, понять, как они связаны с энергией вашего дома и участка [15, 16]. Работая с архетипами ямы и ниямы, можно разобраться в глубинных кармических причинах, лежащих в основе большинства жизненных проблем, понять, как достичь внутренней гармонии и успеха [12, 16]. Полученные при сканировании кармические мандалы могут использовании при создании интерьера квартиры, как эффективный инструмент гармонизации жизненных энергий [12].

Пример использования Кармического Оракула показан на рис.10. В данном случае вопрос был связан с преодолением семейного кризиса. В результате появился знак брахмачарья, помогающий научиться контролировать сексуальную энергию и направлять её в нужное русло [12].

Рис. 10. Пример сканирования с помощью Кармического Оракула. Знак
брахмачарья помогает научиться контролировать сексуальную энергию.
Рис. 10. Пример сканирования с помощью Кармического Оракула. Знак брахмачарья помогает научиться контролировать сексуальную энергию.

3.2. Изучение информационных полей мест силы и тонкоматериальных сущностей

Еще одно применение Виртуального Оракула связано с визуализацией информационных полей, архетипов, связанных с тем или иным местом. Подобные практики также известны много тысячелетий. В них для визуализации обычно использовался неравновесный физико-химический процесс, аналогичный тем, которые применялись для гадания. Это могли быть вихревые структуры в жидкости, рисунок облаков, формы, возникающие в пламени или в пепле, и даже внутренности жертвенных животных. Большая роль придавалась и естественным формам, видимым в ландшафте. Иногда образы возникали в сознании видящего, находящегося в особом трансовом состоянии. Ну и, конечно, всегда очень важную роль играла концентрация на задаваемом вопросе.

Обычно полученные образы интерпретировались на языке различных видов жизненных энергий (пран, ци), духов местности, потоков энергии между нашим материальным миром и иерархией тонкоматериальных миров (тропы фей, дороги духов и т.д.). При этом широко использовалась архетипическая символика реальных и фантастических животных, небесных явлений и героев древних эпосов [17]. Их облик находили в формах ландшафта, а затем уточняли, кто это, с помощью оракула.

Естественно, чаще всего спрашивали о благоприятности места для жилища, строительства каких-либо сооружений, хозяйственной деятельности или бизнеса. Часто задавались вопросы о карме места, т.е. о событиях, происходивших там ранее. Если оказывалось, что с данным местом связано что-то трагическое или кровавое, оно считалось неблагоприятным для жилья. Но на нем можно было построить храм или часовню, чтобы трансформировать негативные энергии.

В нашей работе мы использовали Виртуальный Оракул как для целей геомантии (фен-шуй), так и для изучения энергий планетарных мест силы, мониторинга экологии информационной среды. В первом случае мы чаще всего работали с версиями кармического и рунического Оракулов, более простых в интерпретации [18].

Для изучения мест силы нами использовалась базовая версия Виртуального Оракула, воссоздающая наиболее богатую архетипическую символику. В качестве фонов в ней применялись специально отобранные фракталы, ряд сакральных изображений из основных религиозных традиций, картины художников. Динамическая компонента скана формировалась из набора трехмерных архетипических образов с множеством всевозможных цветов, текстур и размеров, а также траекторий движения.

Во время сканирования концентрировались на архетипе данного места в настоящее время или спрашивали о том, что здесь происходило в далеком прошлом. В отдельных случаях вопросы касались роли этого места в ноосферных процессах, его связи с иерархией тонкоматериальных миров.

При интерпретации скана учитывались архетипические образы, проявившиеся в это время в ландшафте, рисунке облаков, игре светотеней и т.д. Большая роль придавалась и синхронизмам, а также субъективным ощущениям, возникшим в момент сканирования. Так, например, отказ электроники (видео или фотокамер, портативных компьютеров, сотовых телефонов и т.д.) говорил о неблагоприятных энергиях в данном месте.

В особо важных случаях дополнительно использовались физические датчики, регистрирующие радиационный фон, амплитудно-частотный спектр электромагнитного излучения, уровень негэнтропии. Эта информация также учитывалась при интерпретации сканов. Чаще всего мы использовали подобные датчики при работе с мегалитическими сооружениями (каменными кругами, дольменами, лабиринтами и т.д.). При этом обычно проводилась и биолокация изучаемого места [19, 20].

Ниже приведены результаты только лишь малой части огромного множества сканирований, сделанных по данной методике в разных уголках нашей планеты. Предварительная апробация программы показала ее высокую эффективность при визуализации энергий, связанных с жилищем и ландшафтом.

3.2.1. Цунами в Каньякумари

В конце 2004 года мы были в экспедиции в Индии, и примерно в середине декабря оказались в самой южной точке страны, в городе Каньякумари. Это одно из самых священных мест Индуизма. По легенде около 10000 лет назад там жила богиня-девственница Каньякумари. Она победила в битве ужасного демона и спасла Землю от его тирании. Один из её основных храмов находится на маленьком острове, рядом с южной оконечностью мыса (см. рис.11). Это место, где она длительное время медитировала, и где остался на скале отпечаток её ноги. Храм производил впечатление очень гармоничного и благополучного места. Каково же было наше удивление, когда на сделанном там скане мы увидели тазобедренные кости скелета (см. рис.12).

Всё стало понятно только через две недели, когда мы услышали о страшном цунами (26 декабря 2004 г.) [21, 22]. Оказалось, что сильнейшая волна прокатилась через этот островок, и многие паломники погибли. Кадры цунами в Каньякумари, сделанные любительской видеокамерой, были показаны в телевизионных новостях. Сравнив их с нашими видеозаписями, сделанными во время экспедиции, было ясно видно, что, несмотря на огромную разрушительную силу волны, наиболее древние и святые храмы остались целыми. В то время как основная масса более поздних строений полностью разрушена.

Рис. 11. Храм Каньякумари до цунами.
Рис. 11. Храм Каньякумари до цунами.
Рис. 12. Сканирование, сделанное в храме Каньякумари за две недели до цунами.
Рис. 12. Сканирование, сделанное в храме Каньякумари за две недели до цунами.

3.2.2. Тайфун во Владивостоке

Начало августа 2001 г., Приморский край, п.Славянка. Скан и его описание предоставлены нашими коллегами из г.Владивостока, пользующимися Виртуальным Оракулом.

В результате встречи двух циклонов неожиданно зародился тайфун, который не был предсказан синоптиками. Тайфун вызвал шквальный ветер и сильный дождь. Речная протока соединилась с морем, и на месте, где проезжали машины отдыхающих, образовалась река шириной более 30 метров. В результате разлива наша группа оказалась отрезанной от «материка» и мы вынуждены были 3 дня ожидать окончания стихии. По всей вероятности, мы находились в самом месте «встречи», поскольку наблюдалось встречное движение туч: тучи одного циклона двигались по часовой стрелке, а тучи другого циклона — против часовой. На рис.13 фон в виде бабочки похож на два циклона, а движущаяся фигура в виде большого камня отражает динамику стихии. Руна Альгиз несет защитный смысл — так как от страха многократно читались молитвы во время разгула стихии.

Рис. 13. Сканирование, сделанное во время тайфуна во Владивостоке.
Руна Альгиз символизирует защиту.
Рис. 13. Сканирование, сделанное во время тайфуна во Владивостоке. Руна Альгиз символизирует защиту.

Упомянутая «бабочка» на фоне картинки — аттрактор Лоренца, один из первых открытых странных аттракторов, связанный с хаотическим поведением диссипативной системы дифференциальных уравнений метеорологической модели.

3.2.3. Экспедиция в Корнуолл

Одной из областей эффективного использования Виртуального Оракула является помощь в принятии решений в условиях недостатка информации. Очень показательным примером наилучшего решения является поиск ночлега в путешествии по Англии в августе 2004 г.

После научной конференции в Лондоне мы отправились на самый юг кельтской Англии, в Корнуолл, для полевых исследований древних мегалитических комплексов — каменных кругов. Из Лондона мы выехали в пятницу днем, рассчитывая прибыть на место поздним вечером, и заранее предполагали, что на выходных могут быть трудности с поиском ночлега. Кроме того, хотелось провести ночь в районе наибольшей концентрации каменных кругов, чтобы утром, не теряя времени на переезд, приступить к исследованиям. Было абсолютно неясно, в каком городе нам лучше покинуть автобус и искать жилье, поскольку никакой информацией о наличии свободных мест в гостиницах мы не располагали.

Было решено консультироваться с Оракулом перед каждым городом, в котором останавливался автобус. В результате осталось только два варианта — г.Плимут (Plymouth) и г.Пензанс (Penzance). Рассуждая логически, Плимут выглядел предпочтительнее. Он значительно крупнее, и вероятность найти в нем ночлег была гораздо выше, чем в курортном Пензансе. Но информация, полученная от Оракула, говорила о противоположном (см. рис.14 и 15). Действуя согласно Оракулу, мы отправились до Пензанса, где, к великой нашей радости, довольно скоро нашли свободный отель. По словам хозяина, незадолго до нашего приезда от него отказались гости, забронировавшие его заранее.

Рис. 14. Сканирование г.Плимут. Перевернутая
руна Райдо символизирует закрытый путь.
Рис. 14. Сканирование г.Плимут. Перевернутая руна Райдо символизирует закрытый путь.
Рис. 15. Сканирование г.Пензанс. Руна Ингуз
символизирует благоприятное завершение.
Рис. 15. Сканирование г.Пензанс. Руна Ингуз символизирует благоприятное завершение.

3.3. Возможные опасности, связанные с использованием Виртуального Оракула

К сожалению, любая новая разработка может быть использована не только во благо, но и во вред. Именно поэтому, создавая Оракул, мы старались максимально защитить систему от возможности использования для недобрых целей или же для получения деструктивной информации.

На наш взгляд можно выделить два возможных негативных аспекта, связанных с использованием Оракула.

Во-первых, это возможность вступления в контакт с некросферой (аналог спиритических сеансов). В этом отношении определённой защитой является создание в информационном пространстве компьютера среды из сакральных архетипических образов, которые отпугивают опасных тонкоматериальных сущностей (прет, бесов и т.д.).

Другой опасный аспект связан с возможностью использования Оракула как источника информации для вредоносных целей, черномагических ритуалов. Такие возможности, в принципе, возникают у любой оракульной системы. Однако если она настроена на верхние миры, насыщена сакральной символикой и архетипикой, вероятность такого использования резко снижается. Тот же принцип мы попытались вложить и в наш компьютерный Оракул.

Ну и конечно следует помнить, что Оракул — это человеко-машинная система. Поэтому основным фактором защиты от недобросовестного использования является сам человек-оператор, его нравственная и духовная чистота, глубокая религиозность.

4. Заключение

Представленная технология объективизации нелокальных информационных полей на практике показала свою высокую эффективность. Разработанные версии виртуального сканера используются для определения характеристик и гармонизации информационных энергетических полей в доме, в местах силы, для работы с личностными проблемами человека, а также в мантических целях. Все версии Оракула снабжены защитой от использования с деструктивными и вредоносными целями. Представленная технология усиления концентрации позволяет эффективно повысить сосредоточенность оператора для работы с Оракулом. В дальнейшем планируется создание специализированных библиотек архетипов и конструктивных элементов сцен. Проводятся исследования возможности использования в Оракуле физической системы, работающей в хаотическом режиме, в качестве информационного топологического детектора.

5. Список литературы

[1] Файдыш Е.А. Мистический космос. — М.: «Изд. Трансперсонального института», 1999.

[2] Юнг К. Синхроничность. — М.: Ваклер, 1997.

[3] Шустер Г. Детерминированный хаос. — М.: Мир, 1988.

[4] Проблемы гармонизации человечества. — Киев: 1995.

[5] Sheldrake A.R. A new science of life. The hypothesis of formative causation. — London: Blond and Briggs, 1981.

[6] Burl Aubrey. Stone Circles. — London: Yale Univ. Press, 1995, с.100.

[7] Там же, с.101.

[8] Газета «Комсомольская правда» от 28.08.2004.

[9] Джан Р.Г. Границы реальности. — М.: 1995.

[10] Peter Fenwick, Dr. "Chickens Don't Lie" // Network (Journal of the Scientific & Medical Network), December 1996, № 62, pp. 12-13.

[11] Julien C. Sprott. Strange Attractors. — New York: M&T Books, 1993.

[12] Файдыш Е.А. Карма и психотравмы. — М.: АЛМИН, 1995.

[13] Файдыш Е.А. «Природа времени, связь между настоящим и будущим». // Сознание и физическая реальность, том 3, №4, 1998.

[14] Архiтип. №1. — М.: «Открытый мир», 1996.

[15] Кунта йога. https://www.shalagram.ru/kunta/

[16] Файдыш Е.А Путеводитель по местам силы и параллельным пространствам. — М.: «Парад», 2004.

[17] Вонг Е. Фэн-шуй. — М.: Мосток, 1998.

[18] Файдыш Е.А. Техно Фен-Шуй. — М.: «Велигор», 2000.

[19] Gawn W. Megalithic Structures: Why. — Northern Ireland, 2002.

[20] FAYDYSH E. LABIRYNTH MANDALAS IN ECOLOGY OF NOOSPHERE. // "Earth Energy Matters". The journal of Britain Society of Dowsers — Earth Energy Group (EEG), Volume 7, Issue 28, December 2002.

[21] Scientific Background on the Indian Ocean Earthquake and Tsunami. http://iri.columbia.edu/~lareef/tsunami/

[22] Tsunami Affected Area In India. http://mapsofindia.com/maps/tsunami-in-india/tsunami-affected-area-india.html