Добавить в корзинуПозвонить
Найти в Дзене

ОГЭ-2025 по физике. Задача 22 (2). Выкипание воды

Полное условие задачи: В электрочайнике с сопротивлением нагревательного элемента 12,1 Ом находится некоторая масса воды при 20 °С. Электрочайник включили в сеть с напряжением 220 В и забыли выключить. Какова масса воды, находившейся в чайнике, если при КПД, равном 60%, через 11 мин вода полностью выкипела? Краткое условие задачи: Решение задачи: Работа электрического тока частично идет на нагревание воды и на обращение воды в пар Тогда КПД нагревателя равен Откуда находим массу воды: Ответ: 0,6 кг.

Полное условие задачи:

В электрочайнике с сопротивлением нагревательного элемента 12,1 Ом находится некоторая масса воды при 20 °С. Электрочайник включили в сеть с напряжением 220 В и забыли выключить. Какова масса воды, находившейся в чайнике, если при КПД, равном 60%, через 11 мин вода полностью выкипела?

Краткое условие задачи:

Решение задачи:

Работа электрического тока

-2

частично идет на нагревание воды

-3

и на обращение воды в пар

-4

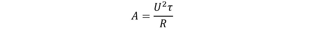
Тогда КПД нагревателя равен

-5

Откуда находим массу воды:

-6

Ответ: 0,6 кг.