Добавить в корзинуПозвонить
Найти в Дзене

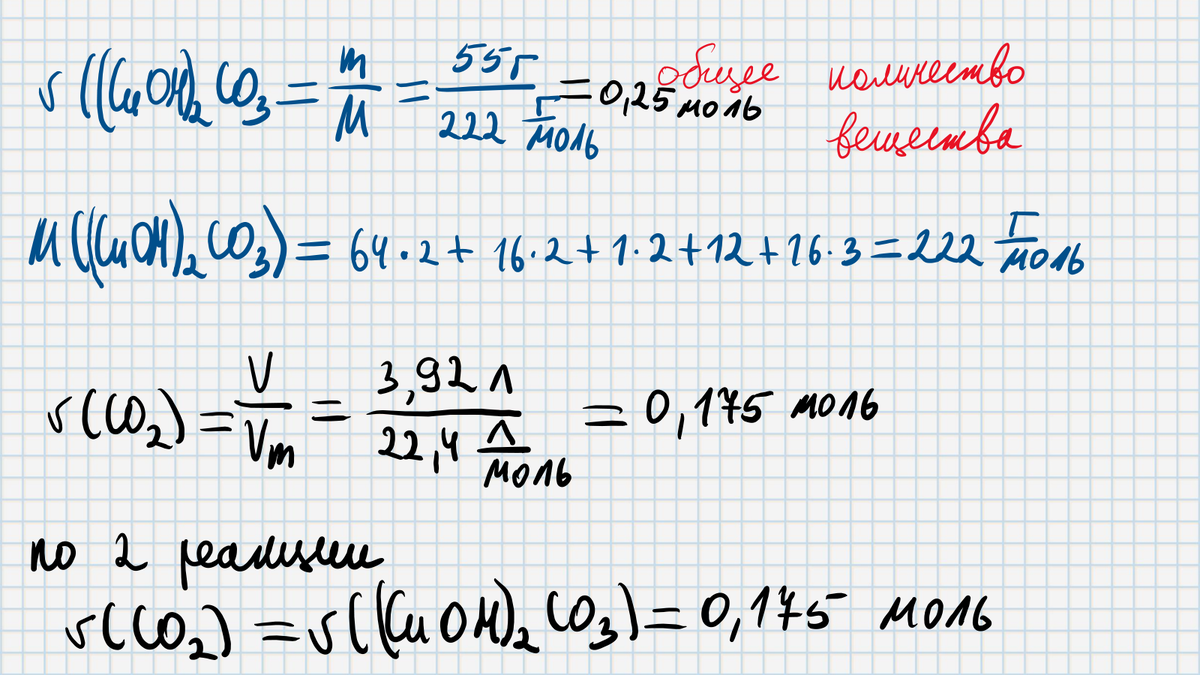
Решение 34 задачи ЕГЭ по химии 2025 года

Навеску основного карбоната меди (II) массой 55,5 г нагревали в течение некоторого времени. При растворении полученного твердого остатка в избытке соляной кислоты выделилось 3,92 л (н. у.) газа. Определите, сколько процентов вещества разложилось при нагревании.
Оглавление
Навеску основного карбоната меди (II) массой 55,5 г нагревали в течение некоторого времени. При растворении полученного твердого остатка в избытке соляной кислоты выделилось 3,92 л (н. у.) газа. Определите, сколько процентов вещества разложилось при нагревании.
-2
-3

Решение демоверсии ЕГЭ по химии 2025 года (первая часть)

Решение демоверсии ЕГЭ по химии 2025 года (вторая часть)

Решение демоверсии ОГЭ по химии 2025 года

Мой телеграмм канал для разбора теории школьного курса химии и подготовки к экзаменам https://t.me/renatchemist