Найти в Дзене

Сложение и вычитание смешанных чисел. Теория и примеры

Смешанным числом называется число, у которого есть ненулевая целая и дробная части. Чтобы сложить два смешанных числа, нужно отдельно сложить их целые части, и отдельно дробные. Рассмотрим пример: Чтобы сложить дроби 1/9 и 5/12, нужно сначала привести их к одному знаменателю. Для этого можно использовать прием разложения их на простые множители. Число называется простым, если оно делится только на само себя и на 1. Для приведения к общему знаменателю возьмем все простые множители из разложения первого знаменателя и добавим к ним недостающие множители из разложения второго знаменателя и умножим их на числители. Для того, чтобы вычесть из одного смешанного числа другое смешанное число, нужно из целой части одного числа вычесть целую часть другого числа, а из дробной части – дробную. Вроде бы, все просто, но есть нюансы. Рассмотрим пример: Поскольку мы из первых «скобок» вычитаем вторые «скобки», то мы вычитаем их полностью. То есть, вычитаем и число «1», и число «5/8»: Как вычесть из 1/
Оглавление

Сложение смешанных чисел

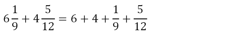
Смешанным числом называется число, у которого есть ненулевая целая и дробная части. Чтобы сложить два смешанных числа, нужно отдельно сложить их целые части, и отдельно дробные. Рассмотрим пример:

-2

Чтобы сложить дроби 1/9 и 5/12, нужно сначала привести их к одному знаменателю. Для этого можно использовать прием разложения их на простые множители.

Число называется простым, если оно делится только на само себя и на 1.
-3

Для приведения к общему знаменателю возьмем все простые множители из разложения первого знаменателя и добавим к ним недостающие множители из разложения второго знаменателя и умножим их на числители.

-4

Вычитание смешанных чисел

Для того, чтобы вычесть из одного смешанного числа другое смешанное число, нужно из целой части одного числа вычесть целую часть другого числа, а из дробной части – дробную. Вроде бы, все просто, но есть нюансы. Рассмотрим пример:

-5

Поскольку мы из первых «скобок» вычитаем вторые «скобки», то мы вычитаем их полностью. То есть, вычитаем и число «1», и число «5/8»:

-6

Как вычесть из 1/24 дробь 15/24? Нужно «занять» единицу у целой части, а именно, у 4:

-7

Не забудьте поставить лайк, если было интересно и полезно)