Добавить в корзинуПозвонить
Найти в Дзене

20.1 Автоматические системы управления технологическими процессами на базе ИИ. Реальность или недостижимая мечта?

Сегодня я хотел бы порассуждать и узнать ваше мнение о том, насколько мы далеки от автоматизированных до автоматических систем управления технологическими процессами. На бытовом уровне часто смешиваются понятия, и для начала рассуждения хотелось бы обозначить термины только для данного рассуждения: С автоматизированными и автоматическими системами всё просто: автоматизированные работают с участием человека, а автоматические — нет. Автоматическая система может быть частью автоматизированной, а наоборот — нет. Смогут ли когда-то классические автоматизированные системы переползти со своей оси координат на ось координат автоматических систем — многие уверены, что этому поможет искусственный интеллект. Мы говорим именно об искусственном интеллекте, его отличает от искусственного разума то, что искусственный интеллект (ИИ) — это набор инструментов, которые решают сложные задачи, в то время как искусственный разум (ИР) — это искусственная личность, способная осознавать себя, иметь желания и с

Сегодня я хотел бы порассуждать и узнать ваше мнение о том, насколько мы далеки от автоматизированных до автоматических систем управления технологическими процессами. На бытовом уровне часто смешиваются понятия, и для начала рассуждения хотелось бы обозначить термины только для данного рассуждения:

С автоматизированными и автоматическими системами всё просто: автоматизированные работают с участием человека, а автоматические — нет. Автоматическая система может быть частью автоматизированной, а наоборот — нет. Смогут ли когда-то классические автоматизированные системы переползти со своей оси координат на ось координат автоматических систем — многие уверены, что этому поможет искусственный интеллект.

Мы говорим именно об искусственном интеллекте, его отличает от искусственного разума то, что искусственный интеллект (ИИ) — это набор инструментов, которые решают сложные задачи, в то время как искусственный разум (ИР) — это искусственная личность, способная осознавать себя, иметь желания и самостоятельно ставить конечные цели. То есть ИИ — это всего лишь набор инструментов!

Когда я учился в университете, нам читали лекции по старым учебникам — каково было моё удивление, когда в списке элементов ИИ, наравне с искусственными нейронными сетями, нечёткой логикой, генетическими алгоритмами я увидел конструкции «IF…ELSE»! От источника к источнику это понятие и его содержание может изменяться, поэтому лично для себя я выделил некоторое ядро, которое можно считать ИИ, но границы этих технологий для меня остаются нечёткими, как и границы fuzzy logic.

Также хотелось бы отметить, что «доверие» и «уверенность» не являются идентичными и взаимозаменяемыми. Очень часто из-за их тесной взаимосвязи понятия используются неправильно. Важно, чтобы пользователь понимал различие между этими понятиями. Уверенность с точки зрения отдельного лица связана с убеждением, что он обладает доверием к оцениваемому объекту, тогда как доверие связано с доказанной способностью данного объекта обеспечивать выполнение цели безопасности.

В нашем контексте мы говорим именно про «уверенность»! Ведь именно про уверенность говорят, когда спрашивают: «А ты точно знаешь, что твоя нейросеть выдаст тот результат, который ты ожидаешь?» В таких ситуациях возникает мысль: а почему мы так уверены в наших классических алгоритмах и математических конструкциях?

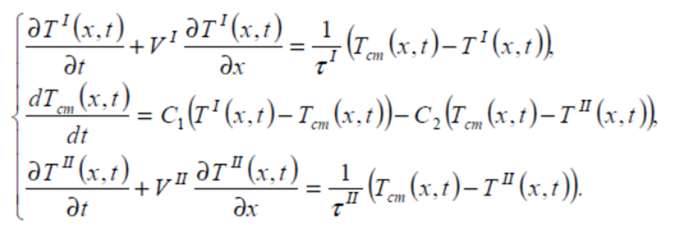
На иллюстрациях два примера: первый скриншот — это фрагмент лекции, который я позаимствовал у своего студента, где описывается структура примитивной искусственной нейронной сети (ИНС), а второй скриншот — это простейшая система дифуров пластинчатого теплообменника, модель которого мы собирали, чтобы упражняться над созданием адаптивного ПИД-регулятора на основе fuzzy logic. На мой взгляд, в грубом приближении, в данном случае ИНС выглядит куда более понятной.

-2
-3

ИНС — это всего лишь набор элементарных математических функций (сигмоида, ReLu и т.д.) и матрица весов (коэффициентов), соединяющих эти функции — ничего сакрального. Нечёткая логика — это всего лишь переход от строгого бинарного деления true-false к чему-то промежуточному. Генетические алгоритмы — это перебор параметров с особым подходом новых параметров для подстановки.

Исходя из вышеописанных рассуждений, я считаю, что ИИ — это те же классические методы, в которых мы «уверены», но им предана новая обёртка, новый «интерфейс» взаимодействия с человеческим пониманием и вовлечённостью.

Но, как и в других сферах, в техническом управлении, люди со здоровым опасениям относятся к «революциям» и положительно подходят к «эволюционному развитию». Поэтому оптимальным и видится трек развития, когда мы применяем методы ИИ в качестве помощника, например: «Системы помощи принятия решения», которая является одной из разрабатываемых компонент открытых платформ промышленной автоматизации (ОППА). На основе реальных данных и цифровых двойников система выдаёт рекомендации оператору в том или ином виде: на что ему нужно обратить внимание. Так мы оставляем последнее слово за опытом оператора, но помогаем ему направить свой опыт туда, где он больше всего необходим.

А как вы считаете? Что станет вехой, обозначающей то, что мы максимально приблизились к автоматизации не только ручного, но и умственного труда?

Оставляйте комментарии под статьей и мы сформируем в мастерской дискуссионный клуб, где обсудим реальные векторы развития автоматических систем управления.

Виталий Олейников. Мастерская автоматизации комитета по обустройству месторождений ИНТИ