В прошлом коротком посте мы разобрали, как решить кубическое уравнение. Но откуда взялась это формула? Это мы и разберём Чтобы понять данный материал, требуется знание: И в принципе всё. В следующих постах рассмотрим всё это поподробнее
В прошлом коротком посте мы разобрали, как решить кубическое уравнение. Но откуда взялась это формула? Это мы и разберём Чтобы понять данный материал, требуется знание: И в принципе всё. В следующих постах рассмотрим всё это поподробнее
...Читать далее
В прошлом коротком посте мы разобрали, как решить кубическое уравнение. Но откуда взялась это формула? Это мы и разберём
Чтобы понять данный материал, требуется знание:
Теоремы Виета
Откуда берётся Дискриминант
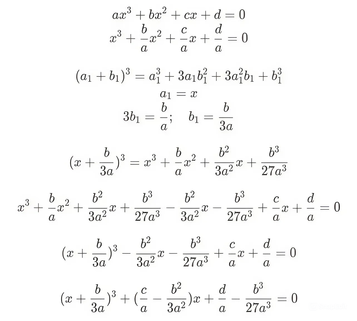
Без лишних слов, переходим к выводу:
И в принципе всё. В следующих постах рассмотрим всё это поподробнее