Добавить в корзинуПозвонить
Найти в Дзене
html сервисы и приколы

Кредитный калькулятор-онлайн: функционал, расчёты и программные решения

Кредитный калькулятор — это удобный инструмент для анализа параметров займа. Он позволяет пользователю не только рассчитывать параметры аннуитетного и дифференцированного кредитов, но и визуализировать зависимости, например, изменение ежемесячного платежа при изменении срока кредитования. В этой статье мы разберём функционал созданной программы, ключевые приёмы расчёта, а также особенности программной реализации. Калькулятор предлагает пользователю: Сумма кредита.
Процентная ставка.
Срок кредита (в месяцах).
Дополнительные платежи (например, страховка или комиссии).
Тип кредита: аннуитетный или дифференцированный.
Погашение основного долга.
Плата по процентам.
Дополнительные отчисления.
Определение полной суммы кредита (включая переплаты и дополнительные расходы).
Расчёт общей переплаты в рублях и процентах.
Формирование таблицы графика платежей.
Построение графика зависимости ежемесячного платежа от срока кредита для заданной суммы.
Аннуитетные платежи равномерны на протяжении все
Оглавление

Кредитный калькулятор — это удобный инструмент для анализа параметров займа. Он позволяет пользователю не только рассчитывать параметры аннуитетного и дифференцированного кредитов, но и визуализировать зависимости, например, изменение ежемесячного платежа при изменении срока кредитования. В этой статье мы разберём функционал созданной программы, ключевые приёмы расчёта, а также особенности программной реализации.

Функционал программы

Калькулятор предлагает пользователю:

  1. Ввод основных параметров кредита:

Сумма кредита.
Процентная ставка.
Срок кредита (в месяцах).
Дополнительные платежи (например, страховка или комиссии).
Тип кредита: аннуитетный или дифференцированный.

  1. После нажатия кнопки "Рассчитать", программа выполняет:
    Расчёт ежемесячных платежей, включая разделение их на основные части:

Погашение основного долга.
Плата по процентам.
Дополнительные отчисления.
Определение полной суммы кредита (включая переплаты и дополнительные расходы).
Расчёт общей переплаты в рублях и процентах.
Формирование таблицы графика платежей.

  1. Визуализация:

Построение графика зависимости ежемесячного платежа от срока кредита для заданной суммы.

Ключевые приёмы расчёта

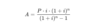
1. Аннуитетный кредит

Аннуитетные платежи равномерны на протяжении всего срока кредита. Их расчёт основан на формуле:

-2

Где:

  • A — ежемесячный платёж;
  • P — сумма кредита;
  • i — месячная процентная ставка (годовая ставка/12/100);
  • n — срок кредита в месяцах.

Логика в программе:

  • Ежемесячный платёж рассчитывается единожды.
  • На каждом шаге цикла определяется:

Процентная часть (остаток долга⋅i).
Основной долг (A−проценты).

  • Остаток долга уменьшается на величину основного платежа.

2. Дифференцированный кредит

Дифференцированные платежи уменьшаются с каждым месяцем, поскольку основная часть долга равномерно распределяется на весь срок кредита.

Формулы:

  • Основной платёж (Pосновной):
-3

Проценты (Pпроценты):

-4

Итоговый платёж за месяц:

-5

Логика в программе:

  • Основной платёж постоянен.
  • Проценты рассчитываются для остатка долга, который уменьшается ежемесячно.
  • Итоговый платёж складывается из основной части и процентов.

3. Переплата и полная сумма кредита

Переплата рассчитывается как разница между общей суммой выплат и взятым кредитом:

-6

Процент переплаты:

-7

Полная сумма кредита включает:

  • Все ежемесячные платежи (основной долг, проценты).
  • Дополнительные расходы (страховка и комиссии).

4. Построение графика

Для визуализации зависимости ежемесячного платежа от срока кредита программа:

  1. Рассчитывает ежемесячный платёж для сроков от 12 до 360 месяцев (с шагом 12).
  2. Строит график с помощью библиотеки Chart.js:Ось X: срок кредита.
    Ось Y: ежемесячный платёж.

Ключевые элементы программной реализации

1. HTML-форма для ввода данных

Форма предоставляет пользователю удобный интерфейс для ввода параметров кредита и выбора его типа. Код:

<form method="post">
<label>Сумма кредита (руб):</label>
<input type="number" name="loan_amount" required><br><br>

<label>Процентная ставка (%):</label>
<input type="number" name="interest_rate" required step="0.01"><br><br>

<label>Срок кредита (месяцев):</label>
<input type="number" name="loan_term" required><br><br>

<label>Дополнительные платежи (руб):</label>
<input type="number" name="additional_fees" value="0"><br><br>

<label>Тип кредита:</label>
<input type="radio" name="loan_type" value="annuity" checked> Аннуитетный
<input type="radio" name="loan_type" value="differentiated"> Дифференцированный<br><br>

<button type="submit" name="calculate">Рассчитать</button>
</form>

2. PHP-код для расчётов

Логика расчёта реализована в зависимости от выбранного типа кредита. Основной алгоритм разбивается на:

  • Расчёт платежей (аннуитетный или дифференцированный).
  • Формирование графика платежей.
  • Подготовка данных для визуализации.

3. Визуализация с использованием Chart.js

Chart.js — это мощная библиотека для построения графиков. В нашем случае используется линейный график:

new Chart(ctx, {
type: 'line',
data: {
labels: [12, 24, 36, ..., 360],
datasets: [{
label: 'Ежемесячный платеж (руб)',
data: [платёж_12мес, платёж_24мес, ..., платёж_360мес],
borderColor: 'rgba(75, 192, 192, 1)',
backgroundColor: 'rgba(75, 192, 192, 0.2)',
borderWidth: 2,
tension: 0.3
}]
},
options: {
responsive: true,
scales: {
x: { title: { display: true, text: 'Срок кредита (месяцы)' }},
y: { title: { display: true, text: 'Ежемесячный платеж (руб)' }}
}
}
});

Выводы

Созданный кредитный калькулятор — это мощный инструмент для анализа условий займа.

Он:

  • Позволяет пользователю рассчитать параметры кредита с учётом дополнительных платежей.
  • Помогает визуально оценить влияние срока кредитования на ежемесячный платёж.
  • Удобен для изучения как аннуитетных, так и дифференцированных схем погашения.

Этот проект демонстрирует не только финансовые расчёты, но и возможности интеграции клиентских и серверных технологий для решения реальных задач.

Полный код программы здесь: https://sergsergius.ru/forum/topic/%d0%ba%d1%80%d0%b5%d0%b4%d0%b8%d1%82%d0%bd%d1%8b%d0%b9-%d0%ba%d0%b0%d0%bb%d1%8c%d0%ba%d1%83%d0%bb%d1%8f%d1%82%d0%be%d1%80-%d0%be%d0%bd%d0%bb%d0%b0%d0%b9%d0%bd-php-%d0%ba%d0%be%d0%b4/#postid-249

Оценить работу кредитного калькулятора можно здесь: https://sergsergius.ru/%d0%ba%d1%80%d0%b5%d0%b4%d0%b8%d1%82%d0%bd%d1%8b%d0%b9-%d0%ba%d0%b0%d0%bb%d1%8c%d0%ba%d1%83%d0%bb%d1%8f%d1%82%d0%be%d1%80-%d0%be%d0%bd%d0%bb%d0%b0%d0%b9%d0%bd/