Найти в Дзене

Технические, метрологические и коммерческие риски при учете природного газа в промышленности

Справедливость расчетов за поставляемый природный газ в определяющей степени зависит от технической надежности работы приборов учета газа в процессе эксплуатации и их метрологической надежности, под которой в данной статье понимается обеспечение заявленной точности измерения в реальных условиях. Важность обеспечения технической надежности работы приборов учета газа как одного из основных факторов, исключающих необоснованные расходы потребителей, на конкретном примере показана в работе [1]. Приведенные в ней расчеты показывают что даже для небольшого предприятия с потреблением газа всего 50...100 м³/ч дополнительные затраты при выходе прибора учета газа из строя составят более 300 тыс. руб. в месяц. Соответственно, экономия при покупке более дешевого узла учета газа неясного качества у непроверенного поставщика, не обладающего необходимыми компетенциями и не обеспечивающего необходимую техническую поддержку выпускаемой продукции в процессе эксплуатации, может в дальнейшем обернуться мно

Справедливость расчетов за поставляемый природный газ в определяющей степени зависит от технической надежности работы приборов учета газа в процессе эксплуатации и их метрологической надежности, под которой в данной статье понимается обеспечение заявленной точности измерения в реальных условиях.

Важность обеспечения технической надежности работы приборов учета газа как одного из основных факторов, исключающих необоснованные расходы потребителей, на конкретном примере показана в работе [1]. Приведенные в ней расчеты показывают что даже для небольшого предприятия с потреблением газа всего 50...100 м³/ч дополнительные затраты при выходе прибора учета газа из строя составят более 300 тыс. руб. в месяц. Соответственно, экономия при покупке более дешевого узла учета газа неясного качества у непроверенного поставщика, не обладающего необходимыми компетенциями и не обеспечивающего необходимую техническую поддержку выпускаемой продукции в процессе эксплуатации, может в дальнейшем обернуться многомиллионными убытками. Именно поэтому рекомендуется рассматривать выбор узла учета, приобретаемого на долгие годы, прежде всего в разрезе рисков его выхода из строя в процессе эксплуатации и возможностей оперативного ремонта. При этом нелишне отметить, что для безотказной работы даже самого качественного, технически сложного оборудования, например автомобилей, станков, технологических линий, необходимо создать соответствующие условия. Для приборов учета газа прежде всего требуется обеспечить качество фильтрации измеряемой среды, то есть контролировать состояние фильтров и своевременно чистить или заменять фильтрующие элементы, а также регулярно выполнять регламентные работы в соответствии с требованиями руководств по эксплуатации на данные изделия. Эти несложные операции позволят при их своевременном проведении обеспечить длительную и безотказную работу устройств.

Однако не менее важным фактором для обеспечения справедливых расчетов за газ, под которыми понимается оплата потребителем именно того объема газа, который он в действительности получил от поставщика, не больше и не меньше, является метрологическая надежность приборов учета газа в процессе эксплуатации (рассмотрению этого вопроса посвящена статья [2]). И ее подтверждение – вопрос гораздо более сложный. Расходомеры-счетчики некоторых типов, все более широко применяемые в составе промышленных узлов учета газа, могут показывать отличные метрологические характеристики при их испытаниях на расходомерных стендах. Однако их показания при тех же расходах газа в реальных условиях эксплуатации, при воздействии постепенного загрязнения, механических вибраций, акустических шумов, искажений потока в газопроводах, при наличии в среде конденсата или частиц льда (в зимних условиях) и так далее, могут существенно отличаться от стендовых, причем далеко не всегда в пользу потребителя. И если загрязнение прибора еще можно будет потом увидеть при проведении очередной метрологической поверки (хотя «грязные» приборы перед проведением поверки сначала чистят, чтобы не повредить метрологические стенды, и только потом тестируют), то погрешности узлов учета газа, проявляющиеся именно в условиях эксплуатации, можно выявить только одним способом – методом сличения показаний прибора, по которому имеются подозрения, с прибором, на который данные влияющие факторы априори не действуют. В частности, хорошо известно, что у ультразвуковых расходомеров-счетчиков, наряду с их несомненными достоинствами (отсутствием подвижных частей, малой потерей напора, широким диапазоном измерения расхода и т.д.), имеются и потенциальные недостатки, например, повышенная чувствительность к искажению потока газа через измерительное сечение, зависимость показаний от уровня акустических колебаний газа в трубопроводе, механической вибрации, электромагнитных помех и т.д. Причем она потенциально тем выше, чем меньше отношение «полезный сигнал – шум», которое зависит не только от параметров измеряемого газа (прежде всего плотности, являющейся функцией состава газа, его температуры и давления), но и от степени загрязнения излучателей-приемников ультразвукового сигнала. А это, в свою очередь, предопределяет повышенный риск того, что указанная дополнительная погрешность может увеличиваться в процессе эксплуатации.

Цель данной статьи – оценка метрологических рисков применения промышленных приборов учета газа (от G100 и более), использующих расходомеры-счетчики газа наиболее распространенных типов – ротационные, турбинные, ультразвуковые.

Ротационные и турбинные счетчики газа применяются в качестве приборов учета многие десятки лет. Их достоинства и особенности эксплуатации хорошо известны потребителям и поставщикам газа. Поэтому перечислим их максимально коротко.

Основными преимуществами ротационных счетчиков газа являются:

  • прямой метод измерения, заключающийся в переносе со входа на выход мерных объемов газа, равных объемам измерительных камер приборов. При этом каждому рабочему циклу данных устройств (повороту выходного валика), регистрируемому герконом, индуктивным или оптическим датчиком, соответствует строго определенный объем газа при рабочем давлении;
  • энергонезависимость механического счетного устройства;
  • широкий динамический диапазон измерения расходов (до 1:250);

Кроме того, принцип действия счетчиков обеспечивает возможность измерения не только стабильных, но и пульсирующих расходов газа, что позволяет, в частности, вести учет газа на входе газовых котлов с импульсным режимом горения.

Динамический диапазон измерения расходов турбинных счетчиков газа существенно уже — от 1:10 (1:20) при малых диаметрах газопроводов (до 50 мм) и низких давлениях до 1:30 (1:50) при диаметрах газопроводов до 300–400 мм, средних и высоких давлениях. Кроме того, турбинные расходомеры можно применять только для измерения постоянных или плавно меняющихся расходов газа, например, в поселковых ГРП, где газ подается одновременно многим потребителям и, соответственно, статистически невозможно резкое изменение мгновенного расхода газа. При этом несомненным преимуществом турбинных счетчиков газа является их компактность, малая металлоемкость, малая чувствительность к искажениям потока газа и длительный режим безотказной работы, в течение которого сохраняются метрологические характеристики.

Отличительной особенностью ротационных и турбинных счетчиков газа является наличие подвижных частей, определенная чувствительность к загрязнению. Кроме того, ротационные счетчики имеют ограниченную устойчивость к пневмоударам, которые возможны, например, при пуске газа, в случае несоблюдения персоналом технологических инструкций. Однако эти особенности приборов хорошо изучены, и за время их эксплуатации разработан эффективный комплекс мер по минимизации влияния отмеченных факторов как на надежность работы приборов данной группы, так и на достоверность их показаний. Соответствующие рекомендации подробно описаны в руководствах по эксплуатации и вкратце сводятся к следующему:

  • периодический (не реже одного раза в месяц) контроль за состоянием газовых фильтров устройств формирования потока и счетчиков газа в соответствии с требованиями ГОСТ Р 8.740-2023;
  • обеспечение регламентного обслуживания ротационных и турбинных счетчиков газа с периодичностью и в объеме, указанном в эксплуатационной документации предприятия-изготовителя;
  • исключение пневмоударов при пуске газа через ротационные счетчики газа, для чего применяются, в частности, клапаны медленного открытия, а также шаровые краны с предоткрытием и полным открытием.

При выполнении указанных требований ротационные и турбинные счетчики газа безотказно работают 5 и более лет, а общий срок их службы составляет не менее 20 лет. При этом метрологическая надежность их работы приближается к 100%, а метрологические риски появления дополнительных погрешностей в процессе эксплуатации, тем более таких, которые нельзя выявить при очередной поверке счетчика, минимальны и не превышают долей процента. Неслучайно поэтому межповерочный интервал турбинных счетчиков газа TRZ, находящихся в эксплуатации по настоящее время, был доведен до 10 лет, а ротационные счетчики всех ведущих российских производителей уверенно и неоднократно проходили и проходят очередные метрологические поверки через 5 лет.

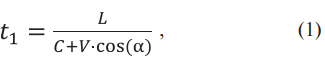
Другая ситуация в эксплуатации возможна в случае применения в качестве приборов учета газа ультразвуковых расходомеров-счетчиков. Приборы данного типа стали широко применяться для учета газа только в последние 10–15 лет. Рассмотрим этот метод измерения подробнее. В его основе лежит измерение разности времен прохождения ультразвуковых импульсов по потоку и против потока газа (рис. 1).

Рис. 1. Принцип работы ультразвукового датчика расхода
Рис. 1. Принцип работы ультразвукового датчика расхода

Два чувствительных элемента (пьезоэлектрические передатчики-приемники П1 и П2) расположены на противоположных сторонах корпуса под определенным углом к направлению потока. Каждый из них работает попеременно как приемник и как передатчик. Ультразвуковые импульсы излучаются под углом α к направлению потока газа. Время прохождения импульса в направлении потока газа (прямое направление) равно:

-2

а в направление против потока газа (обратное направление):

-3

де L — измерительное расстояние (акустический путь), м;
V — скорость газа, м/с;
С — скорость звука, м/с.

Отсюда:

-4

Таким образом, для расчета скорости газа необходимо знать только времена прохождения сигнала, измерительное расстояние и угол установки.

Объемный расход газа Qv вычисляется по формуле:

-5

где S – площадь поперечного сечения датчика расхода, м2.

Из формулы (3) видно, что изменения скорости звука в результате колебаний давления или температуры при этом способе измерения не влияют на измеряемую скорость газа. Таким образом, погрешность измерения объема проходящего через измерительное сечение газа ультразвуковым методом напрямую зависит от погрешности измерения указанных времен t1 и t2 в прямом и обратном направлении.

Как показано в работе [3], ультразвуковые сигналы, передаваемые поочередно приемниками П1 и П2, представляют собой пачку импульсов длительностью порядка 4 мкс на частоте 125 кГц. При этом «принятый датчиком-приемником измерительный сигнал в виде волновых цугов имеет сложную форму, образованную сложением двух гармонических колебаний с близкими частотами и разными амплитудами» (осциллограммы сигналов представлены в данной статье), что требует для выделения полезного сигнала достаточно сложных аппаратных и программных решений. Кроме того, как также отмечено в упомянутой статье, «измерительная задача усложняется, а метрологическая надежность прибора снижается» при наличии в газовом потоке механических примесей и жидких включений различной дисперсности, которые существенно увеличивают уровень шумовой составляющей. «При этом с течением времени в реальных условиях эксплуатации расходомеров чувствительная поверхность ультразвуковых преобразователей постепенно покрывается смолистыми и парафиновыми отложениями, дополнительно снижая значение соотношения „сигнал — шум“».

Все это требует «применения методов цифровой фильтрации и идентификации информационной составляющей сигнала» [3]. Однако насколько успешно данная задача решена, тем более в реальных условиях эксплуатации, при наличии уже перечисленных выше влияющих факторов, могут показать только длительный опыт эксплуатации и проведенные в необходимом объеме сличительные испытания. А пока этот опыт далеко не всегда положительный. В частности, известны многочисленные случаи, когда после замены «традиционного» узла учета (на базе ротационного или турбинного счетчика газа) на ультразвуковой потребители, при сохранении тех же газопотребляющего оборудования и режимов его работы, сталкивались с тем, что газопотребление по данным приборного учета возрастало. Причем иногда достаточно существенно: на 10–20%, а порой и больше. Пример возникновения подобной ситуации представлен на рис. 2.

Рис. 2. Пример осциллограмм выделения полезного сигнала
Рис. 2. Пример осциллограмм выделения полезного сигнала

Полезный сигнал в ультразвуковых, так же как в вихревых, струйных автогенераторных и целом ряде других расходомеров-счетчиков жидкости и газа, использующих пьезоэлектрические сенсоры, выделяется из «естественного» сигнала путем отсечения шумовой составляющей в предположении, что уровень шума находится заведомо ниже порогового значения. Это является достаточно простой задачей, когда отношение «сигнал — шум» большое, например, больше 1 : 10. Такая ситуация, как правило, всегда обеспечивается во время измерения расхода газа при высоких давлениях, например, больше 1...2 МПа (10...20 бар). Однако с уменьшением плотности газа, что характерно для проведения измерений при малых давлениях газа и при переходе с измерения расхода воздуха на измерение расхода природного газа, плотность которого при тех же давлении и температуре в 1,6...1,9 раза меньше (в зависимости от состава природного газа), ситуация кардинально меняется. В этом случае отношение «полезный сигнал — шум» уменьшается до критических значений: всего до 1:2...1:5, иногда и менее, что требует использования соответствующих технических решений, в частности, описанных в статье [3].

Однако если в стендовых условиях или в эксплуатации при отсутствии воздействия влияющих факторов подобные решения успешно работают, как показано на рис. 2а и 2б, то кто даст гарантию, что данные решения обеспечат такое же успешное отделение полезного сигнала от шума при наличии, например, существенной акустической помехи, механической вибрации или электромагнитных помех, особенно на критических частотах? Тем более, что амплитуда шумового сигнала складывается из большого количества составляющих, соответственно, носит стохастический характер и может достигать критического значения, превышающего уровень порога срабатывания прибора нерегулярно и непредсказуемо. А в условиях, когда по причине естественного загрязнения в процессе эксплуатации уровень полезного сигнала с течением времени постепенно уменьшается, опасность возникновения ситуации, когда компаратор прибора вместе с полезным сигналом пропустит ложные импульсы, как показано на рис. 2в и 2г, со временем эксплуатации только увеличивается. А «пропуск» на выход устройства каждого такого импульса – это дополнительная оплата реально не потребленного газа. Причем если «проскочит» один такой ложный импульс на 10 полезных, переплата составит 10%, в случае двух ложных импульсов – 20% и т.д. Имеет ли это место в действительности, неизвестно. Ответить на этот вопрос однозначно может только проведение упомянутых выше сличительных испытаний. При этом данные испытания дадут только ответ на вопрос: соответствуют ли показания ультразвукового счетчика газа своим паспортным значениям на момент испытаний. Именно поэтому, по нашему мнению, применение ультразвуковых расходомеров-счетчиков для учета газа на промышленных предприятиях, при низких давлениях газа и высоком уровне возможных шумов, – это своеобразная лотерея. А в лотерею, как известно, выигрывают только единицы.

Еще одной особенностью ультразвуковых счетчиков газа является то, что они своими ультразвуковыми лучами «сканируют» только локальные зоны измерительного сечения. Соответственно, при наличии до или после прибора гидравлических сопротивлений (кранов, колен, уступов, сужений и т.д.) может возникать существенная (до 10% и более) дополнительная погрешность. Чтобы ее исключить, применяют многолучевые схемы измерения, перед счетчиками устанавливают струевыпрямители потока (иногда называемые турбулизаторами) и удлиняют прямые участки до и после счетчика газа. Но все это не только существенно удорожает стоимость установки такого узла учета газа, но и по понятным причинам влечет за собой дополнительные метрологические риски.

В то же время ротационные счетчики газа, что называется, по определению нечувствительны не только к любым искажениям потока газа в трубопроводе, но и к режимам его течения, а турбинные счетчики газа существенно менее чувствительны к ним. Особенно при работе в режиме развитого турбулентного течения, который характерен для подавляющего большинства случаев их применения. Это определяется самим принципом работы турбинного счетчика, согласно которому прямо пропорциональная мгновенному расходу газа через счетчик скорость вращения турбинки является результатом интегрирования локальных скоростей в измерительном сечении прибора, что подтверждено результатами многочисленных экспериментов. При этом влияние тангенциальной закрутки потока — единственный фактор, способный оказать существенное влияние на погрешность учета объема газа, в современных конструкциях турбинных счетчиков газа успешно устраняется установкой встроенного струевыпрямителя.

Неслучайно поэтому промышленные узлы учета газа на базе ротационных и турбинных счетчиков сохраняют свои доминирующие позиции во всех ведущих странах мира. В таблице 1, заимствованной из статьи [2], приведены данные, которые наглядно подтверждают сказанное.

Таблица 1. Мировой опыт применения счетчиков газа различных типов (компиляция осредненных оценочных значений из различных источников)
Таблица 1. Мировой опыт применения счетчиков газа различных типов (компиляция осредненных оценочных значений из различных источников)

Приведем основные выводы.

  1. Стоимость узла учета газа составляет лишь незначительную долю в общем объеме оплат предприятия за закупаемый природный газ. Поэтому при выборе приборов учета газа первоочередное внимание рекомендуется обращать на техническую надежность приборов в составе узла учета газа, авторитет производителя, уровень технической поддержки с его стороны и метрологическую надежность узла учета газа в реальных условиях эксплуатации.
  2. Пренебрежение рекомендациями по п. 1 может обернуться для потребителей существенными, в целом ряде случаев многомиллионными дополнительными расходами.
  3. При наличии подозрений о недостоверных показаниях установленных узлов учета газа, в том числе по причинам, перечисленным в настоящей статье, рекомендуется провести сличительные испытания путем последовательной установки дополнительного узла учета, показания которого заведомо не зависят от факторов, возможно влияющих на показания штатно установленных узлов учета.
  4. ООО «РАСКО Газэлектроника» с 1996 года является одним из российских лидеров по производству приборов учета газа мирового уровня, отвечающих самым высоким требованиям метрологической надежности.

Желаем вам безопасного и эффективного газоснабжения, надежных приборов учета и справедливой оплаты за потребляемый природный газ.

Литература:

1. Золотаревский С.А., Гусев Д.А. Надежность приборов учета как инструмент снижения стоимости газопотребления // Промышленные и отопительные котельные и мини-ТЭЦ. 2024. № 1

2. Золотаревский С.А., Осипов А.С. Метрологическая надежность методов измерений расхода и количества природного газа и узлов учета на их базе как основа продуктовой линейки ООО «РАСКО Газэлектроника» // ИСУП. 2024. № 4

3. Соломичев Р.И., Слонько А.Н. Решения, обеспечивающие метрологическую и эксплуатационную надежность ультразвуковых расходомеров Turbo Flow UFG // СФЕРА. НЕФТЬ И ГАЗ. 2019. № 2.