Добавить в корзинуПозвонить
Найти в Дзене
OVERCLOCKERS.RU

Астрономы нашли NGTS-33b — планету с радиусом, увеличенным на 15%

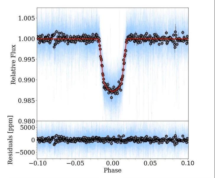
Международная команда астрономов обнаружила экзопланету NGTS-33b, принадлежащую к классу Супер-Юпитеров. Находка была осуществлена в рамках проекта Next Generation Transit Survey (NGTS), который использует сеть роботизированных телескопов в обсерватории Паранал в Чили. Ученые применили метод транзитной фотометрии, фиксируя мельчайшие изменения в яркости звезды, вызванные прохождением планеты перед ней. Одной из главных особенностей NGTS-33b является её необычно низкая плотность, которая на 13% меньше, чем у аналогичных горячих юпитеров. По мнению ученых, радиус планеты увеличен на 15% из-за влияния внешних факторов, таких как высокая температура и интенсивное излучение звезды. "Открытие NGTS-33b значительно расширяет наше представление о массивных горячих юпитерах, вращающихся вокруг горячих звезд. Эти данные помогут уточнить существующие модели формирования и эволюции планетных систем". Ученые отмечают, что NGTS-33b принадлежит к небольшой, но быстро растущей группе массивных экзоплан

Международная команда астрономов обнаружила экзопланету NGTS-33b, принадлежащую к классу Супер-Юпитеров. Находка была осуществлена в рамках проекта Next Generation Transit Survey (NGTS), который использует сеть роботизированных телескопов в обсерватории Паранал в Чили. Ученые применили метод транзитной фотометрии, фиксируя мельчайшие изменения в яркости звезды, вызванные прохождением планеты перед ней.

Одной из главных особенностей NGTS-33b является её необычно низкая плотность, которая на 13% меньше, чем у аналогичных горячих юпитеров. По мнению ученых, радиус планеты увеличен на 15% из-за влияния внешних факторов, таких как высокая температура и интенсивное излучение звезды.

-2

"Открытие NGTS-33b значительно расширяет наше представление о массивных горячих юпитерах, вращающихся вокруг горячих звезд. Эти данные помогут уточнить существующие модели формирования и эволюции планетных систем".

Ученые отмечают, что NGTS-33b принадлежит к небольшой, но быстро растущей группе массивных экзопланет, которые предоставляют ценную информацию о свойствах и поведении таких планетных систем.

📃 Читайте далее на сайте