Найти в Дзене
4pda.to

В Китае выпустили свою альтернативу нейросети OpenAI o1

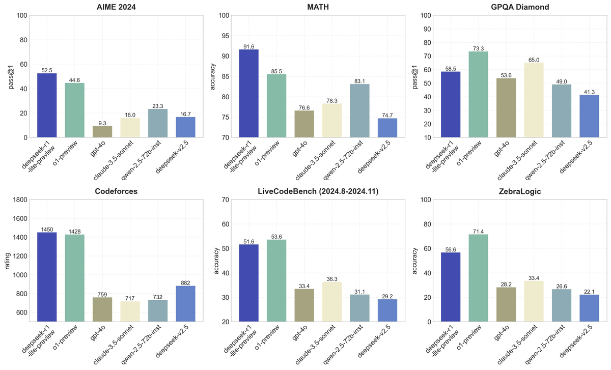
Китайская компания DeepSeek представила большую языковую модель, способную, по словам её создателей, соперничать с OpenAI o1-preview. Главная особенность нейросети — возможность рассуждать и поэтапно решать поставленную задачу. Модель под названием DeepSeek-R1-Lite-Preview пока представлена в виде тестовой версии, которая «задумывается» в среднем по 20 секунд. При этом она показывает, как пришла к выданному ответу. В специализированных бенчмарках AIME 2024, MATH и Codeforces китайский ИИ обошёл o1 от OpenAI в некоторых дисциплинах. Модель можно протестировать на официальном сайте после регистрации с лимитом в 50 запросов на день. Исходный код и API будут доступны всем желающим в ближайшее время. Нейросеть может отвечать на русском языке, если её попросить, но цепочка рассуждений при этом всё равно будет выдана на английском.
   В Китае выпустили свою альтернативу нейросети OpenAI o1
В Китае выпустили свою альтернативу нейросети OpenAI o1

Китайская компания DeepSeek представила большую языковую модель, способную, по словам её создателей, соперничать с OpenAI o1-preview. Главная особенность нейросети — возможность рассуждать и поэтапно решать поставленную задачу.

Модель под названием DeepSeek-R1-Lite-Preview пока представлена в виде тестовой версии, которая «задумывается» в среднем по 20 секунд. При этом она показывает, как пришла к выданному ответу. В специализированных бенчмарках AIME 2024, MATH и Codeforces китайский ИИ обошёл o1 от OpenAI в некоторых дисциплинах.

Модель можно протестировать на официальном сайте после регистрации с лимитом в 50 запросов на день. Исходный код и API будут доступны всем желающим в ближайшее время. Нейросеть может отвечать на русском языке, если её попросить, но цепочка рассуждений при этом всё равно будет выдана на английском.