Добавить в корзину
Позвонить
Найти в Дзене
Войти
Математика школьнику подробно от души.
2258 подписчиков
Подписаться
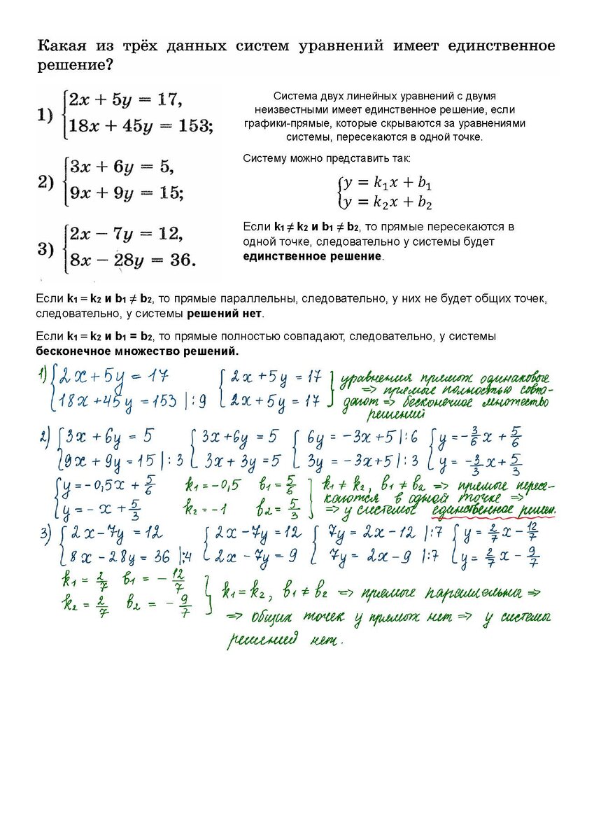
Какая из трех систем уравнений имеет едиственное решение?
1 апреля 2025
1 апр 2025
60
~1 мин
ОГЭ Алгебра 9 класс.
ОГЭ Алгебра 9 класс.
...
Читать далее
ОГЭ Алгебра 9 класс.
6
2415143540.1021.1778794230502.89468