Найти в Дзене
Вавилон 2.0

Тогда считать мы стали раны – 2

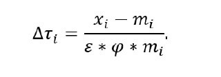
Тогда считать мы стали раны – 2 #президентствотрампа2025 #мироваяторговаявойна Тем временем, Администрация Трампа обнародовала логику введения тарифов в виде весьма необычной формулы [см.выше] Здесь: ε<0 – эластичность импорта по отношению к ценам импорта; φ>0 – коэффициент переноса тарифов на цены импорта; m_i >0 – общий импорт из страны i, x_i >0 общий экспорт из этой страны. Разбор этого чуда макроэкономической мысли — в следующем посте

Тогда считать мы стали раны – 2

#президентствотрампа2025 #мироваяторговаявойна

Тем временем, Администрация Трампа обнародовала логику введения тарифов в виде весьма необычной формулы [см.выше]

Здесь:

ε<0 – эластичность импорта по отношению к ценам импорта;

φ>0 – коэффициент переноса тарифов на цены импорта;

m_i >0 – общий импорт из страны i,

x_i >0 общий экспорт из этой страны.

Разбор этого чуда макроэкономической мысли — в следующем посте