Добавить в корзинуПозвонить
Найти в Дзене
Skill Up In IT

141. Linked List Cycle

#Hash Table#Linked List#Two Pointers Дан head заголовок связанного списка. Определите, есть ли в связанном списке цикл. Цикл в связанном списке есть, если в списке есть некоторый узел, к которому можно снова прийти, непрерывно следуя  next указателю. Внутри pos используется для обозначения индекса узла,  next к которому подключен указатель tail.  Обратите внимание, что  pos не передается как параметр . Верните,  true если в связанном списке есть цикл . В противном случае верните false. Пример 1: Вход: head = [3,2,0,-4], pos = 1
Выход: true
Пояснение: В связанном списке есть цикл, где хвост соединяется с 1-м узлом (индексированным как 0). Пример 2: Вход: head = [1,2], pos = 0
Выход: true
Пояснение: В связанном списке есть цикл, где хвост соединяется с 0-м узлом. Пример 3: Вход: head = [1], pos = -1
Выход: false
Пояснение: В связанном списке нет цикла. Ограничения: Продолжение: Можете ли вы решить эту задачу, используя O(1)(т.е. постоянную) память? Пример решения на go /** * Def

#Hash Table#Linked List#Two Pointers

Дан head заголовок связанного списка. Определите, есть ли в связанном списке цикл.

Цикл в связанном списке есть, если в списке есть некоторый узел, к которому можно снова прийти, непрерывно следуя  next указателю. Внутри pos используется для обозначения индекса узла,  next к которому подключен указатель tail.  Обратите внимание, что  pos не передается как параметр .

Верните,  true если в связанном списке есть цикл . В противном случае верните false.

Пример 1:

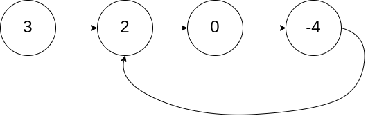
Вход: head = [3,2,0,-4], pos = 1
Выход: true
Пояснение: В связанном списке есть цикл, где хвост соединяется с 1-м узлом (индексированным как 0).

Пример 2:

-2

Вход: head = [1,2], pos = 0
Выход: true
Пояснение: В связанном списке есть цикл, где хвост соединяется с 0-м узлом.

Пример 3:

-3

Вход: head = [1], pos = -1
Выход: false
Пояснение: В связанном списке нет цикла.

Ограничения:

  • Количество узлов в списке находится в диапазоне .[0, 104]
  • -105 <= Node.val <= 105
  • pos является -1действительным индексом в связанном списке.

Продолжение: Можете ли вы решить эту задачу, используя O(1)(т.е. постоянную) память?

Пример решения на go

/**
* Definition for singly-linked list.
* type ListNode struct {
* Val int
* Next *ListNode
* }
*/
func hasCycle(head *ListNode) bool {
check := make(map[*ListNode]bool)
for head != nil {
if check[head] {
return true
}
check[head] = true
head = head.Next
}
return false
}