Добавить в корзинуПозвонить
Найти в Дзене
Победим ЕГЭ

Как получить баллы на ЕГЭ по максимуму? ЛЕГКО!

Для того, чтобы набрать как можно больше баллов на профиле по математике необходимо, как минимум, решить правильно всю первую часть! И именно с неё мы с вами и начнём. В этой рубрике начнём с решения уравнений. Помимо их разбора, также будут и дополнительные примеры для самостоятельного решения! Ответы пишите в комментариях, посмотрим, кто смог из вас правильно решить абсолютно все примеры. Перед вами первое уравнение, которое необходимо решить. Кстати говоря, в новой версии ЕГЭ 2023 года уравнение будет под номером 5, а не 1 как был раньше. Перед началом решения очень важно посмотреть на наличие ограничений, которое может быть, а может и не быть. В данном случае область допустимых значений (ОДЗ) представлена на следующем рисунке: Переменная «х» больше или равна нулю, так как подкоренное выражение должно быть больше или равно нулю. Далее возводим левую и правую часть в квадрат, переносим всё в левую сторону и получаем стандартное всеми известное квадратное уравнение: И это стандартное

Для того, чтобы набрать как можно больше баллов на профиле по математике необходимо, как минимум, решить правильно всю первую часть! И именно с неё мы с вами и начнём.

В этой рубрике начнём с решения уравнений. Помимо их разбора, также будут и дополнительные примеры для самостоятельного решения! Ответы пишите в комментариях, посмотрим, кто смог из вас правильно решить абсолютно все примеры.

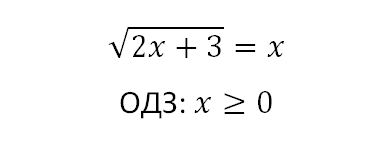
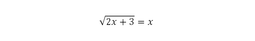
Перед вами первое уравнение, которое необходимо решить. Кстати говоря, в новой версии ЕГЭ 2023 года уравнение будет под номером 5, а не 1 как был раньше.

Перед началом решения очень важно посмотреть на наличие ограничений, которое может быть, а может и не быть. В данном случае область допустимых значений (ОДЗ) представлена на следующем рисунке:

-2

Переменная «х» больше или равна нулю, так как подкоренное выражение должно быть больше или равно нулю.

Далее возводим левую и правую часть в квадрат, переносим всё в левую сторону и получаем стандартное всеми известное квадратное уравнение:

-3

И это стандартное уравнение решим через дискриминант:

-4

Казалось бы, вот и всё, ответ получен, однако, стоит вспомнить самое первое действие, где мы определили ОДЗ и оно больше или равно нулю. Получается, что ответом будет являться единственный корень х=3.

Будьте внимательны при решении подобных уравнений и не забывайте про ОДЗ. Далее примеры, которые представлены для самостоятельного решения, если возникли трудности, то обязательно сделаем их разбор!

-5

Удачи вам на подготовке и экзаменах! Подписывайтесь, дальше будет ещё больше разборов!