Найти в Дзене
ДКО Электронщик

ХИТ CR123A от FANSO EVE Energy – хит среди литиевых батареек!

ХИТ (химический источник тока), который имеет более популярное название «батарейка» – это удобный, недорогой и практичный в обслуживании источник питания электронных устройств, где проводное питание с помощью сетевых преобразователей излишне, или требуется резервирование. В зависимости от режима работы может потребоваться постоянное или эпизодическое, большое или малое потребление тока, что совместно с требуемым значением напряжения влияет на выбор батарейки. Литиевые ХИТ имеют два весомых преимущества перед солевыми и щелочными: более ровная кривая разряда и высокая удельная энергоемкость. Вариантов химического состава на основе лития несколько, наиболее популярные из них Li-SOCl2 (тионилхлорид) с напряжением одного элемента 3.6 В и небольшой номинальной токоотдачей и Li-MnO2 (диоксид марганца), с напряжением 3 В и возможностью долговременно обеспечить достаточно большой ток. Формы и технологии изготовления батареек практически всегда позволяют подобрать оптимальный элем

ХИТ (химический источник тока), который имеет более популярное название «батарейка» – это удобный, недорогой и практичный в обслуживании источник питания электронных устройств, где проводное питание с помощью сетевых преобразователей излишне, или требуется резервирование. В зависимости от режима работы может потребоваться постоянное или эпизодическое, большое или малое потребление тока, что совместно с требуемым значением напряжения влияет на выбор батарейки. Литиевые ХИТ имеют два весомых преимущества перед солевыми и щелочными: более ровная кривая разряда и высокая удельная энергоемкость. Вариантов химического состава на основе лития несколько, наиболее популярные из них Li-SOCl2 (тионилхлорид) с напряжением одного элемента 3.6 В и небольшой номинальной токоотдачей и Li-MnO2 (диоксид марганца), с напряжением 3 В и возможностью долговременно обеспечить достаточно большой ток. Формы и технологии изготовления батареек практически всегда позволяют подобрать оптимальный элемент питания под конкретную задачу, но если есть множество вариантов решений, то CR123A от компании FANSO EVE Energy может оказаться лучшим не только по физическим параметрам, но и по экономическим: ее поставки надежны, технология изготовления абсолютно автоматизирована, контролируема и не уступает именитым брендам, а применяемые материалы поставляются компаниями CELGARD, UBE Industries и Lanxess, которые являются поставщиками и для производителей более дорогих японских и европейских батареек. Качество, надежность и ответственность при работе с клиентами позволяют компании FANSO быть фаворитом среди производителей литиевых ХИТ.

CR123A (рис. 1) – элемент с применением диоксида марганца, выполненный по спиральной технологии, когда вокруг катода формируется рулон лития, разделяемый сепаратором.

 
Рис. 1. Батарейки CR123A, обычная (маркировка S) и для непосредственного монтажа на плату (3FP)
Рис. 1. Батарейки CR123A, обычная (маркировка S) и для непосредственного монтажа на плату (3FP)

Технология намотки автоматизирована, и в процессе каждый этап производства проходит проверку и тестирование по массогабаритным показателям. Заключительная проверка включает в себя рентгеновский анализ геометрии и структуры всех компонентов батарейки, включая корпус. Такой технологический процесс – интеллектуальная собственность EVE, он гарантирует работоспособность химического элемента и большой срок его службы.

Особенности CR123A (электрические параметры указаны для эксплуатации при температуре 25°С):

  • Энергоемкость: 1.5 А*ч (разрядный ток 0.005 А, окончание разряда при напряжении 2 В);
  • Допустимый ток разряда: 1 А в течение долгого времени;
  • 2.5 А ток разряда в импульсе (максимум 15 секунд);
  • Саморазряд: за год менее 2%;
  • Высота: 34.5 мм, диаметр 17 мм, вес 17 грамм;
  • Практически отсутствует пассивация;
  • Безопасная эксплуатация и хранение – внутри корпуса не увеличивается давление;
  • Диапазон рабочих температур: -40…70 °С;
  • Срок службы: 10 лет
 
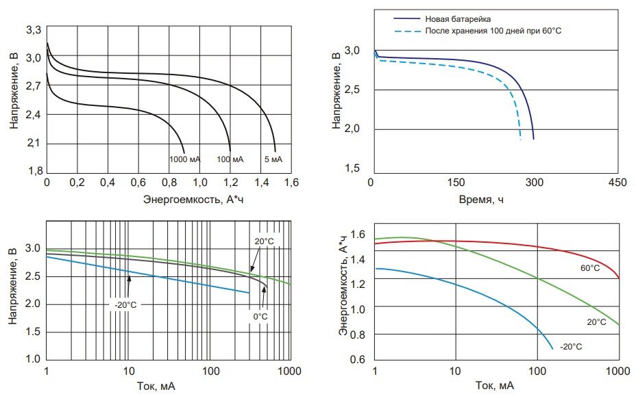
Рис. 2. Графики зависимостей тока нагрузки, энергоемкости, температурных условий работы и хранения CR123A
Рис. 2. Графики зависимостей тока нагрузки, энергоемкости, температурных условий работы и хранения CR123A

На графиках (рис. 2) показано, как изменяется работа батарейки CR123A при изменении внешних условий и тока нагрузки. Специалисты компании КОМПЭЛ провели независимое тестирование элементов CR123A компании FANSO и не только получили подтверждение заявленным характеристикам, но и обнаружили, что данная батарейка имеет несколько лучшие параметры.

Следует заметить, что компания FANSO EVE Energy является производителем еще одной батарейки - CR17335E, которая является идентичной CR123A по электрическим и геометрическим параметрам, лишь максимальная масса может быть чуть больше - до 19 грамм. Стоимость CR17335E немного больше, однако некоторые изменения в технологии изготовления корпуса повысили его герметичность, что увеличивает срок службы батарейки за счет уменьшения реакции лития с влагой из воздуха. Несмотря на то, что у CR123A и CR17335E заявлен одинаковый большой срок работоспособности, для установки в устройства, автономность эксплуатации которых предполагается более 5 лет, рекомендуется использовать CR17335E – это повысит надежность, при этом затраты возрастут лишь на разницу стоимости батареек, не требуя никаких изменений в конструкции устройства.

Продукция компании Wuhan Fanso Technology соответствует стандартам UL, CE, RoHs, UN и прочим, а производство сертифицировано по ISO9001. Доступность, качество и соответствие стандартам – эти свойства батареек CR123A и CR17335E делают их прекрасным выбором в качестве замены аналогичных элементов иных производителей.

Производители: EVE Energy, FANSO EVE Energy

Разделы: Химические элементы питания